70+ Đề thi Toán 8 Giữa kì 2 năm 2026 (cấu trúc mới, có đáp án)
Trọn bộ 70 đề thi Toán 8 Giữa kì 2 theo cấu trúc mới sách mới Kết nối tri thức, Chân trời sáng tạo, Cánh diều có đáp án và ma trận sẽ giúp bạn ôn tập và đạt điểm cao trong bài thi Toán 8.
70+ Đề thi Toán 8 Giữa kì 2 năm 2026 (cấu trúc mới, có đáp án)
Xem thử Đề thi GK2 Toán 8 KNTT Xem thử Đề thi GK2 Toán 8 CTST Xem thử Đề thi GK2 Toán 8 CD
Chỉ từ 150k mua trọn bộ đề thi Toán 8 Giữa kì 2 theo cấu trúc mới bản word có lời giải chi tiết, dễ dàng chỉnh sửa:
- B1: gửi phí vào tk:
1133836868- CT TNHH DAU TU VA DV GD VIETJACK - Ngân hàng MB (QR) - B2: Nhắn tin tới Zalo VietJack Official - nhấn vào đây để thông báo và nhận đề thi
Đề thi Toán 8 Giữa kì 2 (Giáo viên VietJack)
Đề thi Giữa kì 2 Toán 8 cấu trúc mới (theo bộ sách)
Đề thi Giữa kì 2 Toán 8 năm 2025-2026 (cả nước)
Đề thi Giữa kì 2 Toán 8 năm 2025-2026 trường THCS Phước Bửu (TP HCM)
Đề thi Giữa kì 2 Toán 8 năm 2025-2026 trường THCS Võ Trường Toản (TP HCM)
Đề thi Giữa kì 2 Toán 8 năm 2025-2026 trường THCS Hà Huy Tập (TP HCM)
Đề thi Giữa kì 2 Toán 8 năm 2025-2026 trường THCS Đồi Ngô (Bắc Ninh)
Đề thi Giữa kì 2 Toán 8 năm 2025-2026 trường THCS Trần Bích San (Ninh Bình)
Đề thi Giữa kì 2 Toán 8 năm 2025-2026 trường THCS Động Đạt I (Thái Nguyên)
Đề thi Giữa kì 2 Toán 8 năm 2025-2026 trường THCS Quế Thuận (Đà Nẵng)
Đề thi Giữa kì 2 Toán 8 năm 2025-2026 trường THCS Nguyên Khê (Hà Nội)
Đề thi Giữa kì 2 Toán 8 năm 2025-2026 trường THCS Phương Liệt (Hà Nội)
Đề thi Giữa kì 2 Toán 8 năm 2025-2026 trường THCS Văn Yên (Hà Nội)
Đề thi Giữa kì 2 Toán 8 năm 2025-2026 trường THCS Nghĩa Tân (Hà Nội)
Đề thi Giữa kì 2 Toán 8 năm 2025-2026 trường THCS Phan Chu Trinh (Hà Nội)
Đề thi Giữa kì 2 Toán 8 năm 2025-2026 trường THCS&THPT Lương Thế Vinh (Hà Nội)
Đề thi Giữa kì 2 Toán 8 năm 2025-2026 trường THCS Khương Thượng (Hà Nội)
Đề thi Giữa kì 2 Toán 8 năm 2025-2026 trường THCS Đặng Tấn Tài (TP HCM)
Đề thi Giữa kì 2 Toán 8 năm 2025-2026 trường THCS Phan Đình Giót (Hà Nội)
Đề thi Giữa kì 2 Toán 8 năm 2025-2026 trường THCS Nguyễn Công Trứ (Hà Nội)
Đề thi Giữa kì 2 Toán 8 năm 2025-2026 trường THCS Trưng Vương (Đà Nẵng)
Đề thi Giữa kì 2 Toán 8 năm 2024-2025 (cả nước)
Đề thi Giữa kì 2 Toán 8 năm 2024-2025 trường THCS Ngọc Lâm (Hà Nội)
Đề thi Giữa kì 2 Toán 8 năm 2024-2025 trường THCS Chương Dương (Hà Nội)
Đề thi Giữa kì 2 Toán 8 năm 2024-2025 trường THCS Lý Sơn (Hà Nội)
