15 Bài tập Đường tròn trong mặt phẳng toạ độ (Trắc nghiệm Toán lớp 10 có đáp án) - Kết nối tri thức
Với 18 bài tập trắc nghiệm Đường tròn trong mặt phẳng toạ độ Toán lớp 10 có đáp án và lời giải chi tiết đầy đủ các mức độ, có đúng sai, trả lời ngắn sách Kết nối tri thức sẽ giúp học sinh ôn luyện trắc nghiệm để biết cách làm các dạng bài tập Toán 10.
15 Bài tập Đường tròn trong mặt phẳng toạ độ (Trắc nghiệm Toán lớp 10 có đáp án) - Kết nối tri thức
Dạng 1. Trắc nghiệm nhiều phương án lựa chọn
Câu 1. Tọa độ tâm I và bán kính R của đường tròn (C): (x + 1)2 + (y + 3)2 là:
A. I (-1; 3), R = 4;
B. I (1; -3), R = 4;
C. I (1; -3), R = 16;
D. I (-1; 3), R = 16.
Câu 2. Gọi I(a; b) là tâm của đường tròn . Tính S = 2a + b:
A. -2;
B. 4;
C. 0;
D. -4.
Câu 3. Gọi I và R lần lượt là tâm và bán kính của đường tròn . Tìm I và tính S = 3.R.
A. I (-1; 0), S = 8
B. I (-1; 0), S = 64
C. I (-1; 0), S = 6
D. I (1; 0), S = 2
Câu 4. Gọi I và R lần lượt là tâm và bán kính của đường tròn . Tìm I và tính S = .
A. I (0; 0), S = 9;
B. I (0; 0), S = 81;
C. I (1; 1), S = 3;
D. I (0; 0), S = 27;
Câu 5. Đường tròn có tâm I, bán kính R lần lượt là:
A. I (3; -1), R = 4;
B. I (-3; 1), R = 4;
C. I (3; -1), R = 2;
D. I (-3; 1), R = 2.
Câu 6. Đường tròn có tâm trùng với gốc tọa độ, bán kính R = 1 có phương trình là:
A.
B.
C.
D.
Câu 7. Đường tròn có tâm I (1; 2), bán kính R = 3 có phương trình là:
A.
B.
C.
D.
Câu 8. Đường tròn (C) có tâm I (1; -5) và đi qua O (0; 0) có phương trình là:
A.
B.
C.
D.
Câu 9. Đường tròn (C) có tâm I (-2; 3) và đi qua M (2; -3) có phương trình là:
A.
B.
C.
D.
Câu 10. Đường tròn đường kính AB với A (3; -1), B (1; -5) có phương trình là:
A.
B.
C.
D.
Câu 11. Phương trình tiếp tuyến d của đường tròn tại trung điểm của A (1; 3) và B (3; -1) là:
A. d: -y + 1 = 0;
B. d: 4x + 3y + 14 = 0;
C. d: 3x – 4y – 2 = 0;
D. d: 4x + 3y - 11 = 0.
Câu 12. Cho đường tròn . Viết phương trình tiếp tuyến d của (C) tại điểm A (3; -4).
A. d: x + y + 1 = 0;
B. d: x - 2y - 11 = 0;
C. d: x - y - 7 = 0;
D. d: x - y + 7 = 0.
Câu 13. Phương trình tiếp tuyến d của đường tròn tại điểm đối xứng với M (-1; -1) qua trục Oy là:
A. d: x + 3y - 2 = 0;
B. d: x - 3y + 4 = 0;
C. d: x - 3y - 4 = 0;
D. d: x + 3y + 2 = 0.
Câu 14. Viết phương trình tiếp tuyến của đường tròn , biết tiếp tuyến song song với đường thẳng d: 2x + y + 7 = 0.
A. 2x + y + 1 = 0 hoặc 2x + y - 1 = 0;
B. 2x + y = 0 hoặc 2x + y - 10 = 0;
C. 2x + y + 10 = 0 hoặc 2x + y - 10 = 0;
D. 2x + y = 0 hoặc 2x + y + 10 = 0.
Câu 15. Viết phương trình tiếp tuyến của đường tròn , biết tiếp tuyến song song với đường thẳng d: 3x – 4y – 2018 = 0.
