Đề cương ôn tập Học kì 2 Toán lớp 4 Kết nối tri thức
Bộ đề cương ôn tập Học kì 2 Toán lớp 4 Kết nối tri thức với bài tập trắc nghiệm, tự luận đa dạng có lời giải chi tiết giúp học sinh nắm vững kiến thức cần ôn tập để đạt điểm cao trong bài thi Toán lớp 4 Học kì 2.
Đề cương ôn tập Học kì 2 Toán lớp 4 Kết nối tri thức
Chỉ từ 80k mua trọn bộ đề cương ôn tập Học kì 2 Toán lớp 4 Kết nối tri thức theo cấu trúc mới bản word có lời giải chi tiết, trình bày đẹp mắt, dễ dàng chỉnh sửa:
- B1: gửi phí vào tk:
1133836868- CT TNHH DAU TU VA DV GD VIETJACK - Ngân hàng MB (QR) - B2: Nhắn tin tới Zalo VietJack Official - nhấn vào đây để thông báo và nhận đề thi
Đề thi Học kì 2 Toán lớp 4 Kết nối tri thức (Giáo viên VietJack)
Đề cương ôn tập Toán lớp 4 Học kì 2 Kết nối tri thức gồm hai phần: phạm vi kiến thức ôn tập, các dạng bài tập (bài tập trắc nghiệm, bài tập tự luận), trong đó:
- 30 bài tập trắc nghiệm;
- 30 bài tập tự luận;
I. PHẠM VI KIẾN THỨC ÔN TẬP
Chương 1. Số và phép tính
1. Đọc, viết, so sánh, làm tròn số tự nhiên
2. Phép cộng, phép trừ, phép nhân, phép chia số tự nhiên
3. Phân số, rút gọn phân số, quy đồng mẫu số các phân số và so sánh phân số
4. Phép cộng, phép trừ, phép nhân, phép chia phân số
Chủ đề 2. Hình học
5. Góc nhọn, góc tù, góc bẹt
6. Hai đường thẳng vuông góc, hai đường thẳng song song
7. Hình bình hành, hình thoi
Chủ đề 3. Đo lường
8. Yến, tạ, tấn
9. Giây, thế kỉ
10. Đề-xi-mét vuông, mét vuông, mi-li-mét vuông
Chủ đề 4. Thống kê và xác suất
11. Dãy số liệu thống kê
12. Biểu đồ cột
13. Số lần xuất hiện của một sự kiện
Chủ đề 5. Bài toán có lời văn
14. Bài toán liên quan đến rút về đơn vị
15. Bài toán về tìm số trung bình cộng
16. Bài toán tìm hai số khi biết tổng và hiệu của hai số đó
II. CÁC DẠNG BÀI TẬP
Phần I. Trắc nghiệm
Câu 1. Số “Năm trăm sáu mươi mốt triệu bảy trăm linh chín nghìn” được viết là:
A. 561 709 000
B. 561 790 000
C. 56 179
D. 561 709
Câu 2. Làm tròn số 541 236 781 đến chữ số hàng trăm nghìn là:
A. 541 230 000
B. 541 300 000
C. 541 200 000
D. 541 240 000
Câu 3. Số gồm 4 chục triệu, 7 trăm nghìn, 2 chục nghìn, 1 trăm, 9 chục, 5 đơn vị được viết là:
A. 472 195
B. 4 720 195
C. 40 720 195
D. 4 721 095
Câu 4.
5 tấn = … yến
Số thích hợp điền vào chỗ chấm là:
A. 5 000
B. 50
C. 500
D. 505
Câu 5.
3 dm2 41 mm2 = … mm2
Số thích hợp điền vào chỗ chấm là:
A. 341
B. 30 041
C. 3 041
D. 34 100
Câu 6. “1 giờ = … giây”.Số thích hợp điền vào chỗ chấm là:
A. 60
B. 600
C. 3 600
D. 3 636
Câu 7. “Góc bẹt bằng .. góc vuông”. Số thích hợp điền vào chỗ chấm là:
A. 2
B. 3
C. 90
D. 180
Câu 8. Hình nào dưới đây là hình thoi?
A.
B.
C.
D.
Câu 9. Phân số nào dưới đây là phân số tối giản?
A.
B.
C.
D.
Câu 10. Phân số nào dưới đây lớn hơn 1?
A.
B.
C.
D.
................................
................................
................................
