Lý thuyết DNA và cơ chế tái bản DNA (Sinh 12 Kết nối tri thức Bài 1)
Với tóm tắt lý thuyết Sinh 12 Bài 1: DNA và cơ chế tái bản DNA hay nhất, ngắn gọn sẽ giúp học sinh lớp 12 nắm vững kiến thức trọng tâm, ôn luyện để học tốt môn Sinh học 12.
Lý thuyết DNA và cơ chế tái bản DNA (Sinh 12 Kết nối tri thức Bài 1)
I. CHỨC NĂNG CỦA DNA
• Chức năng: DNA có chức năng mang, bảo quản và truyền đạt thông tin di truyền dưới dạng trình tự các nucleotide.
• DNA có cấu tạo phù hợp với chức năng:
Mô hình cấu trúc DNA theo Watson và Crick
- Những đặc điểm cấu trúc của DNA đảm bảo cho nó thực hiện được chức năng mang thông tin di truyền: DNA được cấu trúc theo nguyên tắc đa phân, gồm 4 loại đơn phân là các nucleotide A, T, G, C. Từ 4 loại đơn phân này với thành phần, số lượng và trật tự sắp xếp khác nhau đã tạo nên vô số phân tử DNA đặc thù, đảm bảo có thể "ghi mã" đủ mọi thông tin di truyền về cấu trúc và chức năng của tế bào.
Các nucleotide cấu tạo nên DNA
- Những đặc điểm cấu trúc của DNA đảm bảo cho nó thực hiện được chức năng bảo quản thông tin di truyền:
+ DNA có cấu tạo mạch kép nên cấu trúc ổn định, ít bị sai hỏng.
+ DNA có cấu trúc mạch kép theo NTBS nên khi một mạch của DNA bị sai hỏng thì các enzyme của tế bào có thể sử dụng mạch bình thường để làm khuôn sửa chữa sai hỏng đó.
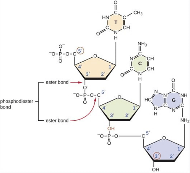
+ Liên kết phosphodiester giữa các nucleotide trong một mạch của DNA là loại liên kết cộng hóa trị rất bền vững.
Liên kết phosphodiester giữa các nucleotide trong một mạch của DNA
+ Liên kết hydrogene giữa các base trong hai mạch là loại liên kết yếu nhưng số lượng liên kết hydrogene trong DNA là rất lớn nên cũng đảm bảo duy trì cấu trúc phân tử DNA bền vững.
Liên kết hydrogene giữa các base của DNA
- Những đặc điểm cấu trúc của DNA đảm bảo cho nó thực hiện được chức năng truyền đạt thông tin di truyền:
+ Liên kết hydrogene giữa các base trong hai mạch là loại liên kết yếu nên có thể bị phá vỡ trong điều kiện nhất định giúp DNA có khả năng tách thành hai mạch đơn trong quá trình truyền đạt thông tin di truyền.
+ Các nucleotide có khả năng liên kết theo nguyên tắc bổ sung nên thông tin trong DNA có thể truyền đạt sang mRNA qua quá trình phiên mã và từ mRNA được dịch mã thành phân tử protein và biểu hiện thành các tính trạng của cơ thể.
+ Sự kết hợp đặc hiệu A – T và G – C trong quá trình tái bản DNA đảm bảo cho thông tin di truyền trong DNA được truyền đạt gần như nguyên vẹn qua các thế hệ tế bào và cơ thể.
II. TÁI BẢN DNA
- Tái bản DNA còn gọi là quá trình tự nhân đôi của phân tử DNA.
1. Nơi diễn ra
- Ở sinh vật nhân sơ: diễn ra ở tế bào chất (chủ yếu ở vùng nhân).
- Ở sinh vật nhân thực: diễn ra chủ yếu trong nhân, tại các NST hoặc cũng có thể diễn ra cả trong tế bào chất (ti thể, lục lạp).
2. Thời gian diễn ra
- Ở sinh vật nhân thực, quá trình tái bản DNA diễn ra ở kì trung gian (pha S) giữa hai lần phân bào.
3. Thành phần tham gia
- Phân tử DNA mẹ dùng làm khuôn để tái bản.
