Giải Toán 10 trang 89 Tập 1 Kết nối tri thức
Với Giải Toán 10 trang 89 Tập 1 trong Bài tập cuối chương V Toán 10 Kết nối tri thức hay nhất, chi tiết sẽ giúp học sinh lớp 10 dễ dàng làm bài tập Toán 10 trang 89.
Giải Toán 10 trang 89 Tập 1 Kết nối tri thức
Bài 5.17 trang 89 Toán 10 Tập 1: Khi cân một bao gạo bằng một cân treo với thang chia 0,2kg thì độ chính xác d là:
A. 0,1 kg.
B. 0,2kg.
C. 0,3 kg.
D. 0,4kg.
Lời giải:
Trong các phép đo, độ chính xác d của số gần đúng bằng một nửa đơn vị của thước đo.
Do đó, cân treo có thang chia 0,2 kg thì độ chính xác d = 0,2 : 2 = 0,1 (kg).
Vậy độ chính xác d = 0,1 kg.
Chọn A.
Bài 5.18 trang 89 Toán 10 Tập 1: Trong hai mẫu số liệu, mẫu nào có phương sai lớn hơn thì có độ lệch chuẩn lớn hơn là đúng hay sai?
A. Đúng
B. Sai
Lời giải:
Ta có .
Do đó phương sai lớn hơn thì độ lệch chuẩn lớn hơn là đúng.
Chọn A.
Bài 5.19 trang 89 Toán 10 Tập 1: Có 25% giá trị của mẫu số liệu nằm giữa Q1 và Q3, đúng hay sai?
A. Đúng.
B. Sai.
Lời giải:
Ta có giá trị Q2 chia mẫu số liệu thành hai phần bằng nhau, giữa Q1 và Q2 là nửa của nửa số liệu bên trái, giữa Q3 và Q2 là nửa của nửa số liệu bên phải
Do đó có 50% giá trị của số liệu nằm nữa hai giá trị Q1 và Q3.
Vì vậy phát biểu đã cho là sai.
Chọn B.
Bài 5.20 trang 89 Toán 10 Tập 1: Số đặc trưng nào sau đây đo độ phân tán của mẫu số liệu?
A. Số trung bình.
B. Mốt.
C. Trung vị.
D. Độ lệch chuẩn.
Lời giải:
Độ lệch chuẩn đặc trưng cho độ phân tán của mẫu số liệu.
Chọn D.
Bài 5.21 trang 89 Toán 10 Tập 1: Điểm trung bình môn học kì I một số môn học của An là: 8; 9; 7; 6; 5; 7; 3. Nếu An được cộng thêm mỗi môn 0,5 điểm chuyên cần thì các số đặc trưng nào sau đây của mẫu số liệu không thay đổi?
Lời giải:
Điểm trung bình môn học kì I của bạn An theo thứ tự không giảm là:
3; 5; 6; 7; 7; 8; 9.
Số trung bình của mẫu số liệu là:
Vì n = 7 là số lẻ nên trung vị là Q2 = 7.
Nửa số liệu bên trái có tứ phân vị thứ nhất là Q1 = 5.
Nửa số liệu bên phải có tứ phân vị thứ ba là Q3 = 8.
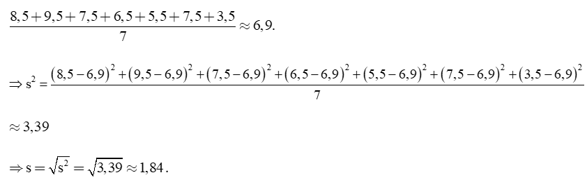
Điểm trung bình môn học kì I của bạn An sau khi thêm 0,5 điểm mỗi môn là:
3,5; 5,5; 6,5; 7,5; 7,5; 8,5; 9,5.
Số trung bình của mẫu số liệu là:
Vì n = 7 là số lẻ nên trung vị là Q2 = 7,5.
Nửa số liệu bên trái có tứ phân vị thứ nhất là Q1 = 5,5.
Nửa số liệu bên phải có tứ phân vị thứ ba là Q3 = 8,5.
Nếu An được cộng thêm mỗi môn 0,5 điểm thì số trung bình, trung bình và tứ phân vị cộng thêm 0,5. Còn độ lệch chuẩn không thay đổi.
Chọn C
Bài 5.22 trang 89 Toán 10 Tập 1: Lương khởi điểm của 5 sinh viên vừa tốt nghiệp tại một trường học (đơn vị: triệu đồng) là:
3,5 9,2 9,2 9,5 10,5.
a) Giải thích tại sao nên dùng trung vị để thể hiện mức lương khởi điểm của sinh viên tốt nghiệp từ trường đại học này.
b) Nên dùng khoảng biến thiên hay khoảng tứ phân vị để đo độ phân tán.
Lời giải:
a) Trong mẫu số liệu đã cho có 3,5 là giá trị bất thường nên giá trị trung bình bị ảnh hưởng. Do đó ta sẽ dùng số trung vị để thể hiện mức lương khởi điểm của sinh viên tốt nghiệp trường này.
b) Vì trong mẫu số liệu đã cho có 3,5 là giá trị bất thường và giá trị này là giá trị nhỏ nhất của mẫu số liệu. Do đó sẽ ảnh hưởng đến giá trị của khoảng biến thiên. Chính vì thế ta nên dùng khoảng tứ phân vị để đo độ phân tán của số liệu.
Bài 5.23 trang 89 Toán 10 Tập 1: Điểm Toán và Tiếng Anh của 11 học sinh lớp 10 được cho trong bảng sau:
Hãy so sánh mức độ học đều của học sinh môn Tiếng Anh và môn Toán thông qua các số đặc trưng: khoảng biến thiên, khoảng tứ phân vị, độ lệch chuẩn.