Đề thi Giữa kì 2 Toán 8 năm 2024-2025 trường THCS Phúc Đồng (Hà Nội)
Đề thi Giữa kì 2 Toán 8 năm 2024-2025 trường THCS Uy Nỗ (Hà Nội)
Đề thi Giữa kì 2 Toán 8 năm 2024-2025 trường THCS Ái Mộ (Hà Nội)
Đề thi Giữa kì 2 Toán 8 năm 2024-2025 trường THCS Thanh Mỹ (Hà Nội)
Đề thi Giữa kì 2 Toán 8 năm 2024-2025 trường Lương Thế Vinh (Hà Nội)
Đề thi Giữa kì 2 Toán 8 năm 2024-2025 trường THPT chuyên Hà Nội - Amsterdam
Đề thi Giữa kì 2 Toán 8 năm 2024-2025 trường THCS Cầu Giấy (Hà Nội)
Đề thi Giữa kì 2 Toán 8 năm 2024-2025 trường THCS Võ Trường Toản (Bà Rịa - Vũng Tàu)
Đề thi Giữa kì 2 Toán 8 năm 2024-2025 trường THCS Nguyễn Huệ (Bà Rịa - Vũng Tàu)
Đề thi Giữa kì 2 Toán 8 năm 2024-2025 trường THCS Phước Bửu (Bà Rịa - Vũng Tàu)
Đề thi Giữa kì 2 Toán 8 năm 2024-2025 trường THCS Trường Thạnh (Tp.HCM)
Đề thi Giữa kì 2 Toán 8 năm 2024-2025 trường THCS Lê Quý Đôn (Tp.HCM)
Đề thi Giữa kì 2 Toán 8 năm 2024-2025 phòng GD&ĐT Bình Thạnh (Tp.HCM)
Đề thi Giữa kì 2 Toán 8 năm 2024-2025 phòng GD&ĐT Quận 3 (Tp.HCM)
Đề thi Giữa kì 2 Toán 8 năm 2024-2025 trường THCS Quảng Hải (Thanh Hóa)
Đề thi Giữa kì 2 Toán 8 năm 2024-2025 trường THCS Hưng Bình (Nghệ An)
Đề thi Giữa kì 2 Toán 8 năm 2024-2025 trường THCS Nội Duệ (Bắc Ninh)
Đề thi Giữa kì 2 Toán 8 năm 2024-2025 phòng GD&ĐT Lương Tài (Bắc Ninh)
Đề thi Giữa kì 2 Toán 8 năm 2024-2025 phòng GD&ĐT thành phố Bắc Ninh
Đề thi Giữa kì 2 Toán 8 năm 2024-2025 phòng GD&ĐT Thuận Thành (Bắc Ninh)
Đề thi Giữa kì 2 Toán 8 năm 2024-2025 phòng GD&ĐT Xuân Trường (Nam Định)
Đề thi Giữa kì 2 Toán 8 năm 2024-2025 phòng GD&ĐT Giao Thủy (Nam Định)
Đề thi Giữa kì 2 Toán 8 năm 2024-2025 trường THCS Chu Văn An (Bình Dương)
Đề thi Giữa kì 2 Toán 8 năm 2024-2025 trường THCS&THPT Bác Ái (Ninh Thuận)
Đề thi Giữa kì 2 Toán 8 năm 2024-2025 trường THCS Nguyễn Trãi (Quảng Nam)
Đề thi Giữa kì 2 Toán 8 năm 2024-2025 trường TH&THCS Quất Lưu (Vĩnh Phúc)
Đề thi Giữa kì 2 Toán 8 năm 2024-2025 phòng GD&ĐT Mỹ Hào (Hưng Yên)
Lưu trữ: Đề thi Giữa kì 2 Toán 8 (các năm khác)
Đề thi Giữa kì 2 Toán 8 năm 2023-2024 trường THCS Cự Khối (Hà Nội)
Đề thi Giữa kì 2 Toán 8 năm 2023-2024 trường THCS Ngọc Lâm (Hà Nội)
Đề thi Giữa kì 2 Toán 8 năm 2023-2024 trường THCS Phúc Đồng (Hà Nội)
Đề thi Giữa kì 2 Toán 8 năm 2023-2024 trường THCS Chương Dương (Hà Nội)
Đề thi Giữa kì 2 Toán 8 năm 2023-2024 trường THCS Bát Tràng (Hà Nội)
Đề thi Giữa kì 2 Toán 8 năm 2023-2024 trường THCS Nguyễn Bỉnh Khiêm (Hà Nội)
