Đề kiểm tra Toán 10 Kết nối tri thức Chương 5 (có lời giải)
Đề kiểm tra Toán 10 Kết nối tri thức Chương 5: Các số đặc trưng của mẫu số liệu không ghép nhóm có đáp án chi tiết theo cấu trúc mới với bài tập đa dạng đầy đủ các mức độ sẽ giúp học sinh lớp 10 ôn luyện Toán 10.
Đề kiểm tra Toán 10 Kết nối tri thức Chương 5 (có lời giải)
Chỉ từ 200k mua trọn bộ Bài tập ôn tập + Đề kiểm tra Toán 10 Kết nối tri thức theo Chương theo cấu trúc mới bản word có lời giải chi tiết, trình bày đẹp mắt, dễ dàng chỉnh sửa:
- B1: gửi phí vào tk:
1133836868- CT TNHH DAU TU VA DV GD VIETJACK - Ngân hàng MB (QR) - B2: Nhắn tin tới Zalo VietJack Official - nhấn vào đây để thông báo và nhận đề thi
Phần 1. Trắc nghiệm nhiều phương án lựa chọn
Mỗi câu hỏi thí sinh chỉ chọn một phương án.
Câu 1. Số gần đúng của số a = 15285 với độ chính xác d = 300 là
A. 15000.
B. 15300.
C. 15585.
D. 15500.
Câu 2. Bảng số liệu về sản lượng chè thu được trong một năm (đơn vị: kg/sào) của 20 hộ gia đình được thống kê trong bảng dưới đây:
|
111 |
112 |
112 |
113 |
114 |
114 |
115 |
114 |
115 |
116 |
|
112 |
113 |
113 |
114 |
115 |
114 |
113 |
117 |
113 |
115 |
Tứ phân vị thứ nhất (đơn vị: kg/sào) của mẫu số liệu bằng
A. 112.
B. 113.
C. 114.
D. 115.
Câu 3. Mẫu số liệu thống kê chiều cao (đơn vị: mét) của 15 cây bạch đàn như sau:
|
6,1 |
6,8 |
7,5 |
8,2 |
8,2 |
7,8 |
7,9 |
9,0 |
8,9 |
7,2 |
7,5 |
8,7 |
7,7 |
8,8 |
7,6 |
Khoảng biến thiên (đơn vị: mét) của mẫu số liệu trên bằng
A. 2,9.
B. 2,8.
C. 3,0.
D. 2,2.
Câu 4. Chỉ số IQ của một nhóm học sinh được ghi nhận như sau:
|
60 |
78 |
80 |
64 |
70 |
76 |
80 |
74 |
86 |
90 |
Tứ phân vị thứ ba của mẫu số liệu là
A. .
B. .
C. .
D. .
Câu 5. Nhiệt độ cao nhất của một thành phố trong 7 ngày liên tiếp trong tháng 8 (độ C) được ghi lại như sau:
|
34 |
34 |
36 |
35 |
33 |
31 |
30 |
Phương sai của mẫu số liệu thuộc khoảng nào trong các khoảng dưới đây?
A. .
B. .
C. .
D. .
Câu 6. Theo thống kê, dân số Việt Nam năm 2002 là 79715675 người. Giả sử sai số tuyệt đối của thống kê này không vượt quá 10000 người, hãy ước lượng sai số tương đối của số liệu thống kê trên.
A. .
B. .
C. .
D. .
Phần 2. Trắc nghiệm đúng sai
Trong mỗi ý a), b), c), d) ở mỗi câu, thí sinh chọn đúng hoặc sai.
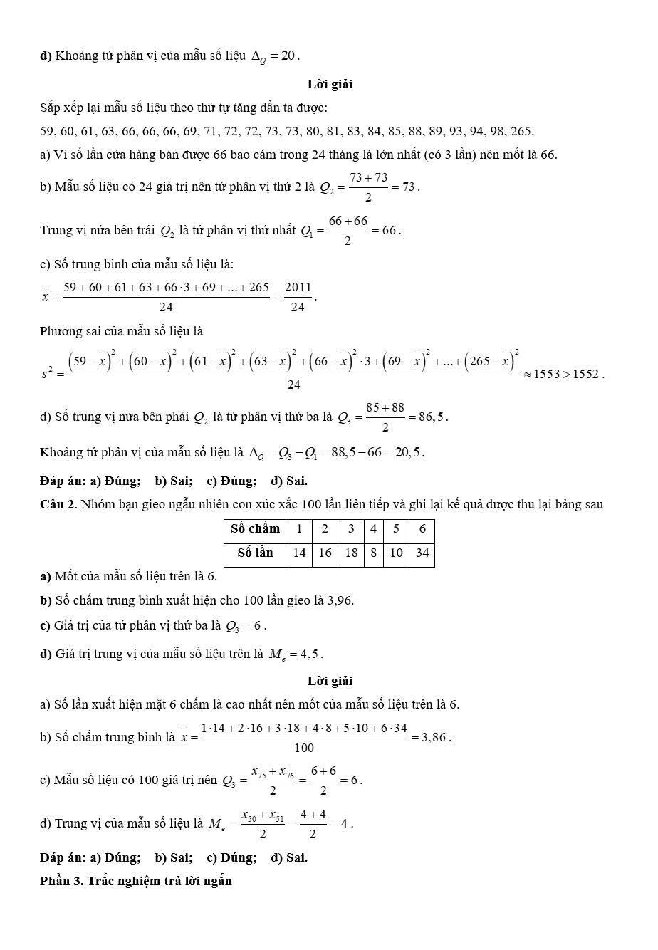
Câu 1. Thống kê số bao cám được bán ra tại một cửa hàng thức ăn gia súc trong 24 tháng cho kết quả như sau:
|
72 |
89 |
88 |
73 |
63 |
265 |
69 |
66 |
93 |
59 |
60 |
61 |
|
94 |
80 |
81 |
98 |
66 |
71 |
84 |
73 |
83 |
72 |
85 |
66 |
a) Mốt của mẫu số liệu là 66.