- Các nucleotide môi trường cung cấp (gồm 8 loại nucleotide: A, T, G, C của DNA dùng để tổng hợp mạch DNA mới; A, U, G, C của RNA để tổng hợp các đoạn mồi).
- Các enzyme tham gia có chức năng khác nhau:
Enzyme |
Chức năng |
Enzyme tháo xoắn |
Tháo xoắn phân tử DNA |
Enzyme tách mạch (enzyme cắt) |
Cắt đứt liên kết hydrogen, tách DNA thành 2 mạch đơn. |
Enzyme DNA polymerase |
Gắn các nucleotide theo nguyên tắc bổ sung để tổng hợp mạch mới theo chiều 5’ → 3’. |
Enzyme RNA polymerase |
Tổng hợp đoạn mồi RNA, tạo đầu – 3’ OH tự do. |
Enzyme ligase |
Nối các đoạn Okazaki tạo mạch DNA hoàn chỉnh. |
4. Nguyên tắc tái bản
Đối với DNA ở sinh vật nhân thực, sinh vật nhân sơ và những virus có lõi dạng sợi kép, quá trình tái bản DNA đều được thực hiện theo nguyên tắc bổ sung và nguyên tắc bán bảo toàn:
- Nguyên tắc bổ sung: Các nucleotide ở mạch khuôn liên kết với các nucleotide tự do trong môi trường nội bào theo nguyên tắc bổ sung: A = T, G ≡ C hay ngược lại.
- Nguyên tắc bán bảo toàn: Trong mỗi DNA con có 1 mạch của DNA mẹ và 1 mạch mới được tổng hợp.
5. Diễn biến
- Quá trình tái bản DNA được bắt đầu từ một điểm nhất định gọi là điểm khởi đầu sao chép (Ori) và tiến hành theo hai hướng ngược nhau tạo nên một đơn vị tái bản.
Điểm khởi đầu sao chép
- Quá trình tái bản DNA có thể chia thành hai giai đoạn: khởi đầu sao chép và tổng hợp mạch mới.
Quá trình tái bản DNA tại một chạc sao chép
• Khởi đầu sao chép
- Một số protein và enzyme liên kết vào Ori và tách DNA thành hai mạch đơn ở cả hai phía của điểm khởi đầu sao chép tạo nên chạc sao chép hình chữ Y.
- Enzyme RNA polymerase sử dụng mạch DNA làm khuôn tổng hợp nên đoạn RNA ngắn gọi là đoạn mồi, cung cấp đầu 3'–OH cho enzyme DNA polymerase tổng hợp mạch mới.
• Tổng hợp mạch DNA mới
- Tại mỗi chạc sao chép, các mạch DNA được tách thành hai mạch đơn đến đâu thì enzyme DNA polymerase tổng hợp mạch mới đến đó. Mạch mới được kéo dài bằng cách gắn thêm nucleotide vào đầu 3' của đoạn RNA mồi theo NTBS A – T, G – C với mạch khuôn.
- Vì DNA được cấu tạo từ hai mạch ngược chiều nhau và DNA polymerase chỉ tổng hợp mạch mới theo cùng một chiều 5' → 3' nên một trong hai mạch mới được tổng hợp liên tục (mạch liên tục), trong khi mạch mới còn lại được tổng hợp thành từng đoạn ngắn gọi là Okazaki. Cụ thể:
+ Trên mạch khuôn có chiều 3’ → 5’ (mạch gốc): RNA polymerase tổng hợp 1 đoạn mồi RNA theo chiều 5’ → 3’, cung cấp đầu 3’ – OH để enzyme DNA polymerase tiếp tục tổng hợp mạch mới theo chiều 5’ → 3’, liên tục cùng chiều tháo xoắn → Sợi dẫn đầu.
+ Trên mạch khuôn có chiều 5’ → 3’ (mạch bổ sung): mạch mới được tổng hợp gián đoạn, ngược chiều tháo xoắn với đoạn mồi riêng tạo thành từng đoạn ngắn Okazaki. Sau khi các đoạn Okazaki được tổng hợp, enzyme DNA polymerase tiến hành loại bỏ đoạn mồi và tổng hợp đoạn DNA thay thế. Tiếp đến, một loại enzyme ligase nối gắn các đoạn Okazaki lại với nhau.
