15 Bài tập Ba đường Conic (Trắc nghiệm Toán lớp 10 có đáp án) - Kết nối tri thức
Với 18 bài tập trắc nghiệm Ba đường Conic Toán lớp 10 có đáp án và lời giải chi tiết đầy đủ các mức độ, có đúng sai, trả lời ngắn sách Kết nối tri thức sẽ giúp học sinh ôn luyện trắc nghiệm để biết cách làm các dạng bài tập Toán 10.
15 Bài tập Ba đường Conic (Trắc nghiệm Toán lớp 10 có đáp án) - Kết nối tri thức
Dạng 1. Trắc nghiệm nhiều phương án lựa chọn
Câu 1. Elip có độ dài trục lớn bằng:
A. 5;
B. 10;
C. 25;
D. 50.
Câu 2. Elip có độ dài trục lớn bằng:
A. 2
B. 4
C. 1
D. .
Câu 3. Elip có độ dài trục lớn bằng:
A. 1
B. 2
C. 5
D. 10
Câu 4. Elip có độ dài trục bé bằng:
A. 8
B. 10
C. 16
D. 20
Câu 5. Elip có tổng độ dài trục lớn và trục bé bằng:
A. 5
B. 10
C. 20
D. 40
Câu 6. Khái niệm nào sau đây định nghĩa về hypebol?
A. Cho điểm F cố định và một đường thẳng ∆ cố định không đi qua F. Hypebol (H) là tập hợp các điểm M sao cho khoảng cách từ M đến F bằng khoảng cách từ M đến ∆
B. Cho F1, F2 cố định với F1F2 = 2c (c > 0). Hypebol (H) là tập hợp điểm M sao cho với a là một số không đổi và a > c;
C. Cho F1, F2 cố định với F1F2 = 2c (c > 0) và một độ dài 2a không đổi (a > c). Hypebol (H) là tập hợp các điểm M sao cho M ∈ (P) ⇔ MF1 + MF2 = 2a;
D. Cả ba định nghĩa trên đều không đúng định nghĩa của Hypebol .
Câu 7. Dạng chính tắc của hypebol là?
A.
B.
C.
D.
Câu 8. Cho Hypebol (H) có phương trình chính tắc là , với a, b > 0. Khi đó khẳng định nào sau đây đúng?
A. Nếu thì (H) có các tiêu điểm là (c; 0) , (-c; 0) ;
B. Nếu thì (H) có các tiêu điểm là (0; c) , (0; -c) ;
C. Nếu thì (H) có các tiêu điểm là (0; c), (-c;0);
D. Nếu thì (H) có các tiêu điểm là , .
Câu 9. Cho elip . Tìm mệnh đề sai trong các mệnh đề sau:
A. (E) có trục lớn bằng 6;
B. (E) có trục nhỏ bằng 4;
C. (E) có tiêu cự bằng
D. (E) có tỉ số
Câu 10. Cho Hypebol (H) có phương trình chính tắc là , với a, b > 0. Khi đó khẳng định nào sau đây sai?
A. Tọa độ các đỉnh nằm trên trục thực là
B. Tọa độ các đỉnh nằm trên trục ảo là
C. Với (c > 0), độ dài tiêu cự là 2c.
D. Với (c > 0), độ dài trục lớn là 2b.
Câu 11. Định nghĩa nào sau đây là định nghĩa đường parabol?
A. Cho điểm F cố định và một đường thẳng ∆ cố định không đi qua F. Parabol (P) là tập hợp các điểm M sao cho khoảng cách từ M đến F bằng khoảng cách từ M đến ∆.
B. Cho F1, F2 cố định với F1F2 = 2c, (c > 0). Parabol (P) là tập hợp điểm M sao cho |MF1 - MF2| = 2a với a là một số không đổi và a < c.
C. Cho F1, F2 cố định với F1F2 = 2c, (c > 0) và một độ dài 2a không đổi (a > c). Parabol (P) là tập hợp các điểm M sao cho M ∈ (P) ⇔ MF1 + MF2 = 2a.