Đề thi Giữa kì 2 Toán 8 năm 2023-2024 trường THCS Nguyễn Đức Lượng (Hà Nội)
Đề thi Giữa kì 2 Toán 8 năm 2023-2024 trường THCS Giảng Võ (Hà Nội)
Đề thi Giữa kì 2 Toán 8 năm 2023-2024 Trường THCS Chu Văn An (Hà Nội)
Đề thi Giữa kì 2 Toán 8 năm 2023-2024 trường THCS Thượng Cát (Hà Nội)
Đề thi Giữa kì 2 Toán 8 năm 2023-2024 trường THCS Nam Trung Yên (Hà Nội)
Đề thi Giữa kì 2 Toán 8 năm 2023-2024 phòng GD&ĐT Bình Thạnh TPHCM
Đề thi Giữa kì 2 Toán 8 năm 2023-2024 trường THCS Mỹ Thạnh (Bình Dương)
Đề thi Giữa kì 2 Toán 8 năm 2023-2024 trường THCS Võ Trường Toản (Bà Rịa - Vũng Tàu)
Đề thi Giữa kì 2 Toán 8 năm 2023-2024 trường THCS Hòa Hiệp (Bà Rịa - Vũng Tàu)
Đề thi Giữa kì 2 Toán 8 năm 2023-2024 trường THCS Hương Nha (Phú Thọ)
Đề thi Giữa kì 2 Toán 8 năm 2023-2024 trường THCS Trường Sơn (Hải Phòng)
Đề thi Giữa kì 2 Toán 8 năm 2023-2024 phòng GD&ĐT TP Hải Dương
Đề thi Giữa kì 2 Toán 8 năm 2023-2024 phòng GD&ĐT Thạch Hà (Hà Tĩnh)
Đề thi Giữa kì 2 Toán 8 năm 2023-2024 phòng GD&ĐT thành phố Bắc Giang
Đề thi Giữa kì 2 Toán 8 năm 2023-2024 phòng GD&ĐT Lục Nam Bắc Giang
Đề thi Giữa kì 2 Toán 8 năm 2023-2024 phòng GD&ĐT Hiệp Hòa Bắc Giang
Đề thi Giữa kì 2 Toán 8 năm 2023-2024 phòng GD&ĐT Tân Yên Bắc Giang
Đề thi Giữa kì 2 Toán 8 năm 2023-2024 trường THCS Song Mai (Bắc Giang)
Đề thi Giữa kì 2 Toán 8 năm 2023-2024 trường THCS Mai Lâm (Thanh Hóa)
Đề thi Giữa kì 2 Toán 8 năm 2023-2024 phòng GD&ĐT Nông Cống (Thanh Hóa)
Đề thi Giữa kì 2 Toán 8 năm 2023-2024 trường THCS&THPT Vàm Đình (Cà Mau)
Đề thi Giữa kì 2 Toán 8 năm 2023-2024 trường THCS Quỳnh Xuân (Nghệ An)
Đề thi Giữa kì 2 Toán 8 năm 2023-2024 trường Chu Văn An (Quảng Nam)
Đề thi Giữa kì 2 Toán 8 năm 2023-2024 trường Phan Bội Châu (Quảng Nam)
Đề thi Giữa kì 2 Toán 8 năm 2023-2024 trường THCS Phước An (Bình Định)
Đề thi Giữa kì 2 Toán 8 năm 2023-2024 trường THCS Tây Yên A (Kiên Giang)
Đề thi Giữa kì 2 Toán 8 theo Tỉnh
Xem thử Đề thi GK2 Toán 8 KNTT Xem thử Đề thi GK2 Toán 8 CTST Xem thử Đề thi GK2 Toán 8 CD
Phòng Giáo dục và Đào tạo ...
Đề thi Giữa kì 2 - Kết nối tri thức
Năm học ...
Môn: Toán 8
Thời gian làm bài: phút
(Đề số 1)
A. TRẮC NGHIỆM (7,0 điểm)
Phần 1. (3,0 điểm) Câu trắc nghiệm nhiều phương án lựa chọn
Trong mỗi câu hỏi từ câu 1 đến câu 12, hãy viết chữ cái in hoa đứng trước phương án đúng duy nhất vào bài làm.
Câu 1. Trong các biểu thức sau biểu thức nào là phân thức đại số?
