Đề kiểm tra Toán 10 Kết nối tri thức Chương 2 (có lời giải)
Đề kiểm tra Toán 10 Kết nối tri thức Chương 2: Bất phương trình và hệ bất phương trình bậc nhất hai ẩn có đáp án chi tiết theo cấu trúc mới với bài tập đa dạng đầy đủ các mức độ sẽ giúp học sinh lớp 10 ôn luyện Toán 10.
Đề kiểm tra Toán 10 Kết nối tri thức Chương 2 (có lời giải)
Chỉ từ 200k mua trọn bộ Bài tập ôn tập + Đề kiểm tra Toán 10 Kết nối tri thức theo Chương theo cấu trúc mới bản word có lời giải chi tiết, trình bày đẹp mắt, dễ dàng chỉnh sửa:
- B1: gửi phí vào tk:
1133836868- CT TNHH DAU TU VA DV GD VIETJACK - Ngân hàng MB (QR) - B2: Nhắn tin tới Zalo VietJack Official - nhấn vào đây để thông báo và nhận đề thi
Phần 1. Trắc nghiệm nhiều phương án lựa chọn
Mỗi câu hỏi thí sinh chỉ chọn một phương án.
Câu 1. Điểm thuộc miền nghiệm của hệ bất phương trình
A. .
B. .
C. .
D. .
Câu 2. Miền nghiệm của bất phương trình nào sau đây được biểu diễn bởi nửa mặt phẳng không tô màu trong hình vẽ sau?
A. .
B. .
C. .
D. .
Câu 3. Điểm nào dưới đây không thuộc miền nghiệm của bất phương trình ?
A. .
B. .
C. .
D. .
Câu 4. Hệ bất phương trình nào sau đây là hệ bất phương trình bậc nhất hai ẩn?
A. .
B. .
C. .
D. .
Câu 5. Bạn An cần mua một số tập giấy vẽ và bút chì. Mỗi tập giấy vẽ giá 10 nghìn đồng, mỗi bút chì giá 5 nghìn đồng. Gọi x, y lần lượt là số tập giấy vẽ và bút chì bạn An có thể mua được . Nếu bạn An chỉ có 50 nghìn đồng thì x và y thỏa mãn điều kiện với là các số tự nhiên không lớn hơn 15. Tìm .
A. 12.
B. 13.
C. 10.
D. 15.
Câu 6. Miền nghiệm của bất phương trình là nửa mặt phẳng chứa điểm:
A. .
B. .
C. .
D. .
Phần 2. Trắc nghiệm đúng sai
Trong mỗi ý a), b), c), d) ở mỗi câu, thí sinh chọn đúng hoặc sai.
Câu 1. Cho hệ bất phương trình có miền nghiệm là S.
a) .
b) >.
c) Miền nghiệm S là miền tam giác.
d) Cặp số làm biểu thức đạt giá trị nhỏ nhất bằng .
Câu 2. Hưởng ứng phong trào ủng hộ đồng bào miền Trung bị ảnh hưởng bởi bão, bạn Bình được mẹ cho 250000 đồng mua vở và bút ủng hộ các bạn học sinh vùng lũ. Bình mang 250000 đồng đi nhà sách để mua một số vở viết và bút. Biết rằng giá một quyển vở viết là 8000 đồng và giá của một cây bút là 5000 đồng. Gọi x và y lần lượt là số vở viết và số bút Bình mua được ở nhà sách. Khi đó:
a) Số tiền mua vở viết là 8x (nghìn đồng), số tiền mua bút là 5y (nghìn đồng).
b) Để Bình trả đủ tiền mua bút và vở viết thì ta có bất phương trình bậc nhất hai ẩn x, y là .
c) Với số tiền mẹ cho, Bình có thể mua được 20 quyển vở và 20 chiếc bút để đem ủng hộ.
d) Nếu Bình đã mua 20 chiếc bút thì Bình có thể mua tối đa 19 quyển vở.
Phần 3. Trắc nghiệm trả lời ngắn
Câu 1. Một hộ nông dân dự định trồng nha đam và măng tây trên diện tích 10 ha. Nếu trồng nha đam thì cần 10 công và thu được 4 triệu đồng trên mỗi ha. Nếu trồng măng tây thì cần 30 công và thu được 6 triệu đồng trên mỗi ha. Hỏi số tiền người nông dân thu được nhiều nhất là bao nhiêu triệu đồng? Biết rằng tổng số công không vượt quá 150 công.
