200+ Trắc nghiệm Hoá dược 2 (có đáp án)
Tổng hợp trên 200 câu hỏi trắc nghiệm Hoá dược 2 có đáp án với các câu hỏi đa dạng, phong phú từ nhiều nguồn giúp sinh viên ôn trắc nghiệm Hoá dược 2 đạt kết quả cao.
200+ Trắc nghiệm Hoá dược 2 (có đáp án)
Câu 1. Chất chủ vận nicotinic được sử dụng trong điều trị lâm sàng:
A. Trị nhược cơ
B. Trị liệt ruột sau phẫu thuật
C. Trị liệt bàng quang sau phẫu thuật
D. Giảm nhịp tim và lực co thắt của tim
Câu 2. Thuốc được sử dụng như chất chủ vận muscarin, có tên là:
A. Oxotremrine
B. Muscarin
C. Arecoline
D. Pilocarpine
Câu 3. Những sản phẩm tạo thành khi thủy phân Acetylcholine:
A. Ethanoic acid và ethylamine
B. Methanoic acid và choline
C. Ethanoic acid và choline
D. Ethanoic acid, ethanol và ammonia
Câu 4. Acetylcholin bị bất hoạt bởi enzym Acetylcholinesterase bởi phản ứng:
A. Thủy phân ester
B. Khử
C. Oxy hóa
D. Loại methyl trên N
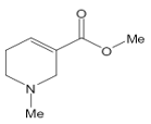
Câu 5. Hợp chất tự nhiên:
A. Cấu trúc A
B. Cấu trúc B
C. Cấu trúc C
D. Cấu trúc D
Câu 6. Tên các enzym liên quan đến sự tổng hợp acetylcholine?
A. Acetylcholinesterase
B. Choline acetyltransferase
C. Acetylcholine synthase
D. Acetylcholine ligase
Câu 7. Phát biểu đúng khi sử dụng acetylcholin làm thuốc?
A. Acetylcholin dễ tổng hợp
B. Acetylcholin có tác động chọn lọc trên các thụ thể cholinergic
C. Acetylcholin có thể dùng uống
D. Acetylcholin bền với esterase trong mô và huyết tương
Câu 8. Cấu trúc sau là chất chủ vận cholinergic, vai trò của nhóm methyl:
A. Nhóm dễ bị chuyển hóa
B. Nhóm gắn trên thụ thể gây tác động
C. Nhóm giúp tác động chọn lọc hơn
D. Nhóm có vai trò khác
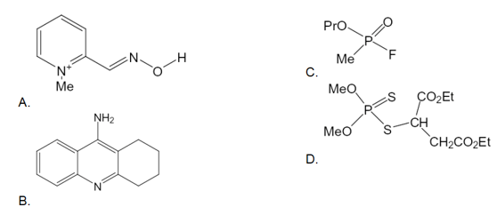
Câu 9. Chất sau có nguồn gốc tự nhiên có tác dụng ức chế enzym Acetylcholinesterase, nguồn gốc tự nhiên của nó:
A. Calabar bean
B. Coca bush
C. Ourari
D. Opium
Câu 10. Nhóm chức nào phản ứng với serin tại vùng xúc tác tạo chất trung gian bền hơn đối với sự thủy giải:
A. Nhóm urethane (hay carbamat)
B. Vòng thơm
C. Anilino nitrogen
D. Pyrrolidine nitrogen
Câu 11. Cho các chất tương đồng với physotigmin (C). B khó bị thủy phân hơn A, nhóm chức nào liên quan:
A. Nhóm urethane (hay carbamat)
B. Nhóm dimethylamin
C. Vòng thơm
D. Ion amonium bậc 4
Câu 12. B không ảnh hưởng trên CNS như A. Nhóm chức nào liên quan:
A. Nhóm urethane (hay carbamat)
B. Nhóm dimethylamin
C. Vòng thơm
D. Ion amonium bậc 4
Câu 13. Mục tiêu của các chất trên:
A. Acetylcholinesterase enzym
B. Muscarinic receptor
C. Nicotinic receptor
D. Choline acetyltransferase
Câu 14. Chất nào diệt côn trùng:
A. Cấu trúc A
B. Cấu trúc B
C. Cấu trúc C
D. Cấu trúc D
