Chuyên đề bồi dưỡng HSG Hóa học 10 Động hóa học (có lời giải)
Bài viết Chuyên đề bồi dưỡng HSG Hóa học 10 Động hóa học gồm các dạng bài tập từ cơ bản đến nâng cao với phương pháp giải chi tiết và bài tập tự luyện đa dạng giúp Giáo viên có thêm tài liệu ôn thi Học sinh giỏi Hóa 10.
Chuyên đề bồi dưỡng HSG Hóa học 10 Động hóa học (có lời giải)
Xem thử Chuyên đề bồi dưỡng HSG Hóa 10 Xem thử Đề thi HSG Hóa 10
Chỉ từ 300k mua trọn Chuyên đề bồi dưỡng HSG Hóa học 10 bản word có lời giải chi tiết:
- B1: gửi phí vào tk:
1133836868- CT TNHH DAU TU VA DV GD VIETJACK - Ngân hàng MB (QR) - B2: Nhắn tin tới Zalo VietJack Official - nhấn vào đây để thông báo và nhận giáo án
Phần I: HỆ THỐNG LÝ THUYẾT CƠ BẢN VÀ NÂNG CAO
I. TỐC ĐỘ PHẢN ỨNG
1. Khái niệm về tốc độ phản ứng
Tốc độ của một phản ứng hóa học (thường kí hiệu là v) là độ biến thiên nồng độ của một trong các chất phản ứng hoặc sản phẩm trong một đơn vị thời gian. Theo quy ước, nồng độ tính bằng mol/l, còn đơn vị thời gian có thể là giây (s), phút (ph), giờ (h),...
Trường hợp chung, tốc độ v là hàm của nồng độ và nhiệt độ, nghĩa là v = f (C, T). Khi T = const thì y = f(C).
2. Tốc độ trung bình của phản ứng
Xét biến thiên nồng độ ∆C trong khoảng thời gian ∆t, ta có:
Dấu (+) ứng với chất tạo thành sản phẩm), dấu (-) ứng với chất tham gia (chất đầu).
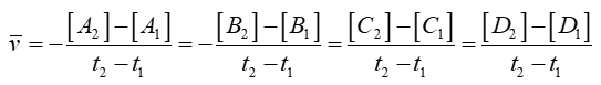
Giả sử có phản ứng: A + B ➔ C + D, với tốc độ trung bình của phản ứng trong khoảng thời gian từ t1 đến t2 là . Như vậy tốc độ phản ứng được xác định theo biểu thức:
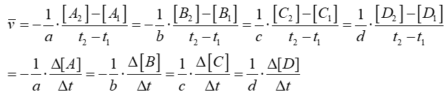
Đối với phản ứng tổng quát:
aA + bB ➔ cC + dD
Muốn cho tốc độ phản ứng đơn giá (nghĩa là tính theo bất cứ chất nào: A, B, C hay D đều cho cùng một giá trị) thì độ biến thiên nồng độ phải chia cho hệ số tỉ lượng tương ứng, nghĩa là
Tốc độ tức thời: Xét các đại lượng biến thiên trên đủ nhỏ, nghĩa là
Lúc đó:
v được gọi là tốc độ tức thời của phản ứng.
Xét phản ứng tổng quát:
aA + bB ➔ cC + dD
Tốc độ của phản ứng trên được xác định bằng một trong các đại lượng sau:
Các đại lượng trên có thể khác nhau. Để tốc độ phản ứng đơn giá thì ta viết:
Ví dụ: Xét phản ứng tổng hợp SO3:
- Tốc độ trung bình của phản ứng:
- Tốc độ tức thời của phản ứng:
3. Hằng số tốc độ phản ứng
- Từ thực nghiệm, một quy luật được phát hiện là: Tốc độ của một phản ứng tỉ lệ với tích số nồng độ tại thời điểm đang xét của các chất tham gia, mỗi nông độ đó trong trường hợp đơn giản - có số mũ bằng đúng hệ số các chất trong phản ứng. Đó là nội dung của định luật tác dụng khối lượng do hai nhà bác học Nauy là G.Guldberg và P.Waage đưa ra vào năm 1867.
Đối với phản ứng:
aA + bB ➔ C + dD
Ta có:
Trong đó: CA, CB là nồng độ chất A và B tại thời điểm đang xét.
a, b là hệ số tương ứng của chất A, chất B trong phương trình phản ứng.
k là hằng số tốc độ của phản ứng; k càng lớn tốc độ phản ứng càng lớn. Hằng số k phụ thuộc vào bản chất của phản ứng, vào nhiệt độ, vào dung môi và vào chất xúc tác.
Biểu thức (*) được gọi là phương trình động học của phản ứng hóa học. Mỗi phản ứng hóa học có một phương trình động học tương ứng.
4. Bậc phản ứng. Một số phản ứng đơn giản
a) Bậc phản ứng
Bậc riêng phần của phản ứng là trị số riêng rẽ của từng số mũ a, b, ... trong phương trình động học.
