Đề kiểm tra Toán 10 Kết nối tri thức Chương 8 (có lời giải)
Đề kiểm tra Toán 10 Kết nối tri thức Chương 8: Đại số tổ hợp có đáp án chi tiết theo cấu trúc mới với bài tập đa dạng đầy đủ các mức độ sẽ giúp học sinh lớp 10 ôn luyện Toán 10.
Đề kiểm tra Toán 10 Kết nối tri thức Chương 8 (có lời giải)
Chỉ từ 200k mua trọn bộ Bài tập ôn tập + Đề kiểm tra Toán 10 Kết nối tri thức theo Chương theo cấu trúc mới bản word có lời giải chi tiết, trình bày đẹp mắt, dễ dàng chỉnh sửa:
- B1: gửi phí vào tk:
1133836868- CT TNHH DAU TU VA DV GD VIETJACK - Ngân hàng MB (QR) - B2: Nhắn tin tới Zalo VietJack Official - nhấn vào đây để thông báo và nhận đề thi
Phần 1. Trắc nghiệm nhiều phương án lựa chọn
Mỗi câu hỏi thí sinh chỉ chọn một phương án.
Câu 1. Một hộp đựng 6 viên bi xanh và 5 viên bi đỏ, lấy ngẫu nhiên 2 viên bi. Có bao nhiêu cách chọn để lấy được 2 viên bi cùng màu?
A. 25.
B. 50.
C. 15.
D. 10.
Câu 2. Có bao nhiêu cách xếp 7 học sinh thành một hàng dọc?
A. 7.
B. 5040.
C. 1.
D. 49.
Câu 3. Cho . Tổng bằng
A. 27.
B. 12.
C. 4.
D. 81.
Câu 4. Một công việc được thực hiện bởi hai hành động liên tiếp. Nếu hành động thứ nhất có m cách thực hiện và ứng với mỗi cách thực hiện hành động thứ nhất có n cách thực hiện hành động thứ hai thì số cách để hoàn thành công việc đó là
A. m+n.
B. m-n.
C. m.n-1.
D.m.n.
Câu 5. Cho khai triển biểu thức . Số hạng thứ ba trong khai triển là
A. .
B. .
C. .
D. .
Câu 6. Cho tập . Có bao nhiêu số tự nhiên có 3 chữ số khác nhau lấy từ tập A.
A. .
B. .
C. .
D. .
Phần 2. Trắc nghiệm đúng sai
Trong mỗi ý a), b), c), d) ở mỗi câu, thí sinh chọn đúng hoặc sai.
Câu 1. Có 5 bông hoa màu hồng, 4 bông hoa màu trắng (mỗi bông đều khác nhau về hình dáng). Một người cần chọn một bó hoa từ số hoa này.
a) Số cách chọn 4 bông tùy ý là 126 cách.
b) Số cách chọn 5 bông, trong đó có đủ hai màu và số bông hồng nhiều hơn bông trắng là 30 cách.
c) Số cách chọn 4 bông hoa có đủ hai màu là 120 cách.
d) Số cách chọn 6 bông mà số bông hai màu bằng nhau là 50 cách.
Câu 2. Khai triển .
a) .
b) Hệ số của số hạng trong khai triển là 54.
c) Số hạng chứa trong khai triển là .
d) Tổng hệ số của các số hạng mà lũy thừa của nhỏ hơn 7 là 243.
Phần 3. Trắc nghiệm trả lời ngắn
Câu 1. Cho các số tự nhiên 0; 1; 2; 3; 4; 5; 6; 7. Có bao nhiêu số tự nhiên chẵn có 3 chữ số khác nhau được lập từ các chữ số đã cho?
Câu 2. Có 4 học sinh nam, 3 học sinh nữ và 2 thầy giáo xếp thành một hàng dọc tham gia một cuộc thi. Hỏi có bao nhiêu cách xếp hàng sao cho nhóm 3 học sinh nữ luôn đứng cạnh nhau và nhóm hai thầy giáo cũng luôn đứng cạnh nhau?
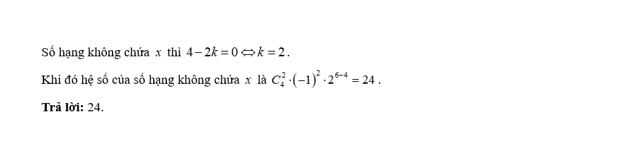
Câu 3. Tìm hệ số của số hạng không chứa x trong khai triển với .
................................
................................
................................
Xem thêm đề kiểm tra Toán lớp 10 Kết nối tri thức có đáp án hay khác:
Xem thêm các tài liệu học tốt lớp 10 hay khác:
- Giải sgk Toán 10 Kết nối tri thức
- Giải Chuyên đề học tập Toán 10 Kết nối tri thức
- Giải SBT Toán 10 Kết nối tri thức
- Giải lớp 10 Kết nối tri thức (các môn học)
- Giải lớp 10 Chân trời sáng tạo (các môn học)
- Giải lớp 10 Cánh diều (các môn học)
Tủ sách VIETJACK shopee lớp 10-11 (cả 3 bộ sách):
Đã có app VietJack trên điện thoại, giải bài tập SGK, SBT Soạn văn, Văn mẫu, Thi online, Bài giảng....miễn phí. Tải ngay ứng dụng trên Android và iOS.
Theo dõi chúng tôi miễn phí trên mạng xã hội facebook và youtube:Nếu thấy hay, hãy động viên và chia sẻ nhé! Các bình luận không phù hợp với nội quy bình luận trang web sẽ bị cấm bình luận vĩnh viễn.
- Soạn văn 10 (hay nhất) - KNTT
- Soạn văn 10 (ngắn nhất) - KNTT
- Soạn văn 10 (siêu ngắn) - KNTT
- Giải sgk Toán 10 - KNTT
- Giải Tiếng Anh 10 Global Success
- Giải Tiếng Anh 10 Friends Global
- Giải sgk Tiếng Anh 10 iLearn Smart World
- Giải sgk Tiếng Anh 10 Explore New Worlds
- Giải sgk Vật lí 10 - KNTT
- Giải sgk Hóa học 10 - KNTT
- Giải sgk Sinh học 10 - KNTT
- Giải sgk Địa lí 10 - KNTT
- Giải sgk Lịch sử 10 - KNTT
- Giải sgk Kinh tế và Pháp luật 10 - KNTT
- Giải sgk Tin học 10 - KNTT
- Giải sgk Công nghệ 10 - KNTT
- Giải sgk Hoạt động trải nghiệm 10 - KNTT
- Giải sgk Giáo dục quốc phòng 10 - KNTT


Giải bài tập SGK & SBT
Tài liệu giáo viên
Sách
Khóa học
Thi online
Hỏi đáp