Phần II. Tự luận
Dạng 1. Đọc, viết, so sánh, làm tròn số tự nhiên
Câu 1. Cho các số: 15 462, 31 601, 9 568, 164 277, 314 297, 54 187, 78 024, 213 670
a) Đọc các số đã cho
b) Làm tròn các số đã cho đến hàng nghìn
c) Sắp xếp các số đã cho theo thứ tự từ lớn đến bé
d) Tìm các số nhỏ hơn 72 564
…………………………………………………………………………………………………………
…………………………………………………………………………………………………………
…………………………………………………………………………………………………………
…………………………………………………………………………………………………………
Câu 2. Sắp xếp các số sau theo thứ tự từ bé đến lớn
a) 5 648, 6 124, 4 130, 985, 1 678, 2 015
b) 12 450, 32 056, 9 567, 40 555, 25 490, 8 603
c) 15 487, 62 398, 29 567, 39 784, 61 794, 48 631
d) 8 905, 6 780, 7 994, 5 367, 4 902, 978
…………………………………………………………………………………………………………
…………………………………………………………………………………………………………
…………………………………………………………………………………………………………
…………………………………………………………………………………………………………
Dạng 2. Phép cộng, phép trừ, phép nhân, phép chia số tự nhiên
Câu 3. Đặt tính rồi tính
…………………………………………………………………………………………………………
…………………………………………………………………………………………………………
…………………………………………………………………………………………………………
…………………………………………………………………………………………………………
…………………………………………………………………………………………………………
…………………………………………………………………………………………………………
…………………………………………………………………………………………………………
…………………………………………………………………………………………………………
Câu 4. Điền số thích hợp vào chỗ chấm
Dạng 3. Phân số, rút gọn phân số, quy đồng mẫu số các phân số và so sánh phân số
Câu 5. Rút gọn rồi quy đồng mẫu số các phân số
…………………………………………………………………………………………………………
…………………………………………………………………………………………………………
…………………………………………………………………………………………………………
…………………………………………………………………………………………………………
…………………………………………………………………………………………………………
…………………………………………………………………………………………………………
…………………………………………………………………………………………………………
…………………………………………………………………………………………………………
Câu 6. Cho các phân số:
a) Rút gọn các phân số thành phân số tối giản
b) Sắp xếp các phân số đã cho theo thứ tự từ bé đến lớn
…………………………………………………………………………………………………………
…………………………………………………………………………………………………………
…………………………………………………………………………………………………………
…………………………………………………………………………………………………………
…………………………………………………………………………………………………………
…………………………………………………………………………………………………………
…………………………………………………………………………………………………………
…………………………………………………………………………………………………………
Dạng 4. Phép cộng, phép trừ, phép nhân, phép chia phân số
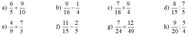
Câu 7. Tính
…………………………………………………………………………………………………………
…………………………………………………………………………………………………………
…………………………………………………………………………………………………………
…………………………………………………………………………………………………………
…………………………………………………………………………………………………………
…………………………………………………………………………………………………………
…………………………………………………………………………………………………………
…………………………………………………………………………………………………………
Câu 8. Điền phân số thích hợp vào chỗ chấm
................................
................................
................................
Xem thêm Đề cương ôn tập Toán lớp 4 Kết nối tri thức hay khác:
Đã có app VietJack trên điện thoại, giải bài tập SGK, SBT Soạn văn, Văn mẫu, Thi online, Bài giảng....miễn phí. Tải ngay ứng dụng trên Android và iOS.
Theo dõi chúng tôi miễn phí trên mạng xã hội facebook và youtube:Loạt bài Đề thi lớp 4 các môn học có đáp án của chúng tôi được biên soạn bám sát nội dung chương trình sgk các môn học lớp 4.
Nếu thấy hay, hãy động viên và chia sẻ nhé! Các bình luận không phù hợp với nội quy bình luận trang web sẽ bị cấm bình luận vĩnh viễn.
- Giáo án lớp 4 (các môn học)
- Giáo án điện tử lớp 4 (các môn học)
- Giáo án Toán lớp 4
- Giáo án Tiếng Việt lớp 4
- Giáo án Tiếng Anh lớp 4
- Giáo án Khoa học lớp 4
- Giáo án Lịch sử và Địa lí lớp 4
- Giáo án Đạo đức lớp 4
- Giáo án Công nghệ lớp 4
- Giáo án Hoạt động trải nghiệm lớp 4
- Giáo án Tin học lớp 4
- Đề thi lớp 4 (các môn học)
- Bộ đề thi Tiếng Việt lớp 4 (có đáp án)
- Bài tập cuối tuần Tiếng Việt lớp 4 có đáp án
- Bài tập Tiếng Việt lớp 4 (hàng ngày)
- Ôn hè Tiếng Việt lớp 4 lên lớp 5
- Bộ đề thi Toán lớp 4 (có đáp án)
- Toán Kangaroo cấp độ 2 (Lớp 3, 4)
- Bài tập cuối tuần Toán lớp 4 (có đáp án)
- Bài tập cuối tuần lớp 4 (có đáp án)
- 24 Chuyên đề Toán lớp 4 (nâng cao)
- Đề cương ôn tập Toán lớp 4
- Ôn hè Toán lớp 4 lên lớp 5
- Bộ đề thi Tiếng Anh lớp 4 (có đáp án)
- Bộ đề thi Lịch Sử & Địa Lí lớp 4 (có đáp án)
- Bộ đề thi Đạo Đức lớp 4 (có đáp án)
- Bộ đề thi Tin học lớp 4 (có đáp án)
- Đề thi Khoa học lớp 4
- Đề thi Công nghệ lớp 4


Giải bài tập SGK & SBT
Tài liệu giáo viên
Sách
Khóa học
Thi online
Hỏi đáp

