Đề kiểm tra Toán 9 Kết nối tri thức Chương 3 (có lời giải)
Đề kiểm tra Toán 9 Kết nối tri thức Chương 3: Căn bậc hai và căn bậc ba có đáp án chi tiết theo cấu trúc mới với bài tập đa dạng đầy đủ các mức độ sẽ giúp học sinh lớp 9 ôn luyện Toán 9.
Đề kiểm tra Toán 9 Kết nối tri thức Chương 3 (có lời giải)
Chỉ từ 250k mua trọn bộ Bài tập ôn tập + Đề kiểm tra Toán 9 Kết nối tri thức theo Chương theo cấu trúc mới bản word có lời giải chi tiết, trình bày đẹp mắt, dễ dàng chỉnh sửa:
- B1: gửi phí vào tk:
1133836868- CT TNHH DAU TU VA DV GD VIETJACK - Ngân hàng MB (QR) - B2: Nhắn tin tới Zalo VietJack Official - nhấn vào đây để thông báo và nhận đề thi
Phần 1. Trắc nghiệm nhiều phương án lựa chọn
Mỗi câu hỏi thí sinh chỉ chọn một phương án.
Câu 1.Số không âm thỏa mãn là
A. 36
B. 6
C. 12
D.3
Câu 2.Rút gọn biểu thức với ta được
A. .
B. .
C. .
D. .
Câu 3.Với , biểu thức có giá trị là
A. và .
B. .
C. 0.
D. .
Câu 4.Trong các biểu thức sau đây, biểu thức có giá trị bằng với biểu thức là
A. .
B. .
C. .
D. .
Câu 5. Rút gọn biểu thức ta được
A. .
B..
C. 1.
D. -1
Câu 6.Một khối gỗ hình lập phương có thể tích . Chia khối gỗ này thành 8 khối gỗ hình lập phương nhỏ có thể tích bằng nhau. Độ dài của mỗi khối gỗ hình lập phương nhỏ là
A. 1 cm
B. 3 cm
C. 5 cm
D. 7 cm
Phần 2. Trắc nghiệm đúng sai
Trong mỗi ý a), b), c), d) ở mỗi câu, thí sinh chọn đúng hoặc sai.
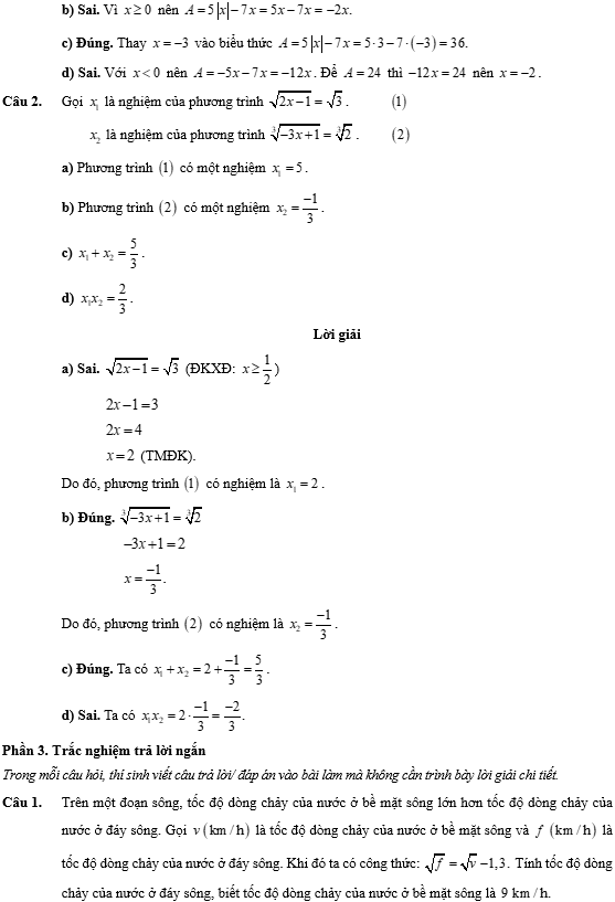
Câu 1.Cho biểu thức
a) Kết quả thực hiện phép tính biểu thức là .
b) Với , kết quả rút gọn biểu thức là .
c) Giá trị của biểu thức tại là .
d) Với , giá trị của để giá trị biểu thức là .
Câu 2. Gọi là nghiệm của phương trình .
là nghiệm của phương trình
a) Phương trình có một nghiệm .
b) Phương trình có một nghiệm .
c) .
d) .
Phần 3. Trắc nghiệm trả lời ngắn
Trong mỗi câu hỏi, thí sinh viết câu trả lời/ đáp án vào bài làm mà không cần trình bày lời giải chi tiết.