Bậc toàn phần của một phản ứng là tổng các số mũ của các chất trong phương trình động học của phản ứng đó.
Giả sử có phản ứng:
Tốc độ phản ứng được xác định theo biểu thức:
Trong đó x là bậc phản ứng đối với A, y là bậc phản ứng đối với B, tổng x + y là bậc toàn phần của phản ứng trên.
Bậc phản ứng thường là những số nguyên nhỏ (0, 1, 2, 3) nhưng cũng có thể là phân số. Thông thường ta gặp phản ứng bậc 1, bậc 2, bậc 3 và các số mũ x, y trùng với giá trị a, b nên tốc độ phản ứng trên được viết:
b) Một số loại phản ứng đơn giản
• Phản ứng một chiều bậc nhất
A ➔ Sản phẩm (4.1)
Ta có:
v=kCA
Gọi a là nồng độ ban đầu của A tại thời điểm t = 0; nồng độ của A đã phản ứng sau thời gian dt là x. Khi đó:
CA = a - x
(4.2)
Biểu thức (2) là phương trình động học dưới dạng vi phân của phản ứng (1). Lấy tích phân không xác định hai về biểu thức (2) ta được:
(4.3)
................................
................................
................................
Xem thử Chuyên đề bồi dưỡng HSG Hóa 10 Xem thử Đề thi HSG Hóa 10
Xem thêm các Chuyên đề bài tập bồi dưỡng Học sinh giỏi Hóa học lớp 10 có đáp án hay khác:
Để học tốt lớp 10 các môn học sách mới:
- Giải bài tập Lớp 10 Kết nối tri thức
- Giải bài tập Lớp 10 Chân trời sáng tạo
- Giải bài tập Lớp 10 Cánh diều
Đã có app VietJack trên điện thoại, giải bài tập SGK, SBT Soạn văn, Văn mẫu, Thi online, Bài giảng....miễn phí. Tải ngay ứng dụng trên Android và iOS.
Theo dõi chúng tôi miễn phí trên mạng xã hội facebook và youtube:Nếu thấy hay, hãy động viên và chia sẻ nhé! Các bình luận không phù hợp với nội quy bình luận trang web sẽ bị cấm bình luận vĩnh viễn.
- Giải Tiếng Anh 10 Global Success
- Giải Tiếng Anh 10 Friends Global
- Giải sgk Tiếng Anh 10 iLearn Smart World
- Giải sgk Tiếng Anh 10 Explore New Worlds
- Lớp 10 - Kết nối tri thức
- Soạn văn 10 (hay nhất) - KNTT
- Soạn văn 10 (ngắn nhất) - KNTT
- Soạn văn 10 (siêu ngắn) - KNTT
- Giải sgk Toán 10 - KNTT
- Giải sgk Vật lí 10 - KNTT
- Giải sgk Hóa học 10 - KNTT
- Giải sgk Sinh học 10 - KNTT
- Giải sgk Địa lí 10 - KNTT
- Giải sgk Lịch sử 10 - KNTT
- Giải sgk Kinh tế và Pháp luật 10 - KNTT
- Giải sgk Tin học 10 - KNTT
- Giải sgk Công nghệ 10 - KNTT
- Giải sgk Hoạt động trải nghiệm 10 - KNTT
- Giải sgk Giáo dục quốc phòng 10 - KNTT
- Lớp 10 - Chân trời sáng tạo
- Soạn văn 10 (hay nhất) - CTST
- Soạn văn 10 (ngắn nhất) - CTST
- Soạn văn 10 (siêu ngắn) - CTST
- Giải Toán 10 - CTST
- Giải sgk Vật lí 10 - CTST
- Giải sgk Hóa học 10 - CTST
- Giải sgk Sinh học 10 - CTST
- Giải sgk Địa lí 10 - CTST
- Giải sgk Lịch sử 10 - CTST
- Giải sgk Kinh tế và Pháp luật 10 - CTST
- Giải sgk Hoạt động trải nghiệm 10 - CTST
- Lớp 10 - Cánh diều
- Soạn văn 10 (hay nhất) - Cánh diều
- Soạn văn 10 (ngắn nhất) - Cánh diều
- Soạn văn 10 (siêu ngắn) - Cánh diều
- Giải sgk Toán 10 - Cánh diều
- Giải sgk Vật lí 10 - Cánh diều
- Giải sgk Hóa học 10 - Cánh diều
- Giải sgk Sinh học 10 - Cánh diều
- Giải sgk Địa lí 10 - Cánh diều
- Giải sgk Lịch sử 10 - Cánh diều
- Giải sgk Kinh tế và Pháp luật 10 - Cánh diều
- Giải sgk Tin học 10 - Cánh diều
- Giải sgk Công nghệ 10 - Cánh diều
- Giải sgk Hoạt động trải nghiệm 10 - Cánh diều
- Giải sgk Giáo dục quốc phòng 10 - Cánh diều


Giải bài tập SGK & SBT
Tài liệu giáo viên
Sách
Khóa học
Thi online
Hỏi đáp

