15 Bài tập Nhị thức Newton (có đáp án) - Chân trời sáng tạo Trắc nghiệm Toán 10

Với 18 bài tập trắc nghiệm Nhị thức Newton Toán lớp 10 có đáp án và lời giải chi tiết đầy đủ các mức độ, có đúng sai, trả lời ngắn sách Chân trời sáng tạo sẽ giúp học sinh ôn luyện trắc nghiệm để biết cách làm các dạng bài tập Toán 10.

15 Bài tập Nhị thức Newton (có đáp án) - Chân trời sáng tạo Trắc nghiệm Toán 10

TRẮC NGHIỆM ONLINE

Dạng 1. Trắc nghiệm nhiều phương án lựa chọn

Câu 1. Trong khai triển nhị thức (a + 2)2n + 1 (n ℕ). Có tất cả6 số hạng. Vậy n bằng

Quảng cáo

A. 17;

B. 11;

C. 10;

D. 5.

Câu 2. Tổng số mũ của a và b trong mỗi hạng tử khi khai triển biểu thức (2a + b)4 bằng

A. 4;

B. 5;

C. 3;

D. 6.

Quảng cáo


Câu 3.Biểu thức (5x)3(–6y2)2 là một số hạng trong khai triển nhị thức nào dưới đây

A. (5x – 6y)2;

B. (5x – 6y2)3;

C. (5x – 6y2)4;

D. (5x – 6y2)5.

Câu 4. Số hạng tử trong khai triển (x – 2y)4 bằng

A. 8;

B.6;

C. 5;

D. 7.

Câu 5.Hệ số của x3 trong khai triển của (3 – 2x)5

Quảng cáo

A. 4608;

B. 720;

C. –720

D. –4608.

Câu 6.Hệ số của x3 trong khai triển 3x3 + (1 + x)5 bằng

A. 13;

B. 10;

C. 7;

D. 15.

Câu 7. Hệ số của x3y3 trong khai triển nhị thức (1 + x)5(1 + y)5

A. 10;

B. 400;

C. 100;

D. 36.

Quảng cáo

Câu 8. Khai triển nhị thức (2x – y)5 ta được kết quả là:

A. 32x5 – 16x4y + 8x3y2 – 4x2y3 + 2xy4 – y5 ;

B. 32x5 – 80x4y + 80x3y2 – 40x2y3 + 10xy4 – y5 ;

C. 2x5 – 10x4y + 20x3y2 – 20x2y3 + 10xy4 – y5 ;

D. 32x5 – 10000x4y + 80000x3y2 – 400x2y3 + 10xy4 – y5 ;

Câu 9.Trong khai triển (x – 2y)4 số hạng chứa x2y2 là:

A. 24;

B. –24;

C. 35;

D. –35.

Câu 10.Trong khai triển x+8x25 số hạng chứa x2 là:

A. 30x2;

B. 20x2;

C. 40x2;

D. 25x2.

Câu 11.Trong khai triển (x2 – 2x)5 hệ số của số hạng chứa x6 là:

A. – 80;

B. – 50;

C. 50;

D. 80.

Câu 12. Trong khai triển nhị thức 2x2+1xn hệ số của x322Cn1. Giá trị của n là

A.n = 2;

B.n = 3;

C.n = 4;

D.n = 5.

Câu 13. Biết hệ số của x3 trong khai triển của (1 – 3x)n là – 270. Giá trị của n là

A. n = 5;

B. n = 8;

C. n = 6;

D. n = 7.

Câu 14. Tìm số hạng chứa x4 trong khai triển x21xn biết An2Cn2=10

A. –20;

B. 10;

C. –10;

D. 20.

Câu 15. Với n là số nguyên dương thỏa mãn Cn1+Cn2=10, hệ số chứa x2 trong khai triển của biểu thức x3+2x2n bằng

A. 36;

B. 10;

C. 20;

D. 24.

Dạng 2. Trắc nghiệm đúng sai

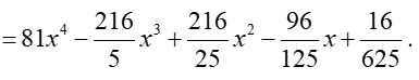
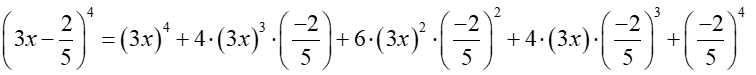
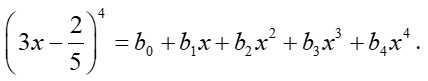
Câu hỏi. Cho 15 Bài tập Nhị thức Newton (có đáp án) | Chân trời sáng tạo Trắc nghiệm Toán 10

a) Hệ số của x2 b2=21625

b) Tổng các hệ số bằng 28561625

c) Hệ số của x3b3=96125

d) Tổng của các hệ số chứa lũy thừa lẻ của x bằng 5496125

Dạng 3. Trắc nghiệm trả lời ngắn

Câu 1. Biểu diễn 3+25325 dưới dạng a+b2 với a, b là các số nguyên. Tính a+b.

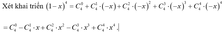
Câu 2. Tính tổng S=C403C41+9C4227C43+81C44

................................

................................

................................

TRẮC NGHIỆM ONLINE

Xem thêm bài tập trắc nghiệm Toán lớp 10 Chân trời sáng tạo có đáp án hay khác:

Xem thêm các tài liệu học tốt lớp 10 hay khác:

Đã có app VietJack trên điện thoại, giải bài tập SGK, SBT Soạn văn, Văn mẫu, Thi online, Bài giảng....miễn phí. Tải ngay ứng dụng trên Android và iOS.

Theo dõi chúng tôi miễn phí trên mạng xã hội facebook và youtube:

Nếu thấy hay, hãy động viên và chia sẻ nhé! Các bình luận không phù hợp với nội quy bình luận trang web sẽ bị cấm bình luận vĩnh viễn.


Giải bài tập lớp 10 Chân trời sáng tạo khác