A. .
B. .
C. .
D. .
Câu 2. Phân thức xác định khi
A. x = 3.
B. x ≠ 3.
C. x ≥ 3.
D. x ≤ 3.
Câu 3. Phân thức có phân thức đối là
A. .
B. .
C. .
D. .
Câu 4. Giả sử các biểu thức đều có nghĩa, kết quả của phép tính là
A. .
B. .
C. .
D. .
Câu 5. Phân thức là phân thức nghịch đảo của
A. .
B. .
C. .
D. .
Câu 6. Giả sử các biểu thức đều có nghĩa, kết quả của phép tính là
A. .
B. .
C. .
D. .
Câu 7. Trong các phương trình sau, phương trình nào không phải là phương trình bậc nhất một ẩn?
A. 0x + 2 = 0.
B. 2x + 1 = 0.
C. -2x = 0.
D. .
Câu 8. Phương trình có hạng tử tự do là
A. .
B.
C. 2.
D. .
Câu 9. Cho tam giác ABC đồng dạng với tam giác A'B'C'. Chọn khẳng định đúng trong các khẳng định dưới đây:
A. .
B. .
C. .
D. .
Câu 10. Cho tam giác MNP vuông tại P khi đó
A. .
B. .
C. .
D. .
Câu 11. Cho các mệnh đề sau:
(I). Nếu một góc nhọn của tam giác vuông này bằng một góc nhọn của tam giác vuông kia thì hai tam giác vuông ấy đồng dạng.
(II). Nếu một cạnh góc vuông của tam giác vuông này bằng một cạnh góc vuông của tam giác vuông kia thì hai tam giác vuông ấy đồng dạng.
Khẳng định nào dưới đây là đúng?
A. Chỉ có (I) đúng.
B. Chỉ có (II) đúng.
C. Cả (I) và (II) đúng.
D. Cả (I) và (II) sai.
Câu 12. Trong các hình dưới đây, hình nào đồng dạng với nhau?
A. Hình a) và hình b).
B. Hình a) và hình c).
C. Hình b) và hình c).
D. Cả ba hình.
Phần 2. (2,0 điểm) Câu trắc nghiệm đúng sai
Trong câu 13, 14, hãy chọn đúng hoặc sai cho mỗi ý a), b), c), d).
Câu 13. Năm nay tuổi bố gấp 10 lần tuổi Minh. Bố Minh tính rằng sau 24 năm nữa thì tuổi bố chỉ gấp 2 lần tuổi Minh. Gọi tuổi của Minh hiện nay là x (x ∈ ℕ).
☐ a) Sau 24 năm nữa tuổi của Minh là x + 24 (tuổi).
☐ b) Sau 24 năm nữa tuổi của bố Minh là 10x + 24 (tuổi).
☐ c) Sau 24 năm nữa thì tuổi bố chỉ gấp 2 lần tuổi Minh nên phương trình mô tả bài toán là: 10x + 24 = 2x + 24
☐ d) Tuổi của bố Minh hiện tại là 30 tuổi.
Câu 14. Cho tam giác ABC. Trên cạnh AB, AC lần lượt lấy các điểm E, D sao cho AC = 3AE và AD = AB. Gọi I là giao điểm của BD và EC. Biết rằng .
☐ a) .
☐ b) .
☐ c) .
☐ d) ID.IB = IE.IC.
Phần 3. (2,0 điểm) Câu hỏi trắc nghiệm trả lời ngắn
Trong các câu từ 15 đến 18, hãy viết câu trả lời/ đáp án vào bài làm mà không cần trình bày lời giải chi tiết.
Câu 15. Cho biểu thức (x ≠ 2; x ≠ -2). Tính giá trị của biểu thức A tạo x = 4. (Kết quả ghi dưới dạng số thập phân)
Câu 16. Cho biểu thức với x ≠ -2, x ≠ -1 và x ≠ 0. Hỏi có bao nhiêu giá trị nguyên của x thỏa mãn để M nhận giá trị nguyên?
Câu 17. Cho phương trình (m2 - 3m + 2)x = m - 2 với m là tham số. Hỏi giá trị của m bằng bao nhiêu để phương trình có vô số nghiệm?
Câu 18. Cho tam giác nhọn ABC có AB = 13 cm, AC = 15 cm. Kẻ AD ⊥ BD (D ∈ BC). Biết BD = 5 cm, hỏi cạnh BC có độ dài bao nhiêu centimet?
B. TỰ LUẬN (3,0 điểm)
Bài 1. (1,0 điểm) Một xe tải và một xe con cùng khởi hành từ tỉnh A đến tỉnh B. Xe tải đi với vận tốc 30 km/h, xe con đi với vận tốc 45 km/h. Sau khi đi được quãng đường AB, xe con tăng vận tốc 5 km/h trên quãng đường còn lại thì đến B sớm hơn xe tải là 2 giờ 27 phút. Tính quãng đường AB.