D. Cả ba định nghĩa trên đều không đúng định nghĩa của parabol.
Câu 12. Dạng chính tắc của Parabol là:
A. (a > b > 0) ;
B. (a > b > 0) ;
C. (p > 0) ;
D. (p < 0) .
Câu 13. Cho parabol (P) có phương trình chính tắc là , với p > 0. Khi đó khẳng định nào sau đây sai?
A. Tọa độ tiêu điểm
B. Phương trình đường chuẩn <
C. Trục đối xứng của parabol là trục Oy.
D. Parabol nằm về bên phải trục Oy.
Câu 14. Đường thẳng nào là đường chuẩn của parabol
A.
B.
C.
D.
Câu 15. Elip có tiêu cự bằng:
A.
B. 5
C. 10
D.
Dạng 2. Trắc nghiệm đúng sai
Trong mỗi ý a), b), c), d) ở mỗi câu, thí sinh chọn đúng hoặc sai.
Câu hỏi. Trong mặt phẳng tọa độ Oxy, cho elip (E) có phương trình chính tắc .
a) Tọa độ một tiêu điểm của elip (E) là (5;0).
b) Elip (E) đi qua điểm A(13;-12).
c) Elip (E) có tiêu cự bằng 10.
d) Với điểm M bất kì thuộc elip (E), khi đó tổng khoảng cách từ điểm M đến hai tiêu điểm của (E) bằng 26.
Dạng 3. Trắc nghiệm trả lời ngắn
Câu 1. Trong mặt phẳng tọa độ Oxy, cho hypebol (H) có phương trình . Điểm M(a;b), (a>0,b>0) thuộc (H) thỏa mãn . Giá trị của b bằng bao nhiêu?
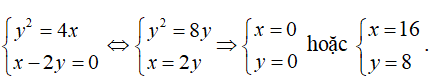
Câu 2. Trong mặt phẳng tọa độ Oxy, đường thẳng cắt parabol tại hai điểm phân biệt M,N. Giá trị của MN2 bằng bao nhiêu?
Xem thêm bài tập trắc nghiệm Toán lớp 10 Kết nối tri thức có đáp án hay khác:
Xem thêm các tài liệu học tốt lớp 10 hay khác:
- Giải sgk Toán 10 Kết nối tri thức
- Giải Chuyên đề học tập Toán 10 Kết nối tri thức
- Giải SBT Toán 10 Kết nối tri thức
- Giải lớp 10 Kết nối tri thức (các môn học)
- Giải lớp 10 Chân trời sáng tạo (các môn học)
- Giải lớp 10 Cánh diều (các môn học)
Tủ sách VIETJACK shopee lớp 10-11 (cả 3 bộ sách):
Đã có app VietJack trên điện thoại, giải bài tập SGK, SBT Soạn văn, Văn mẫu, Thi online, Bài giảng....miễn phí. Tải ngay ứng dụng trên Android và iOS.
Theo dõi chúng tôi miễn phí trên mạng xã hội facebook và youtube:Nếu thấy hay, hãy động viên và chia sẻ nhé! Các bình luận không phù hợp với nội quy bình luận trang web sẽ bị cấm bình luận vĩnh viễn.
- Soạn văn 10 (hay nhất) - KNTT
- Soạn văn 10 (ngắn nhất) - KNTT
- Soạn văn 10 (siêu ngắn) - KNTT
- Giải sgk Toán 10 - KNTT
- Giải Tiếng Anh 10 Global Success
- Giải Tiếng Anh 10 Friends Global
- Giải sgk Tiếng Anh 10 iLearn Smart World
- Giải sgk Tiếng Anh 10 Explore New Worlds
- Giải sgk Vật lí 10 - KNTT
- Giải sgk Hóa học 10 - KNTT
- Giải sgk Sinh học 10 - KNTT
- Giải sgk Địa lí 10 - KNTT
- Giải sgk Lịch sử 10 - KNTT
- Giải sgk Kinh tế và Pháp luật 10 - KNTT
- Giải sgk Tin học 10 - KNTT
- Giải sgk Công nghệ 10 - KNTT
- Giải sgk Hoạt động trải nghiệm 10 - KNTT
- Giải sgk Giáo dục quốc phòng 10 - KNTT


Giải bài tập SGK & SBT
Tài liệu giáo viên
Sách
Khóa học
Thi online
Hỏi đáp