- Sự khác nhau trong quá trình tái bản DNA ở sinh vật nhân sơ và sinh vật nhân thực:
+ Ở sinh vật nhân sơ, mỗi phân tử DNA chỉ có một điểm khởi đầu sao chép duy nhất, trong khi ở sinh vật nhân thực có nhiều điểm khởi đầu sao chép nên quá trình tái bản xảy ra đồng thời tại nhiều vùng trên một phân tử DNA.
Sự khác nhau trong tái bản DNA ở sinh vật nhân sơ và nhân thực
+ Sinh vật nhân thực có nhiều loại DNA polymerase hơn so với sinh vật nhân sơ.
6. Kết quả
- Kết thúc quá trình tái bản nếu không xảy ra sai sót, từ một phân tử DNA tạo ra hai phân tử mới giống nhau và giống với phân tử DNA mẹ, mỗi phân tử có một mạch cũ và một mạch mới (nguyên tắc bán bảo toàn).
7. Ý nghĩa
- Sau quá trình tái bản, nhờ sự phân bào, mỗi DNA đi về một tế bào con → Tái bản DNA là quá trình tự sao thông tin di truyền, nhờ đó thông tin di truyền được truyền đạt gần như nguyên vẹn qua các thế hệ tế bào và thế hệ cơ thể (đối với loài sinh sản vô tính).
* Ứng dụng thực tế của cơ chế tái bản DNA: Phương pháp tái bản DNA có thể được tiến hành trong ống nghiệm và đem lại nhiều ứng dụng thực tiễn. Ví dụ: Nhân bản DNA lấy từ mẫu vật để lại trên hiện trường vụ án, các nhà điều tra có thể truy tìm được thủ phạm cũng như xác định được danh tính nạn nhân; Việc tách chiết DNA từ vật nuôi bị bệnh rồi tái bản tạo ra một số lượng lớn bản sao đủ để tìm ra được tác nhân gây bệnh, qua đó đưa ra các biện pháp chữa trị cũng như phòng tránh bệnh. Tái bản DNA là kĩ thuật cần thiết cho giải trình tự gene và hệ gene cũng như cho công nghệ di truyền.
Kĩ thuật PCR
Xem thêm tóm tắt lý thuyết Sinh học lớp 12 Kết nối tri thức hay khác:
Xem thêm các tài liệu học tốt lớp 12 hay khác:
- Giải sgk Sinh học 12 Kết nối tri thức
- Giải Chuyên đề Sinh 12 Kết nối tri thức
- Giải SBT Sinh học 12 Kết nối tri thức
- Giải lớp 12 Kết nối tri thức (các môn học)
- Giải lớp 12 Chân trời sáng tạo (các môn học)
- Giải lớp 12 Cánh diều (các môn học)
Đã có app VietJack trên điện thoại, giải bài tập SGK, SBT Soạn văn, Văn mẫu, Thi online, Bài giảng....miễn phí. Tải ngay ứng dụng trên Android và iOS.
Theo dõi chúng tôi miễn phí trên mạng xã hội facebook và youtube:Nếu thấy hay, hãy động viên và chia sẻ nhé! Các bình luận không phù hợp với nội quy bình luận trang web sẽ bị cấm bình luận vĩnh viễn.
- Soạn văn 12 (hay nhất) - KNTT
- Soạn văn 12 (ngắn nhất) - KNTT
- Giải sgk Toán 12 - KNTT
- Giải Tiếng Anh 12 Global Success
- Giải sgk Tiếng Anh 12 Smart World
- Giải sgk Tiếng Anh 12 Friends Global
- Giải sgk Vật Lí 12 - KNTT
- Giải sgk Hóa học 12 - KNTT
- Giải sgk Sinh học 12 - KNTT
- Giải sgk Lịch Sử 12 - KNTT
- Giải sgk Địa Lí 12 - KNTT
- Giải sgk Giáo dục KTPL 12 - KNTT
- Giải sgk Tin học 12 - KNTT
- Giải sgk Công nghệ 12 - KNTT
- Giải sgk Hoạt động trải nghiệm 12 - KNTT
- Giải sgk Giáo dục quốc phòng 12 - KNTT
- Giải sgk Âm nhạc 12 - KNTT
- Giải sgk Mĩ thuật 12 - KNTT


Giải bài tập SGK & SBT
Tài liệu giáo viên
Sách
Khóa học
Thi online
Hỏi đáp