Bài 2. (1,5 điểm) Cho ∆ABC vuông tại A có AB = 6 cm, AC = 8 cm.
a) Tính độ dài cạnh BC.
b) Vẽ đường cao AH. Chứng minh rằng .
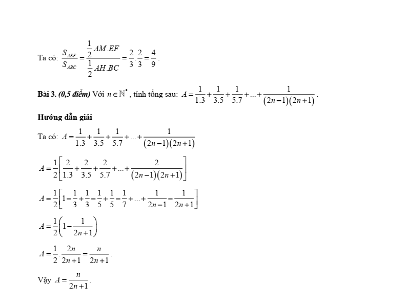
c) Trên cạnh AH lấy điểm M sao cho AM = 3,2 cm, từ điểm M kẻ đường thẳng d song song với BC lần lượt cắt AB, AC tại E, F. Tính .
Bài 3. (0,5 điểm) Với n ∈ ℕ*, tính tổng sau:
Phòng Giáo dục và Đào tạo ...
Đề thi Giữa kì 2 - Kết nối tri thức
Năm học ...
Môn: Toán 8
Thời gian làm bài: phút
PHẦN I. TRẮC NGHIỆM KHÁCH QUAN (2,0 điểm)
Hãy viết chữ cái in hoa đứng trước phương án đúng duy nhất trong mỗi câu sau vào bài làm.
Câu 1. Biểu thức nào sau đây không phải là phân thức?
A.
B.
C.
D.
Câu 2. Mẫu thức chung của các phân thức là
A.
B.
C.
D.
Câu 3. Phân thức đối của phân thức là
A.
B.
C.
D.
Câu 4. Phân thức nghịch đảo của phân thức là
A.
B.
C.
D.
Câu 5. Trong các phương trình sau, phương trình nào là phương trình bậc nhất 1 ẩn?
A.
B.
C.
D.
Câu 6. Nghiệm của phương trình là
A.
B.
C.
D.
Câu 7. Cho tam giác vuông tại và tam giác vuông tại Điều nào dưới đây không suy ra được
A.
B.
C.
D.
Câu 8. Tam giác vuông cân tại có độ dài cạnh lớn nhất bằng Độ dài cạnh là
A.
B.
C.
D.
PHẦN II. TỰ LUẬN (8,0 điểm)
Bài 1. (2,0 điểm) Cho biểu thức:
a) Tìm điều kiện xác định của biểu thức
b) Tìm để
c) Với giá trị nào của thì giá trị của biểu thức là số nguyên âm lớn nhất?
Bài 2. (1,0 điểm) Giải các phương trình sau:
a)
b)
Bài 3. (1,5 điểm) Giải bài toán sau bằng cách lập phương trình:
Năm nay tuổi bố gấp 10 lần tuổi của Minh. Bố Minh tính rằng sau 24 năm nữa thì tuổi của bố chỉ gấp 2 lần tuổi của Minh. Hỏi năm nay Minh bao nhiêu tuổi?
Bài 4. (3,0 điểm)
1) Người ta buộc chú cún bằng sợi dây có một đầu buộc cố định tại điểm làm cho chú cún cách điểm xa nhất là Hỏi với các kích thước đã cho như hình trên, chú cún có thể đến các vị trí để canh giữ mảnh vườn hình chữ nhật hay không?
2) Cho hình bình hành có Gọi lần lượt là hình chiếu vuông góc của trên đường thẳng và Vẽ tia cắt lần lượt tại Gọi là điểm đối xứng với qua . Chứng minh:
a)
b)
c)
d)
Bài 5. (0,5 điểm)
Cho là 2024 số thực thỏa mãn với
Tính tổng
-----HẾT-----
Phòng Giáo dục và Đào tạo ...
Đề thi Giữa kì 2 - Chân trời sáng tạo
Năm học ...
Môn: Toán 8
Thời gian làm bài: phút
PHẦN I. TRẮC NGHIỆM KHÁCH QUAN (3,0 điểm)
Hãy viết chữ cái in hoa đứng trước phương án đúng duy nhất trong mỗi câu sau vào bài làm.
Câu 1. Cho hàm số . Khẳng định nào sau đây là đúng?