Lời giải:
+) Điểm môn Toán của 11 bạn học sinh lớp 10 xếp theo thứ tự không giảm là:
5; 31; 37; 43; 43; 57; 62; 63; 78; 80; 91.
Số trung bình cộng điểm Toán
Ta có giá trị lớn nhất của mẫu số liệu là 91 và giá trị nhỏ nhất là 5. Khi đó khoảng biến thiên là: R = 91 – 5 = 86.
Vì n = 11 là số lẻ nên trung vị Q2 = 57.
Nửa bên trái trung vị có 5 giá trị nên tứ phân vị thứ nhất Q1 = 37.
Nửa bên phải trung vị có 5 giá trị nên tứ phân vị thứ ba Q3 = 78.
Suy ra khoảng tứ phân vị là: ΔQ = Q3 – Q1 = 78 – 37 = 41.
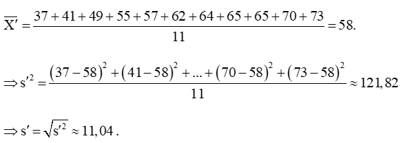
+) Điểm môn Tiếng Anh của 11 bạn học sinh lớp 10 xếp theo thứ tự không giảm là:
37; 41; 49; 55; 57; 62; 64; 65; 65; 70; 73.
Số trung bình cộng điểm Tiếng Anh
Ta có giá trị lớn nhất của mẫu số liệu là 73 và giá trị nhỏ nhất là 37. Khi đó khoảng biến thiên là: R' = 73 – 37 = 36.
Vì n = 11 là số lẻ nên trung vị Q'2 = 62.
Nửa bên trái trung vị có 5 giá trị nên tứ phân vị thứ nhất Q'1 = 49.
Nửa bên phải trung vị có 5 giá trị nên tứ phân vị thứ ba Q'3 = 65.
Suy ra khoảng tứ phân vị là: Δ'Q = Q'3 – Q'1 = 65 – 49 = 16.
Nhận xét
Vì 23,81 > 11,04 nên độ lệch chuẩn của mẫu số liệu điểm Toán lớn hơn độ lệch chuẩn của mẫu số liệu điểm Tiếng Anh. Do đó độ phân tán của số liệu điểm Toán là cao hơn số liệu điểm Tiếng Anh hay 11 bạn học sinh lớp 10 này học đều môn Tiếng Anh hơn môn Toán.
Vì 86 > 36 nên khoảng biến thiên của mẫu số liệu điểm Toán lớn hơn khoảng biến thiên của mẫu số liệu điểm Tiếng Anh. Do đó độ phân tán của số liệu điểm Toán là cao hơn số liệu điểm Tiếng Anh hay 11 bạn học sinh lớp 10 này học đều môn Tiếng Anh hơn môn Toán.
Vì 41 > 16 nên khoảng tứ phân vị của mẫu số liệu điểm Toán lớn hơn khoảng tứ phân vị của mẫu số liệu điểm Tiếng Anh. Do đó độ phân tán của số liệu điểm Toán là cao hơn số liệu điểm Tiếng Anh hay 11 bạn học sinh lớp 10 này học đều môn Tiếng Anh hơn môn Toán.
Lời giải bài tập Toán 10 Bài tập cuối chương V hay khác:
Xem thêm lời giải bài tập Toán lớp 10 Kết nối tri thức hay, chi tiết khác:
Xem thêm các tài liệu học tốt lớp 10 hay khác:
- Giải sgk Toán 10 Kết nối tri thức
- Giải Chuyên đề học tập Toán 10 Kết nối tri thức
- Giải SBT Toán 10 Kết nối tri thức
- Giải lớp 10 Kết nối tri thức (các môn học)
- Giải lớp 10 Chân trời sáng tạo (các môn học)
- Giải lớp 10 Cánh diều (các môn học)
Tủ sách VIETJACK shopee lớp 10-11 (cả 3 bộ sách):
Đã có app VietJack trên điện thoại, giải bài tập SGK, SBT Soạn văn, Văn mẫu, Thi online, Bài giảng....miễn phí. Tải ngay ứng dụng trên Android và iOS.
Theo dõi chúng tôi miễn phí trên mạng xã hội facebook và youtube:Nếu thấy hay, hãy động viên và chia sẻ nhé! Các bình luận không phù hợp với nội quy bình luận trang web sẽ bị cấm bình luận vĩnh viễn.
- Soạn văn 10 (hay nhất) - KNTT
- Soạn văn 10 (ngắn nhất) - KNTT
- Soạn văn 10 (siêu ngắn) - KNTT
- Giải sgk Toán 10 - KNTT
- Giải Tiếng Anh 10 Global Success
- Giải Tiếng Anh 10 Friends Global
- Giải sgk Tiếng Anh 10 iLearn Smart World
- Giải sgk Tiếng Anh 10 Explore New Worlds
- Giải sgk Vật lí 10 - KNTT
- Giải sgk Hóa học 10 - KNTT
- Giải sgk Sinh học 10 - KNTT
- Giải sgk Địa lí 10 - KNTT
- Giải sgk Lịch sử 10 - KNTT
- Giải sgk Kinh tế và Pháp luật 10 - KNTT
- Giải sgk Tin học 10 - KNTT
- Giải sgk Công nghệ 10 - KNTT
- Giải sgk Hoạt động trải nghiệm 10 - KNTT
- Giải sgk Giáo dục quốc phòng 10 - KNTT


Giải bài tập SGK & SBT
Tài liệu giáo viên
Sách
Khóa học
Thi online
Hỏi đáp