Câu 15. Tên cấu trúc giải độc phosphat hữu cơ:
A. Cấu trúc A
B. Cấu trúc B
C. Cấu trúc C
D. Cấu trúc D
Câu 16. Tên cấu trúc này:
A. Tubocurarine
B. Curate
C. Suxamethonium
D. Pancuronium
Câu 17. Loại hoạt tính của nó:
A. Muscarinic agonist
B. Muscarinic antagonist
C. Nicotinic agonist
D. Nicotinic antagonist
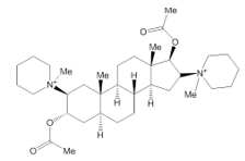
Câu 18. Paracuronium được sử dụng như chất chẹn thần kinh cơ, vai trò chính của khung steroid:
A. Nhóm kị nước giúp thuốc qua màng tế bào
B. Tương tác với vùng kị nước của thụ thể cholinergic
C. Giữ khoảng cách nhất định giữa 2N bậc 4
D. Ảnh hưởng không gian bảo vệ nhóm chức ester
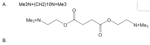
Câu 19. Những cấu trúc sau là những thuốc ức chế thần kinh cơ.
Giải thích: Cấu trúc B là từ A và có 2 gốc ester liên kết với nhau. Lý do?
A. Tăng liên kết Hydro để gắn kết thụ thể
B. Tăng tính phân cực thuốc
C. Để chuyển cấu dạng phân tử
D. Để có tác động nhanh
Câu 20. Cấu trúc nào không phải đối vận muscarinic:
A. Cấu trúc A
B. Cấu trúc B
C. Cấu trúc C
D. Cấu trúc D
Câu 21. Cho cấu trúc sau là dẫn chất của Physotigmine, neostigmine không tác dụng thần kinh trung ương như Rivastigmine, nhóm chức nào liên quan:
A. Nhóm urethane (hay carbamat)
B. Nhóm dimethylamin
C. Vòng thơm
D. Ion amonium bậc 4
Câu 22. Cấu trúc nào là chất ức chế enzym Acetylcholinesterase. Loại hợp chất này:
A. Diệt côn trùng
B. Khí độc thần kinh
C. Là “smart drug”
D. Trị Glaucoma
Câu 23. Ecothiopate được sử dụng làm dược phẩm, trị:
A. Nhược cơ
B. Bệnh Alzheimer
C. Glaucoma
D. Chẹn thần kinh cơ
Câu 24. Tacrine thuộc loại:
A. Cholinergic agonist
B. Cholinergic antagonist
C. Chất ức chế enzym acetylcholinesterase
D. Chất ức chế enzym choline transferase
................................
................................
................................
Xem thêm câu hỏi trắc nghiệm các môn học Đại học có đáp án hay khác:
Sách VietJack thi THPT quốc gia 2025 cho học sinh 2k7:
- Soạn văn 12 (hay nhất) - KNTT
- Soạn văn 12 (ngắn nhất) - KNTT
- Giải sgk Toán 12 - KNTT
- Giải Tiếng Anh 12 Global Success
- Giải sgk Tiếng Anh 12 Smart World
- Giải sgk Tiếng Anh 12 Friends Global
- Giải sgk Vật Lí 12 - KNTT
- Giải sgk Hóa học 12 - KNTT
- Giải sgk Sinh học 12 - KNTT
- Giải sgk Lịch Sử 12 - KNTT
- Giải sgk Địa Lí 12 - KNTT
- Giải sgk Giáo dục KTPL 12 - KNTT
- Giải sgk Tin học 12 - KNTT
- Giải sgk Công nghệ 12 - KNTT
- Giải sgk Hoạt động trải nghiệm 12 - KNTT
- Giải sgk Giáo dục quốc phòng 12 - KNTT
- Giải sgk Âm nhạc 12 - KNTT
- Giải sgk Mĩ thuật 12 - KNTT
Giải bài tập SGK & SBT
Tài liệu giáo viên
Sách
Khóa học
Thi online
Hỏi đáp