A. f(-1) = -3.
B. f(1) = 1.
C. f(-1) = -1.
D. f(1) = 3.
Câu 2. Hàm số y = ax + b là hàm số bậc nhất khi
A. a = 0
B. a < 0
C. a > 0
D. a ≠ 0
Câu 3. Đồ thị của hai hàm số y = x + 2 và y = y + 1
A. cắt nhau.
B. trùng nhau.
C. song song với nhau.
D. Cả A, B, C đều sai.
|
Câu 4. Cho hình vẽ bên. Khẳng định nào sau đây là đúng về MN? A. là đường trung tuyến của ∆ABC. B. là đường trung bình của ∆ABC. C. là đường trung trực của ∆ABC. D. là đường phân giác của ∆ABC. |
||
|
Câu 5. Cho hình vẽ bên, biết DE // AC. Tỉ số nào sau đây là đúng? A. . B. . C. D. . |
||
Câu 6. Cho tam giác ABC có AB = 9 cm, AC = 6 cm. Vẽ AD là đường phân giác của góc A. Biết CD = 2 cm độ dài đoạn thẳng DB là
A. 1,5 cm
B. 3 cm
C. 4,5 cm
D. 6 cm
PHẦN II. TỰ LUẬN (7,0 điểm)
Bài 1. (1,5 điểm) Trong giờ thực hành thí nghiệm, một học sinh thả một miếng chì có khối lượng 0,31 kg đang ở nhiệt độ 100°C vào 0,25kg nước đang ở nhiệt độ 58,5°C. Biết nhiệt dung riêng của nước là 4 200 J/kg.K, nhiệt dung riêng của chì là 130 J/kg.K. gọi t°C là nhiệt độ khi đạt trạng thái cân bằng nhiệt, Qnuoc (J) là nhiệt lượng nước thu vào để tăng nhiệt độ từ 58,5°C lên t°C, Qnuoc (J) là nhiệt lượng chì tỏa ra để giảm nhiệt độ từ 100°C xuống t°C.
a) Biết công thức tính nhiệt lượng thu vào/ tỏa ra là: Q = m.c.∆t (J), trong đó m là khối lượng của vật (kg), c là nhiệt dung riêng của chất làm nên vật (J/kg.K) và ∆t = t2 - t1 là độ tăng/giảm nhiệt độ của vật (°C) với t1 là nhiệt độ ban đầu, t2 là nhiệt độ cuối cùng. Viết công thức tính Qchi và Qnuoc theo t.
b) Khi có sự cân bằng nhiệt thì nhiệt độ của nước và chì là bao nhiêu (làm tròn kết quả đến hàng đơn vị)?
Bài 2. (2,5 điểm) Cho hàm số y = (m - 1)x + m (m là tham số m ≠ 1) có đồ thị là đường thẳng (d).
a) Tìm m để (d): y = (m - 1)x + m song song với (d'): y = 2x - 3.
b) Vẽ (d) với m tìm được và vẽ (d') trên cùng mặt phẳng tọa độ Oxy.
c) Tìm m để đường thẳng (d): y = (m - 1)x + m và hai đường thẳng đồng quy.
Bài 3. (3,0 điểm)
1) Cho tam giác ABC có BC = 15 cm, CA = 18 cm và AB = 12 cm. Gọi I và G lần lượt là tâm đường tròn nội tiếp và trọng tâm ∆ABC.
a) Tính độ dài các đoạn thẳng CD và BD.
b) Chứng minh IG // BC.
c) Tính độ dài đoạn thẳng IG.
2) Vì kèo mái tôn là một trong những bộ phận không thể thiếu trong cấu tạo mái nhà lợp tôn. Nó giúp chống đỡ và giảm trọng lực của những ảnh hưởng từ các yếu tố bên ngoài tác động vào (Hình a).
|
Hình a |
Hình b |
Một vì kèo mái tôn được vẽ lại như Hình b. Tính độ dài x của cây chống đứng bên và độ dài y của cánh kèo.
-----HẾT-----
Phòng Giáo dục và Đào tạo ...
Đề thi Giữa kì 2 - Cánh diều
Năm học ...
Môn: Toán 8
Thời gian làm bài: phút
PHẦN I. TRẮC NGHIỆM KHÁCH QUAN (2,0 điểm)
Hãy viết chữ cái in hoa đứng trước phương án đúng duy nhất trong mỗi câu sau vào bài làm.
Câu 1. Dữ liệu nào sau đây em nên thu thập gián tiếp?
