Với 33 bài tập trắc nghiệm tổng hợp Toán 10 Chương 7: Phương pháp tọa độ trong mặt phẳng có đáp án và lời giải chi tiết đầy đủ các mức độ sách Kết nối
tri thức sẽ giúp học sinh ôn luyện trắc nghiệm để biết cách làm
các dạng bài tập Toán 10.
Gọi phương trình của Elip là có độ dài
trục lớn
2a và độ dài trục bé là
2b. Khi đó, xét
2.a + 2.b =
28 + 2.2 = 20.
Câu 2. Vectơ nào dưới
đây là một vectơ chỉ phương của đường thẳng đi qua gốc tọa độ O(0;
0) và điểm M(a; b)?
A.
B.
C.
D.
Đáp án đúng là: B
Ta có:
=> đường thẳng OM có VTCP:
Quảng cáo
Câu 3.
Xét vị trí tương đối của hai đường thẳng:
: x – 2y + 1 = 0 và
: – 3x + 6y – 10 = 0
A. Trùng nhau.
B. Song song.
C. Vuông góc với nhau.
D. Cắt nhau nhưng không vuông góc nhau.
Đáp án đúng là: B
Ta có:
Giải hệ phương trình:
⇔ ⇔ -7 = 0 (vô lý)
Suy ra hệ phương trình trên vô nghiệm
Vì vậy hai đường thẳng song song.
Câu 4.
Viết phương trình tham số của đường thẳng d
đi qua điểm M(6; -10) và
vuông góc với trục Oy?
A. d :
B.
C.
D.
Đáp ứng đúng là: B
Ta có: , mặt khác
Phương trình tham số
, với t = -4 ta được
hay A (2; -10) ∈ d
Câu 5.
Góc nào tạo
bởi giữa hai đường thẳng: và : x + 10 = 0 .
Quảng cáo
A.
B.
C.
D.
Đáp án đúng là: C
Ta có:
lần lượt là vectơ pháp tuyến của đường thẳng
Áp dụng công thức góc giữa hai đường thẳng:
=> .
Câu 6.
Xét vị trí tương đối của hai đường thẳng:
: 3x - 2y - 6 = 0 và : 6x - 2y - 8 = 0
A. Trùng nhau.
B. Song song.
C. Vuông góc với nhau.
D. Cắt nhau nhưng không vuông góc nhau.
Đáp án đúng là: D
Ta có:
Giải hệ phương trình:
Suy ra hai đường thẳng cắt nhau tại 1 điểm.
Ta lại có: d1 có VTPT = (3; -2) và d2 có VTPT = (6; -2).
= 3.6 + (-3).(-2) = 18 + 6 = 24 ≠
0. Do đó d1 và d2 không vuông góc.
Vậy hai đường thẳng cắt nhau nhưng không vuông
góc.
Câu 7.
Phương trình tổng quát của đường thẳng đi qua hai
điểm A(3 ; -1) và B(1 ; 5) là:
A. -x + 3y + 6 = 0
B. 3x - y + 10 = 0
C. 3x - y + 6 = 0
D. 3x + y - 8 = 0
Đáp án đúng là : D
Ta có: Vectơ chỉ phương
của AB là là vectơ pháp tuyến của đường thẳng
qua hai điểm A, B.
Mặt khác A (3; -1) , suy ra: hay
Quảng cáo
Câu 8. Khái niệm nào sau đây định nghĩa về hypebol?
A. Cho điểm F cố định và một đường thẳng ∆ cố định không đi qua F. Hypebol (H) là tập hợp các điểm M sao cho khoảng cách từ M đến F bằng khoảng
cách từ M đến ∆;
B. Cho F1, F2 cố định với
F1F2 = 2c (c > 0). Hypebol (H) là tập hợp điểm M sao cho
với a là một số không đổi và a > c;
C. Cho F1, F2 cố định với F1F2 = 2c (c > 0) và một độ dài 2a không đổi (a > c). Hypebol (H) là tập hợp các điểm M sao
cho M ∈ (P) ⇔ MF1 + MF2 = 2a;
D. Cả ba định nghĩa trên đều không đúng định nghĩa của Hypebol .
Đáp án đúng là: B
Cho cố định với 2c (c > 0). Hypebol (H) là tập hợp điểm M
sao cho với a là một số không đổi và a < c.