A. 3x – 4y + 23 = 0 hoặc 3x – 4y – 27 = 0;
B. 3x – 4y – 23 = 0 hoặc 3x – 4y + 27 = 0;
C. 3x – 4y – 23 = 0 hoặc 3x – 4y – 27 = 0;
D. 3x – 4y + 23 = 0 hoặc 3x – 4y + 27 = 0.
Dạng 2. Trắc nghiệm đúng sai
Trong mỗi ý a), b), c), d) ở mỗi câu, thí sinh chọn đúng hoặc sai.
Câu hỏi. Trong mặt phẳng tọa độ Oxy, cho hai điểm A(2;-1), B(1;2). Gọi M là giao điểm của đường thẳng và trục Ox.
a) Đường thẳng AB là -x+3y-5=0.
b) Đường tròn tâm B, bán kính R=2 là (x-1)2+(y-2)2=2.
c) Hoành độ điểm M bằng -1.
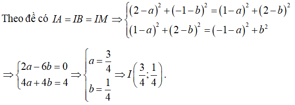
d) Đường tròn đi qua 3 điểm A,B,M có tọa độ tâm là .
Dạng 3. Trắc nghiệm trả lời ngắn
Câu 1. Đường tròn (C) có tâm I(1;1) và cắt đường thẳng tại M,N thỏa mãn MN=8 có đường kính bằng bao nhiêu?
Câu 2. Tìm bán kính của đường tròn (C) có tâm nằm trên đường thẳng và tiếp xúc với hai đường thẳng có phương trình và . Biết tâm đường tròn nằm trên trục Ox.
................................
................................
................................
Xem thêm bài tập trắc nghiệm Toán lớp 10 Kết nối tri thức có đáp án hay khác:
Xem thêm các tài liệu học tốt lớp 10 hay khác:
- Giải sgk Toán 10 Kết nối tri thức
- Giải Chuyên đề học tập Toán 10 Kết nối tri thức
- Giải SBT Toán 10 Kết nối tri thức
- Giải lớp 10 Kết nối tri thức (các môn học)
- Giải lớp 10 Chân trời sáng tạo (các môn học)
- Giải lớp 10 Cánh diều (các môn học)
Tủ sách VIETJACK shopee lớp 10-11 (cả 3 bộ sách):
Đã có app VietJack trên điện thoại, giải bài tập SGK, SBT Soạn văn, Văn mẫu, Thi online, Bài giảng....miễn phí. Tải ngay ứng dụng trên Android và iOS.
Theo dõi chúng tôi miễn phí trên mạng xã hội facebook và youtube:Nếu thấy hay, hãy động viên và chia sẻ nhé! Các bình luận không phù hợp với nội quy bình luận trang web sẽ bị cấm bình luận vĩnh viễn.
- Soạn văn 10 (hay nhất) - KNTT
- Soạn văn 10 (ngắn nhất) - KNTT
- Soạn văn 10 (siêu ngắn) - KNTT
- Giải sgk Toán 10 - KNTT
- Giải Tiếng Anh 10 Global Success
- Giải Tiếng Anh 10 Friends Global
- Giải sgk Tiếng Anh 10 iLearn Smart World
- Giải sgk Tiếng Anh 10 Explore New Worlds
- Giải sgk Vật lí 10 - KNTT
- Giải sgk Hóa học 10 - KNTT
- Giải sgk Sinh học 10 - KNTT
- Giải sgk Địa lí 10 - KNTT
- Giải sgk Lịch sử 10 - KNTT
- Giải sgk Kinh tế và Pháp luật 10 - KNTT
- Giải sgk Tin học 10 - KNTT
- Giải sgk Công nghệ 10 - KNTT
- Giải sgk Hoạt động trải nghiệm 10 - KNTT
- Giải sgk Giáo dục quốc phòng 10 - KNTT


Giải bài tập SGK & SBT
Tài liệu giáo viên
Sách
Khóa học
Thi online
Hỏi đáp