A. Dân số của Việt Nam từ năm 2000 đến năm 2023.
B. Số điện thoại của các học sinh tổ 1 của lớp 8A.
C. Thời gian tự học ngày thứ bảy tuần trước của các học sinh lớp 8A.
D. Chiều cao của các cây đậu xanh sau 5 ngày em gieo hạt.
Câu 2. Kết quả đánh giá mức độ hài lòng của khách hàng về chất lượng dịch vụ của một khách sạn: Hài lòng, Rất hài lòng, Bình thường, Không hài lòng. Hỏi dữ liệu trên là loại dữ liệu nào?
A. Dữ liệu không là số, có thể sắp thứ tự.
B. Dữ liệu không là số, không thể sắp thứ tự.
C. Số liệu rời rạc.
D. Số liệu liên tục.
Câu 3. Quan sát biểu đồ sau:
(Nguồn : Trung tâm Dự báo khí tượng thủy văn quốc gia)
Ngày nào sau đây chênh lệch giữa nhiệt độ cao nhất và nhiệt độ thấp nhất trong tuần của TP. Hồ Chí Minh là 9°C?
A. Thứ Năm.
B. Thứ Bảy.
C. Chủ nhật.
D. Thứ Hai.
Câu 4. Một túi đựng 16 quả bóng màu đỏ, 12 quả bóng màu xanh, 3 quả bóng màu vàng và 2 quả bóng màu tím. Lấy ngẫu nhiên một quả bóng từ túi. Biết kích thước, hình dạng và chất liệu làm các quả bóng là như nhau. Xác suất lấy được quả bóng màu xanh là
A. .
B. .
C. .
D. .
Câu 5. Đường trung bình của tam giác là đoạn thẳng đi qua
A. trung điểm một cạnh của tam giác đó.
B. trung điểm hai cạnh của tam giác đó.
C. hai đỉnh của tam giác đó.
D. một đỉnh và một trung điểm của cạnh đối diện của tam giác đó.
Câu 6. Cho tam giác MNP có . Điều kiện không kết luận được HK // NP là
A. .
B. .
C. .
D. .
Câu 7. Tam giác ABC có BM là tia phân giác của . Khẳng định nào sau đây là sai?
A. .
B. .
C. .
D. .
|
Câu 8. Cho hình vẽ bên. Biết DE = 13 cm, độ dài đoạn thẳng HE là A. 5,5 cm. B. 6,5 cm. C. 7 cm. D. 8 cm. |
|
PHẦN II. TỰ LUẬN (8,0 điểm)
Bài 1. (3,0 điểm) Biểu đồ hình quạt tròn biểu diễn kết quả thống kê (tính theo tỉ số phần trăm) các thị trường cung cấp cà phê cho Tây Ban Nha trong 7 tháng đầu năm 2022.
(Nguồn: Eurostat)
a) Trong 7 tháng đầu năm 2022 thị trường nào cung cấp cà phê cho Tây Ban Nha là nhiều nhất ? Ít nhất?
b) Biết lượng cà phê mà tất cả các thị trường cung cấp cho Tây Ban Nha trong 7 tháng đầu năm 2022 là 222 956 tấn.
i) Lập bảng thống kê lượng cà phê mà các thị trường cung cấp cà phê cho Tây Ban Nha trong 7 tháng đầu năm 2022 theo mẫu sau:
|
Thị trường |
Đức |
Brazil |
Bỉ |
Indonesia |
Việt Nam |
Khác |
|
Lượng cà phê (tấn) |
? |
? |
? |
? |
? |
? |
ii) Vẽ biểu đồ thích hợp biểu diễn dữ liệu cho bảng thống kê trên.
c) Lượng cà phê mà thị trường Việt Nam cung cấp cho Tây Ban Nha gấp mấy lần thị trường Đức (làm tròn kết quả đến chữ số thập phân thứ nhất)?
d) Một bài báo có nêu thông tin: “Thị trường Indonesia và Bỉ là hai thị trường cung cấp lượng cà phê ít nhất cho Tây Ban Nha trong 7 tháng đầu năm 2022; Việt Nam cung cấp cà phê cho Tây Ban Nha nhiều hơn 24,6% so với thị trường Indonesia”. Theo em bài báo nêu thông tin có chính xác không?
Bài 2. (1,5 điểm) Một túi đựng bút tô màu của bé Mai có 5 chiếc bút màu vàng, 3 chiếc bút màu cam, 4 chiếc bút màu xanh và 2 chiếc bút màu tím (các chiếc bút có cùng khối lượng và kích thước). Bé Mai lấy ngẫu nhiên một chiếc bút từ trong túi. Tính xác suất của các biến cố sau:
a) A: “Lấy được chiếc bút màu tím”;
b) B: “Lấy được chiếc bút màu cam hoặc màu xanh”;
c) C: “Không lấy được chiếc bút màu vàng”.