Câu 9. Khoảng cách từ
giao điểm của đường thẳng x – 3y + 4 = 0
và 2x + 3y – 1 = 0 đến đường thẳng ∆:
3x + y + 4 = 0 bằng:
A.
B.
C.
D. 2
Đáp án đúng là: C
+) Giao điểm của hai đường thẳng:
Ta có: , vậy điểm A (-1; 1) là giao điểm của
hai đường thẳng
+) Khoảng cách từ A đến ∆: 3x + y + 4 = 0:
Vậy khoảng cách giữa giao điểm của hai đường
thẳng đến đường thẳng ∆ là .
Câu 10.
Đường thẳng d đi qua gốc tọa độ O
và song song với đường thẳng – x + 2y + 3 = 0
có phương trình tham số là:
A.
B.
C.
D.
Đáp án đúng là: C
Đường thẳng d cần tìm song song với đường
thẳng – x + 2y + 3 = 0 nên có VTCP là:
Do đó phương trình tham số của
đường thẳng d đi qua gốc tọa độ và nhận làm vectơ chỉ phương là:
Câu 11. Đường
thẳng nào là đường chuẩn của parabol
A.
B.
C.
D.
Đáp án đúng là: D
Phương trình chính tắc của parabol
Phương trình đường chuẩn là
Câu 12.
Đường thẳng nào dưới đây đi qua điểm M(1; -1).
A.
B.
C.
D.
Đáp án đúng là: A.
Thay tọa độ điểm M lần lượt vào các phương trình
đường thẳng, ta thấy:
+) (luôn đúng). Do đó
điểm M thuộc đường thẳng d1.
+) (vô lí). Do đó điểm M không thuộc
đường thẳng d2.
+) (vô lí). Do đó điểm M không thuộc
đường thẳng d3.
+) (vô lí). Do đó điểm M không thuộc
đường thẳng d4.
Vậy điểm M thuộc vào đường thẳng d1.
Câu 13. Đường tròn (C)
có tâm I (1; -5) và đi
qua O (0; 0) có phương trình là:
A.
B.
C.
D.
Đáp án đúng là: C
Ta có: Bán kính của đường tròn R = OI =
Phương trình đường tròn là:
Câu 14. Phương trình
tiếp tuyến d của đường tròn (C): (x + 2)2 + (y + 2)2 = 25 tại
trung điểm của A (1; 3) và B (3; -1) là:
A. d: -y + 1 = 0
B. d: 4x + 3y + 14 = 0
C. d: 3x – 4y – 2 = 0
D. d: 4x + 3y - 11 = 0
Đáp án đúng là: D
Gọi M là trung điểm của A và B, ta có: M = (2; 1).
Đường tròn (C) có tâm I (-2; -2) nên tiếp tuyến
tại M có VTPT là nên có phương trình là: 4.(x – 2) +
3.(y – 1) = 0
4x + 3y – 11 = 0.
Câu 15. Trong mặt phẳng với hệ tọa độ Oxy, cho điểm M(x0, y0) và đường thẳng ∆: ax + by + c = 0. Khoảng cách từ điểm M đến ∆ được tính bằng công thức:
A.
B.
C.
D.
Đáp án đúng là: C
Khoảng cách từ điểm M đến đường thẳng ∆
là:
Câu 16.
Khoảng cách từ điểm M(-1; 1) đến
đường thẳng : 3x – 4y – 3 = 0
bằng:
A.
B. 2;
C.
D.
Đáp án đúng là: B
Áp dụng công thức tính khoảng cách từ một điểm
đến đường thẳng ta có:
Vậy khoảng cách từ điểm M đến đường thẳng ∆
là 2.
Câu 17. Gọi
I(a; b) là tâm của đường tròn .
Tính S = 2a + b:
A. -2;
B. 4;
C. 0;
D. -4.
Đáp án đúng là: D
Ta có:
Câu 18.
Elip có độ dài trục lớn bằng:
A. 5;
B. 10;
C. 25;
D. 50.
Đáp án đúng là: B
Gọi phương trình của Elip là = 1, có độ dài trục lớn A1A2 = 2a.
Xét (E): = 1 =>
=> => A1A2 = 2.5 = 10.