Câu 1. Trên một đoạn sông, tốc độ dòng chảy của nước ở bề mặt sông lớn hơn tốc độ dòng chảy của nước ở đáy sông. Gọi là tốc độ dòng chảy của nước ở bề mặt sông và là tốc độ dòng chảy của nước ở đáy sông. Khi đó ta có công thức: Tính tốc độ dòng chảy của nước ở đáy sông, biết tốc độ dòng chảy của nước ở bề mặt sông là
Câu 2. Hàng ngày, hai anh em An và Bình cùng đi bộ từ nhà ở vị trí đến trường. Trường của anh An ở vị trí và trường của em Bình ở vị trí theo hai hướng vuông góc với nhau (như hình vẽ). Anh An đi với tốc độ và đến trường sau 15 phút. Em Bình đi với tốc độ và đến trường sau 12 phút. Tính khoảng cách giữa hai trường (làm tròn kết quả đến hàng phần trăm của mét).
Câu 3. Sóng thần (Tsunami) là một loạt các đợt sóng tạo nên khi một thể tích lớn của nước đại dương bị dịch chuyển chớp nhoáng trên một quy mô lớn. Động đất cùng những dịch chuyển địa chất lớn bên trên hoặc bên dưới mặt nước, núi lửa phun và va chạm thiên thạch đều có khả năng gây ra sóng thần. Cơn sóng thần khởi phát từ dưới đáy biển sâu, khi còn ngoài xa khơi, sóng có biên độ (chiều cao sóng) khá nhỏ nhưng chiều dài của cơn sóng lên đến hàng trăm kilomet. Con sóng đi qua đại dương với tốc độ trung bình 500 dặm một giờ. Khi tiến tới đất liền, đáy biển trở nên nông, con sóng không còn dịch chuyển nhanh được nữa, vì thế nó bắt đầu "dựng đứng lên" có thể đạt chiều cao một tòa nhà sáu tầng hay hơn nữa và tàn phá khủng khiếp.
Tốc độ của con sóng thần và chiều sâu của đại dương liên hệ bởi công thức:
Trong đó, là chiều sâu đại dương tính bằng
là vận tốc của sóng thần tính bằng ;
là gia tốc trọng trường.
Susan Kieffer, một chuyên gia về cơ học chất lỏng địa chất của Đại học Illinois tại Mỹ, đã nghiên cứu năng lượng của trận sóng thần Tohoku 2011 tại Nhật Bản. Những tính toán của Kieffer cho thấy tốc độ sóng thần xấp xỉ . Hãy tính độ sâu của đại dương nơi xuất phát con sóng thần này.
-------------------
Đáp án
................................
................................
................................
Xem thêm đề kiểm tra Toán lớp 9 Kết nối tri thức có đáp án hay khác:
Xem thêm các tài liệu học tốt lớp 9 hay khác:
- Giải sgk Toán 9 Kết nối tri thức
- Giải SBT Toán 9 Kết nối tri thức
- Giải lớp 9 Kết nối tri thức (các môn học)
- Giải lớp 9 Chân trời sáng tạo (các môn học)
- Giải lớp 9 Cánh diều (các môn học)
Tủ sách VIETJACK luyện thi vào 10 cho 2k11 (2026):
Đã có app VietJack trên điện thoại, giải bài tập SGK, SBT Soạn văn, Văn mẫu, Thi online, Bài giảng....miễn phí. Tải ngay ứng dụng trên Android và iOS.
Theo dõi chúng tôi miễn phí trên mạng xã hội facebook và youtube:Loạt bài Giải sgk Toán 9 Tập 1 & Tập 2 của chúng tôi được biên soạn bám sát nội dung sgk Toán 9 Kết nối tri thức (NXB Giáo dục).
Nếu thấy hay, hãy động viên và chia sẻ nhé! Các bình luận không phù hợp với nội quy bình luận trang web sẽ bị cấm bình luận vĩnh viễn.
- Soạn văn 9 (hay nhất) - KNTT
- Soạn văn 9 (ngắn nhất) - KNTT
- Giải sgk Toán 9 - KNTT
- Giải Tiếng Anh 9 Global Success
- Giải sgk Tiếng Anh 9 Smart World
- Giải sgk Tiếng Anh 9 Friends plus
- Giải sgk Khoa học tự nhiên 9 - KNTT
- Giải sgk Lịch Sử 9 - KNTT
- Giải sgk Địa Lí 9 - KNTT
- Giải sgk Giáo dục công dân 9 - KNTT
- Giải sgk Tin học 9 - KNTT
- Giải sgk Công nghệ 9 - KNTT
- Giải sgk Hoạt động trải nghiệm 9 - KNTT
- Giải sgk Âm nhạc 9 - KNTT
- Giải sgk Mĩ thuật 9 - KNTT


Giải bài tập SGK & SBT
Tài liệu giáo viên
Sách
Khóa học
Thi online
Hỏi đáp