Bài 3. (3,5 điểm)
1) Cho tam giác ABC có BC = 15 cm, CA = 18 cm và AB = 12 cm. Gọi I và G lần lượt là tâm đường tròn nội tiếp và trọng tâm ∆ABC.
a) Tính độ dài các đoạn thẳng CD và BD.
b) Chứng minh IG // BC.
c) Tính độ dài đoạn thẳng IG.
2) Vì kèo mái tôn là một trong những bộ phận không thể thiếu trong cấu tạo mái nhà lợp tôn. Nó giúp chống đỡ và giảm trọng lực của những ảnh hưởng từ các yếu tố bên ngoài tác động vào (Hình a).
|
Hình a |
Hình b |
Một vì kèo mái tôn được vẽ lại như Hình b. Tính độ dài x của cây chống đứng bên và độ dài y của cánh kèo.
-----HẾT-----
Xem thử Đề thi GK2 Toán 8 KNTT Xem thử Đề thi GK2 Toán 8 CTST Xem thử Đề thi GK2 Toán 8 CD
Lưu trữ: Đề thi Giữa kì 2 Toán 8 (sách cũ)
Xem thêm đề thi Toán 8 có đáp án sách mới hay khác:
Xem thêm đề thi lớp 8 các môn học có đáp án hay khác:
Tài liệu giáo án lớp 8 các môn học chuẩn khác:
Tổng hợp Bộ đề thi Toán lớp 8 năm 2025 học kì 1 và học kì 2 có đáp án của chúng tôi được biên soạn và sưu tầm từ đề thi môn Toán của các trường THCS trên cả nước.
Nếu thấy hay, hãy động viên và chia sẻ nhé! Các bình luận không phù hợp với nội quy bình luận trang web sẽ bị cấm bình luận vĩnh viễn.
- Giải Tiếng Anh 8 Global Success
- Giải sgk Tiếng Anh 8 Smart World
- Giải sgk Tiếng Anh 8 Friends plus
- Lớp 8 - Kết nối tri thức
- Soạn văn 8 (hay nhất) - KNTT
- Soạn văn 8 (ngắn nhất) KNTT
- Giải sgk Toán 8 - KNTT
- Giải sgk Khoa học tự nhiên 8 - KNTT
- Giải sgk Lịch Sử 8 - KNTT
- Giải sgk Địa Lí 8 - KNTT
- Giải sgk Giáo dục công dân 8 - KNTT
- Giải sgk Tin học 8 - KNTT
- Giải sgk Công nghệ 8 - KNTT
- Giải sgk Hoạt động trải nghiệm 8 - KNTT
- Giải sgk Âm nhạc 8 - KNTT
- Lớp 8 - Chân trời sáng tạo
- Soạn văn 8 (hay nhất) - CTST
- Soạn văn 8 (ngắn nhất) - CTST
- Giải sgk Toán 8 - CTST
- Giải sgk Khoa học tự nhiên 8 - CTST
- Giải sgk Lịch Sử 8 - CTST
- Giải sgk Địa Lí 8 - CTST
- Giải sgk Giáo dục công dân 8 - CTST
- Giải sgk Tin học 8 - CTST
- Giải sgk Công nghệ 8 - CTST
- Giải sgk Hoạt động trải nghiệm 8 - CTST
- Giải sgk Âm nhạc 8 - CTST
- Lớp 8 - Cánh diều
- Soạn văn 8 Cánh diều (hay nhất)
- Soạn văn 8 Cánh diều (ngắn nhất)
- Giải sgk Toán 8 - Cánh diều
- Giải sgk Khoa học tự nhiên 8 - Cánh diều
- Giải sgk Lịch Sử 8 - Cánh diều
- Giải sgk Địa Lí 8 - Cánh diều
- Giải sgk Giáo dục công dân 8 - Cánh diều
- Giải sgk Tin học 8 - Cánh diều
- Giải sgk Công nghệ 8 - Cánh diều
- Giải sgk Hoạt động trải nghiệm 8 - Cánh diều
- Giải sgk Âm nhạc 8 - Cánh diều
Giải bài tập SGK & SBT
Tài liệu giáo viên
Sách
Khóa học
Thi online
Hỏi đáp