Câu 19.
Đáp án nào đúng, góc giữa hai đường thẳng sau:
và : y - 6 = 0
A.
B.
C.
D.
Đáp án đúng là: A
Ta có:
; lần lượt là vectơ pháp tuyến của đường thẳng d1; d2.
Áp dụng công thức góc giữa hai đường thẳng:
=> .
Câu 20. Tọa độ tâm I và bán kính R của đường tròn (C): (x - 1)2 + (x + 3)2 = 16 là:
A. I (-1; 3), R = 4;
B. I (1; -3), R = 4;
C. I (1; -3), R = 16;
D. I (-1; 3), R = 16.
Đáp án đúng là: B
Ta có:
Tâm I (1; -3), bán kính R = = 4.
Câu 21.
Cho elip . Tìm mệnh đề sai trong các mệnh đề sau:
A. (E) có trục lớn bằng
6;
B. (E) có trục nhỏ bằng
4;
C. (E) có tiêu cự bằng
D. (E) có tỉ số
Đáp án đúng là: C
Ta có:
=>
Do đó, (E) có tiêu cự
bằng 2.c = , trục lớn bằng 6, trục bé bằng 4,
tỉ số
Câu 22. Đường tròn
có tâm I (1; 2), bán kính R
= 3 có phương trình là:
A.
B.
C.
D.
Đáp án đúng là: A
Đường tròn có tâm I (1; 2),
bán kính R = 3 có phương trình
là:
Câu 23.
Elip có độ dài trục bé bằng:
A. 2
B. 4
C. 1
D.
Đáp án đúng là: D
Gọi phương trình của Elip là = 1, có độ dài trục
bé B1B2 = 2b.
Xét
Câu 24. Trong mặt
phẳng với hệ tọa độ Oxy, cho tam
giác ABC có A(3;
-4); B(1; 5) và C(3;
1). Tính diện tích tam giác ABC.
A. 10;
B. 5;
C.
D.
Đáp án đúng là: B
+) Viết phương trình đường thẳng BC; độ dài
BC
- Ta có: B(1; 5); C(3; 1) = (2; -4) là vectơ chỉ
phương của đường thẳng BC.
Ta chọn = (2; 1) là
vectơ pháp tuyến của đường thẳng BC (), ta viết được phương
trình đường thẳng qua BC như sau: 2.(x – 1) + 1.(y – 5) =
0 hay 2x + y – 7 = 0
- Độ dài BC: BC =
=
+) Tính độ dài đường cao kẻ từ A:
Độ dài đường cao kẻ từ A chính là khoảng cách
từ A đến phương trình đường thẳng qua BC, ta có:
+) Diện tích tam giác ABC:
= 5.
Câu 25. Cho đường
tròn . Viết phương trình tiếp tuyến d
của (C) tại điểm A
(3; -4).
A. d: x + y + 1 = 0
B. d: x - 2y - 11 = 0;
C. d: x - y - 7 = 0;
D. d: x - y + 7 = 0.
Đáp án đúng là: C
Đường tròn (C) có tâm I (1; -2) nên tiếp
tuyến tại A có VTPT là
(2; -2) = 2(1; -1)
Nên có phương trình là: 1(x - 3) - 1.(y + 4) = 0 ⇔ x - y - 7 = 0
Câu 26. Viết
phương trình tiếp tuyến của đường tròn , biết tiếp tuyến song song với đường thẳng d: 2x – y – 18 = 0.
A. 2x + y + 3 = 0
hoặc x + 2y – 7 = 0
B. 2x – y – 3 = 0
hoặc 2x – y + 7 = 0
C. 2x + y – 3 = 0
hoặc 2x – y – 7 = 0
D. 2x – y + 3 = 0
hoặc 2x – y + 7 = 0
Đáp án đúng là: B
Ta có: Đường tròn (C) có tâm I(-2;
-2), R =
và tiếp tuyến có dạng
∆: 2x – y + c = 0 (c ≠ -18)
Bán kính đường tròn:
suy ra: ∆:2x – y + 7 = 0
hoặc ∆: 2x
– y – 3 = 0.
Câu 27.
Góc tạo bởi giữa hai đường thẳng
: 7x - 3y + 6 = 0 và : 2x - 5y có giá trị?