Câu 2. Một cửa hàng bán hai loại bánh: Bánh kem loại A giá 350000 đồng/cái và bánh kem loại B giá 250000 đồng/cái. Cửa hàng cần đạt được tổng doanh thu ít nhất là 7000000 đồng trong tuần này. Gọi x, y lần lượt là số lượng bánh kem loại A và loại B đã bán được. Bất phương trình bậc nhất 2 ẩn x và y thể hiện điều kiện về kinh doanh tối thiểu của cửa hàng là . Tính giá trị biểu thức .
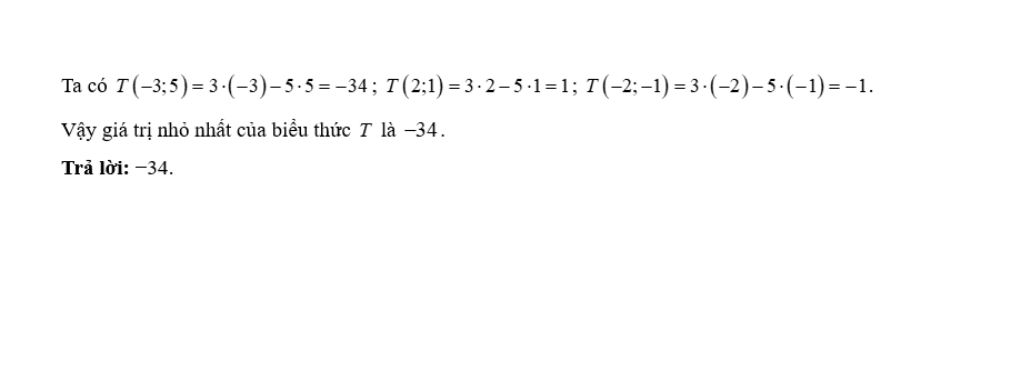
Câu 3. Trong mặt phẳng tọa độ , trên miền nghiệm của hệ bất phương trình (miền tô màu).
Giá trị nhỏ nhất của biểu thức bằng bao nhiêu?
................................
................................
................................
Xem thêm đề kiểm tra Toán lớp 10 Kết nối tri thức có đáp án hay khác:
Xem thêm các tài liệu học tốt lớp 10 hay khác:
- Giải sgk Toán 10 Kết nối tri thức
- Giải Chuyên đề học tập Toán 10 Kết nối tri thức
- Giải SBT Toán 10 Kết nối tri thức
- Giải lớp 10 Kết nối tri thức (các môn học)
- Giải lớp 10 Chân trời sáng tạo (các môn học)
- Giải lớp 10 Cánh diều (các môn học)
Tủ sách VIETJACK shopee lớp 10-11 (cả 3 bộ sách):
Đã có app VietJack trên điện thoại, giải bài tập SGK, SBT Soạn văn, Văn mẫu, Thi online, Bài giảng....miễn phí. Tải ngay ứng dụng trên Android và iOS.
Theo dõi chúng tôi miễn phí trên mạng xã hội facebook và youtube:Nếu thấy hay, hãy động viên và chia sẻ nhé! Các bình luận không phù hợp với nội quy bình luận trang web sẽ bị cấm bình luận vĩnh viễn.
- Soạn văn 10 (hay nhất) - KNTT
- Soạn văn 10 (ngắn nhất) - KNTT
- Soạn văn 10 (siêu ngắn) - KNTT
- Giải sgk Toán 10 - KNTT
- Giải Tiếng Anh 10 Global Success
- Giải Tiếng Anh 10 Friends Global
- Giải sgk Tiếng Anh 10 iLearn Smart World
- Giải sgk Tiếng Anh 10 Explore New Worlds
- Giải sgk Vật lí 10 - KNTT
- Giải sgk Hóa học 10 - KNTT
- Giải sgk Sinh học 10 - KNTT
- Giải sgk Địa lí 10 - KNTT
- Giải sgk Lịch sử 10 - KNTT
- Giải sgk Kinh tế và Pháp luật 10 - KNTT
- Giải sgk Tin học 10 - KNTT
- Giải sgk Công nghệ 10 - KNTT
- Giải sgk Hoạt động trải nghiệm 10 - KNTT
- Giải sgk Giáo dục quốc phòng 10 - KNTT


Giải bài tập SGK & SBT
Tài liệu giáo viên
Sách
Khóa học
Thi online
Hỏi đáp