b) Tứ phân vị thứ nhất là .
c) Phương sai của mẫu số liệu lớn hơn 1552.
d) Khoảng tứ phân vị của mẫu số liệu .
Câu 2. Nhóm bạn gieo ngẫu nhiên con xúc xắc 100 lần liên tiếp và ghi lại kế quả được thu lại bảng sau
|
Số chấm |
1 |
2 |
3 |
4 |
5 |
6 |
|
Số lần |
14 |
16 |
18 |
8 |
10 |
34 |
a) Mốt của mẫu số liệu trên là 6.
b) Số chấm trung bình xuất hiện cho 100 lần gieo là 3,96.
c) Giá trị của tứ phân vị thứ ba là .
d) Giá trị trung vị của mẫu số liệu trên là .
Phần 3. Trắc nghiệm trả lời ngắn
Câu 1. Đo chu vi một bể bơi được kết quả là . Hãy viết số quy tròn của số gần đúng .
Câu 2. Điểm điều tra về chất lượng sản phẩm mới (thang điểm: 100) như sau:
|
80 |
65 |
51 |
48 |
45 |
61 |
30 |
35 |
87 |
83 |
60 |
58 |
75 |
|
72 |
68 |
39 |
41 |
54 |
61 |
72 |
75 |
72 |
61 |
50 |
65 |
|
Có bao nhiêu giá trị bất thường (giá trị ngoại lệ) trong mẫu số liệu trên?
Câu 3. Thời gian Minh đi từ nhà đến trường từ 20 đến 30 phút. Minh đã thống kê thời gian đi học của mình trong 1 tháng và thu được bảng tần số sau:
|
Thời gian (phút) |
20 |
22 |
24 |
25 |
27 |
28 |
30 |
|
Số lần |
1 |
4 |
11 |
8 |
3 |
1 |
2 |
Tính thời gian trung bình mà Minh đi từ nhà đến trường trong tháng đó.
................................
................................
................................
Xem thêm đề kiểm tra Toán lớp 10 Kết nối tri thức có đáp án hay khác:
Xem thêm các tài liệu học tốt lớp 10 hay khác:
- Giải sgk Toán 10 Kết nối tri thức
- Giải Chuyên đề học tập Toán 10 Kết nối tri thức
- Giải SBT Toán 10 Kết nối tri thức
- Giải lớp 10 Kết nối tri thức (các môn học)
- Giải lớp 10 Chân trời sáng tạo (các môn học)
- Giải lớp 10 Cánh diều (các môn học)
Tủ sách VIETJACK shopee lớp 10-11 (cả 3 bộ sách):
Đã có app VietJack trên điện thoại, giải bài tập SGK, SBT Soạn văn, Văn mẫu, Thi online, Bài giảng....miễn phí. Tải ngay ứng dụng trên Android và iOS.
Theo dõi chúng tôi miễn phí trên mạng xã hội facebook và youtube:Nếu thấy hay, hãy động viên và chia sẻ nhé! Các bình luận không phù hợp với nội quy bình luận trang web sẽ bị cấm bình luận vĩnh viễn.
- Soạn văn 10 (hay nhất) - KNTT
- Soạn văn 10 (ngắn nhất) - KNTT
- Soạn văn 10 (siêu ngắn) - KNTT
- Giải sgk Toán 10 - KNTT
- Giải Tiếng Anh 10 Global Success
- Giải Tiếng Anh 10 Friends Global
- Giải sgk Tiếng Anh 10 iLearn Smart World
- Giải sgk Tiếng Anh 10 Explore New Worlds
- Giải sgk Vật lí 10 - KNTT
- Giải sgk Hóa học 10 - KNTT
- Giải sgk Sinh học 10 - KNTT
- Giải sgk Địa lí 10 - KNTT
- Giải sgk Lịch sử 10 - KNTT
- Giải sgk Kinh tế và Pháp luật 10 - KNTT
- Giải sgk Tin học 10 - KNTT
- Giải sgk Công nghệ 10 - KNTT
- Giải sgk Hoạt động trải nghiệm 10 - KNTT
- Giải sgk Giáo dục quốc phòng 10 - KNTT


Giải bài tập SGK & SBT
Tài liệu giáo viên
Sách
Khóa học
Thi online
Hỏi đáp

