Phép tính lôgarit lớp 11 (Lý thuyết Toán 11 Chân trời sáng tạo)
Với tóm tắt lý thuyết Toán 11 Bài 2: Phép tính lôgarit sách Chân trời sáng tạo hay nhất, chi tiết sẽ giúp học sinh lớp 11 nắm vững kiến thức trọng tâm, ôn luyện để học tốt môn Toán 11.
Phép tính lôgarit lớp 11 (Lý thuyết Toán 11 Chân trời sáng tạo)
(199k) Xem Khóa học Toán 11 CTST
Bài giảng: Bài 2: Phép tính lôgarit - Cô Nguyễn Yến (Giáo viên VietJack)
Lý thuyết Phép tính lôgarit
1. Khái niệm lôgarit
Cho hai số thực dương a, b với . Số thực α thoả mãn đẳng thức được gọi là lôgarit cơ số a của b và kí hiệu là .
Chú ý:
a) Biểu thức chỉ có nghĩa khi và b > 0.
b) Từ định nghĩa lôgarit, ta có:
Hai công thức (3) và (4) cho thấy phép lấy lôgarit và phép nâng lên luỹ thừa là hai phép toán ngược nhau.
Ví dụ 1. Tính:
a) ;
b) .
Hướng dẫn giải
a)
b) .
2. Tính lôgarit bằng máy tính cầm tay
Sử dụng máy tính cầm tay, ta có thể tính nhanh giá trị của các lôgarit (thường cần lấy giá trị gần đúng bằng cách làm tròn đến hàng nào đó).
Chú ý:
a) Lôgarit cơ số 10 được gọi là lôgarit thập phân. Ta viết log N hoặc lg N thay cho .
b) Lôgarit cơ số e còn được gọi là lôgarit tự nhiên. Ta viết ln N thay cho .
Ví dụ 2. Sử dụng máy tính cầm tay, tính giá trị các biểu thức sau (làm tròn kết quả đến chữ số thập phân thứ tư):
a) ;
b) ;
c) .
Hướng dẫn giải
Tính (làm tròn kết quả đến chữ số thập phân thứ tư) |
Bấm phím |
Màn hình hiện |
Kết quả |
0.8142475957 |
|||
1.874874376 |
|||
1.073570215 |
3. Tính chất của phép tính lôgarit
Cho các số thực dương a, M, N với , ta có:
•
•
•
Chú ý: Đặc biệt, a, M, N với dương,, ta có:
Ví dụ 3. Tính giá trị của các biểu thức sau:
a) ;
b) ;
c) .
Hướng dẫn giải
a)
b)
;
c)
4. Công thức đổi cơ số
Cho các số dương , ta có
Đặc biệt, ta có:
Ví dụ 4. Tính:
a) ;
b) .
Hướng dẫn giải
a)
b) .
Bài tập Phép tính lôgarit
Bài 1. Tính:
a)
b)
c)
d)
Hướng dẫn giải
a)
b)
c)
d)
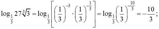
Bài 2. Tính giá trị của các biểu thức sau:
a) ;
b) ;
c) ;
d) .
Hướng dẫn giải
a)
.
b) .
c) Ta có ;
;
.
Vậy .
d)
.
Bài 3. Rút gọn các biểu thức sau:
a) (a, b > 0; a ≠ 1);
b) (a, b, c, d > 0);
c) (x > 0);
d) ().
Hướng dẫn giải
a) .
b) .
c)
d)
Bài 4.
a) Cho các số thực dương a, b thỏa mãn , . Tính .
b) Đặt . Biểu diễn theo a và b.
Hướng dẫn giải
a)
b) Ta có
.
Bài 5. Để tính độ tuổi của mẫu vật bằng gỗ, người ta đo độ phóng xạ của có trong mẫu vật tại thời điểm t (năm) (so với thời điểm ban đầu t = 0), sau đó sử dụng công thức tính độ phóng xạ (đơn vị là Becquerel, kí hiệu Bq) với H0 là độ phóng xạ ban đầu (tại thời điểm t = 0); là hằng số phóng xạ, T = 5730 (năm) (Nguồn: Vật lí 12 Nâng cao, NXBGD Việt Nam, 2014). Khảo sát một mẫu gỗ cổ, các nhà khoa học đo được độ phóng xạ là 0,215 Bq. Biết độ phóng xạ của mẫu gỗ tươi cùng loại là 0,250 Bq. Xác định độ tuổi của mẫu gỗ cổ đó (làm tròn kết quả đến hàng đơn vị).
Hướng dẫn giải
Gọi t là độ tuổi của mẫu gỗ cổ.
Ta có: với .
Từ đó, . Vậy .
Vậy độ tuổi của mẫu gỗ cổ đó xấp xỉ 1247 năm.
Học tốt Phép tính lôgarit
Các bài học để học tốt Phép tính lôgarit Toán lớp 11 hay khác:
(199k) Xem Khóa học Toán 11 CTST
Xem thêm tóm tắt lý thuyết Toán lớp 11 Chân trời sáng tạo hay khác:
Xem thêm các tài liệu học tốt lớp 11 hay khác:
- Giải sgk Toán 11 Chân trời sáng tạo
- Giải Chuyên đề học tập Toán 11 Chân trời sáng tạo
- Giải SBT Toán 11 Chân trời sáng tạo
- Giải lớp 11 Chân trời sáng tạo (các môn học)
- Giải lớp 11 Kết nối tri thức (các môn học)
- Giải lớp 11 Cánh diều (các môn học)
Tủ sách VIETJACK shopee lớp 10-11 (cả 3 bộ sách):
Đã có app VietJack trên điện thoại, giải bài tập SGK, SBT Soạn văn, Văn mẫu, Thi online, Bài giảng....miễn phí. Tải ngay ứng dụng trên Android và iOS.
Theo dõi chúng tôi miễn phí trên mạng xã hội facebook và youtube:Nếu thấy hay, hãy động viên và chia sẻ nhé! Các bình luận không phù hợp với nội quy bình luận trang web sẽ bị cấm bình luận vĩnh viễn.
- Soạn văn 11 (hay nhất) - CTST
- Soạn văn 11 (ngắn nhất) - CTST
- Giải sgk Toán 11 - CTST
- Giải Tiếng Anh 11 Global Success
- Giải sgk Tiếng Anh 11 Smart World
- Giải sgk Tiếng Anh 11 Friends Global
- Giải sgk Vật Lí 11 - CTST
- Giải sgk Hóa học 11 - CTST
- Giải sgk Sinh học 11 - CTST
- Giải sgk Lịch Sử 11 - CTST
- Giải sgk Địa Lí 11 - CTST
- Giải sgk Giáo dục KTPL 11 - CTST
- Giải sgk Hoạt động trải nghiệm 11 - CTST
- Giải sgk Âm nhạc 11 - CTST


Giải bài tập SGK & SBT
Tài liệu giáo viên
Sách
Khóa học
Thi online
Hỏi đáp

