Đề kiểm tra Toán 9 theo Chương (có lời giải)
Trọn bộ đề kiểm tra Toán 9 năm 2026 chương trình sách mới Kết nối tri thức, Chân trời sáng tạo, Cánh diều được biên soạn theo từng Chương với câu hỏi & bài tập đa dạng bám sát cấu trúc mới có đúng sai, trả lời ngắn, tự luận có lời giải chi tiết giúp học sinh lớp 9 ôn luyện và đạt điểm cao trong các bài thi Toán 9.
Đề kiểm tra Toán 9 theo Chương (có lời giải)
Xem thử Đề kiểm tra Toán 9 KNTT Xem thử Đề kiểm tra Toán 9 CTST Xem thử Đề kiểm tra Toán 9 CD
Chỉ từ 200k mua trọn bộ Bài tập ôn tập + Đề kiểm tra Toán 9 theo Chương theo cấu trúc mới bản word có lời giải chi tiết, trình bày đẹp mắt, dễ dàng chỉnh sửa:
- B1: gửi phí vào tk:
1133836868- CT TNHH DAU TU VA DV GD VIETJACK - Ngân hàng MB (QR) - B2: Nhắn tin tới Zalo VietJack Official - nhấn vào đây để thông báo và nhận đề thi
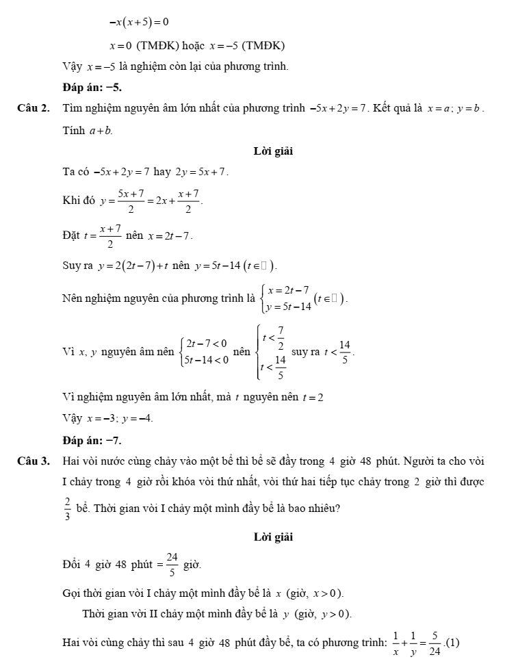
Đề kiểm tra Toán 9 Kết nối tri thức (theo Chương)
................................
................................
................................
Đề kiểm tra Toán 9 Chân trời sáng tạo (theo Chương)
Đề kiểm tra Toán 9 Chân trời sáng tạo Chương 1 (có lời giải)
Đề kiểm tra Toán 9 Chân trời sáng tạo Chương 2 (có lời giải)
Đề kiểm tra Toán 9 Chân trời sáng tạo Chương 3 (có lời giải)
Đề kiểm tra Toán 9 Chân trời sáng tạo Chương 4 (có lời giải)
................................
................................
................................
Đề kiểm tra Toán 9 Cánh diều (theo Chủ đề)
................................
................................
................................
Xem thử Đề kiểm tra Toán 9 KNTT Xem thử Đề kiểm tra Toán 9 CTST Xem thử Đề kiểm tra Toán 9 CD
Xem thêm đề thi lớp 9 các môn học có đáp án hay khác:
Tài liệu giáo án lớp 9 các môn học chuẩn khác:
Đã có app VietJack trên điện thoại, giải bài tập SGK, SBT Soạn văn, Văn mẫu, Thi online, Bài giảng....miễn phí. Tải ngay ứng dụng trên Android và iOS.
Theo dõi chúng tôi miễn phí trên mạng xã hội facebook và youtube:Nếu thấy hay, hãy động viên và chia sẻ nhé! Các bình luận không phù hợp với nội quy bình luận trang web sẽ bị cấm bình luận vĩnh viễn.
- Giải Tiếng Anh 12 Global Success
- Giải sgk Tiếng Anh 12 Smart World
- Giải sgk Tiếng Anh 12 Friends Global
- Lớp 12 Kết nối tri thức
- Soạn văn 12 (hay nhất) - KNTT
- Soạn văn 12 (ngắn nhất) - KNTT
- Giải sgk Toán 12 - KNTT
- Giải sgk Vật Lí 12 - KNTT
- Giải sgk Hóa học 12 - KNTT
- Giải sgk Sinh học 12 - KNTT
- Giải sgk Lịch Sử 12 - KNTT
- Giải sgk Địa Lí 12 - KNTT
- Giải sgk Giáo dục KTPL 12 - KNTT
- Giải sgk Tin học 12 - KNTT
- Giải sgk Công nghệ 12 - KNTT
- Giải sgk Hoạt động trải nghiệm 12 - KNTT
- Giải sgk Giáo dục quốc phòng 12 - KNTT
- Giải sgk Âm nhạc 12 - KNTT
- Giải sgk Mĩ thuật 12 - KNTT
- Lớp 12 Chân trời sáng tạo
- Soạn văn 12 (hay nhất) - CTST
- Soạn văn 12 (ngắn nhất) - CTST
- Giải sgk Toán 12 - CTST
- Giải sgk Vật Lí 12 - CTST
- Giải sgk Hóa học 12 - CTST
- Giải sgk Sinh học 12 - CTST
- Giải sgk Lịch Sử 12 - CTST
- Giải sgk Địa Lí 12 - CTST
- Giải sgk Giáo dục KTPL 12 - CTST
- Giải sgk Tin học 12 - CTST
- Giải sgk Hoạt động trải nghiệm 12 - CTST
- Giải sgk Âm nhạc 12 - CTST
- Lớp 12 Cánh diều
- Soạn văn 12 Cánh diều (hay nhất)
- Soạn văn 12 Cánh diều (ngắn nhất)
- Giải sgk Toán 12 Cánh diều
- Giải sgk Vật Lí 12 - Cánh diều
- Giải sgk Hóa học 12 - Cánh diều
- Giải sgk Sinh học 12 - Cánh diều
- Giải sgk Lịch Sử 12 - Cánh diều
- Giải sgk Địa Lí 12 - Cánh diều
- Giải sgk Giáo dục KTPL 12 - Cánh diều
- Giải sgk Tin học 12 - Cánh diều
- Giải sgk Công nghệ 12 - Cánh diều
- Giải sgk Hoạt động trải nghiệm 12 - Cánh diều
- Giải sgk Giáo dục quốc phòng 12 - Cánh diều
- Giải sgk Âm nhạc 12 - Cánh diều


Giải bài tập SGK & SBT
Tài liệu giáo viên
Sách
Khóa học
Thi online
Hỏi đáp