A.
B.
C.
D.
Đáp án đúng là: A
Ta có:
lần lượt là vectơ pháp tuyến của đường
thẳng
. Áp dụng công thức góc giữa
hai đường thẳng:
Câu 28.
Với giá trị của c bằng bao nhiêu thì đường
thẳng 3x + y – 2c = 0 đi qua
điểm A(3 ; -1).
A. c = 0
B. c = 2
C. c = 3
D. c = 4
Đáp án đúng là : D
Vì điểm A thuộc vào đường thẳng đã cho nên
thay tọa độ điểm A vào phương trình ta được :
3.3 + (-1) – 2c = 0
⇔ 8 – 2c = 0
⇔ c = 4. Do đó D đúng.
Câu 29.
Phương trình đường thẳng cắt hai trục tọa độ
tại A(-5 ; 0) và B(0; 2) là:
A. 2x – 5y + 4 = 0
B. 3x – 5y + 10 = 0
C. 5x – 2y – 10 = 0
D. 2x – 5x + 10 = 0
Đáp án đúng là : D
Phương trình đoạn chắn đi qua hai điểm
A(a; 0) và B(0; b) có dạng
Ta có:
Phương trình đường
thẳng:2x – 5y + 10 = 0.
Câu 30.
Tìm giá trị góc giữa hai đường thẳng sau:
: 6x - 5y + 15 = 0 và
A.
B.
C.
D.
Đáp án đúng là: D
Ta có:
lần lượt là vectơ pháp
tuyến của đường thẳng
. Nhận thấy = 6.5 + 6.(-5) = 0 suy ra
hai đường thẳng vuông góc với nhau nên
Dạng 2. Trắc nghiệm đúng sai
Trong mỗi ý a), b), c), d) ở mỗi câu, thí sinh chọn đúng hoặc sai.
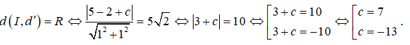
Câu hỏi. Trong hệ tọa độ Oxy, cho đường tròn và điểm A(-2;-1).
a) Đường thẳng tiếp xúc với đường tròn (C).
b) Tiếp tuyến của đường tròn (C) tại A có phương trình .
c) Điểm A thuộc đường tròn (C).
d) Có hai tiếp tuyến của đường tròn (C) song song với đường thẳng .
Đường tròn (C) có tâm .
a) Ta có .
Do đó đường thẳng tiếp xúc với đường tròn (C).
b) Ta có .
Tiếp tuyến của đường tròn (C) tại A nhận làm vectơ pháp tuyến có phương trình là
hay 7x-y+13=0.
c) Thay tọa độ điểm A vào phương trình đường tròn ta thấy thỏa mãn.
Do đó điểm A thuộc đường tròn (C).
d) Tiếp tuyến của đường tròn (C) song song với đường thẳng có dạng
Lại có
Vì nên c= -13.
Vậy có 1 tiếp tuyến là
Đáp án: a) Đúng; b) Sai; c) Đúng; d) Sai.
Dạng 3. Trắc nghiệm trả lời ngắn
Câu 1. Trong mặt phẳng với hệ trục tọa độ Oxy. Cho đường thẳng đi qua M(-1;2) và vuông góc với đường thẳng d có phương trình tham số là . Đường thẳng cắt trục Ox, Oy lần lượt tại A và B. Khi đó bằng bao nhiêu? (làm tròn kết quả đến hàng phần trăm).
Vì đường thẳng đi qua M(-1;2) và vuông góc với đường thẳng d có phương trình tham số là nên có dạng hay .
Vì cắt trục Ox, Oy lần lượt tại A và B nên .
Khi đó .
Trả lời: 5,33.
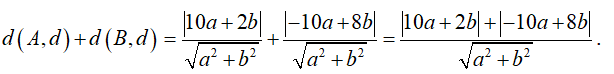
Câu 2. Trong mặt phẳng Oxy, cho đường thẳng d qua O. Biết A(10;2), B(-10;8) nằm cùng phía đối với đường thẳng d. lớn nhất bằng bao nhiêu?
Đường thẳng d đi qua O có dạng .
Ta có ; .
Do đó
Do A,B nằm cùng phía với đường thẳng d nên 10a+2b và -10a+8b phải cùng dấu.