Đạo hàm lớp 11 (Lý thuyết Toán 11 Chân trời sáng tạo)
Với tóm tắt lý thuyết Toán 11 Bài 1: Đạo hàm sách Chân trời sáng tạo hay nhất, chi tiết sẽ giúp học sinh lớp 11 nắm vững kiến thức trọng tâm, ôn luyện để học tốt môn Toán 11.
Đạo hàm lớp 11 (Lý thuyết Toán 11 Chân trời sáng tạo)
(199k) Xem Khóa học Toán 11 CTST
Bài giảng: Bài 1: Đạo hàm - Cô Nguyễn Yến (Giáo viên VietJack)
Lý thuyết Đạo hàm
1. Đạo hàm
Định nghĩa
Cho hàm số y = f(x) xác định trên khoảng (a; b) và .
Nếu tồn tại giới hạn hữu hạn
thì giới hạn này được goi là đạo hàm của hàm số f(x) tại , kí hiệu là hoặc .
Vậy:
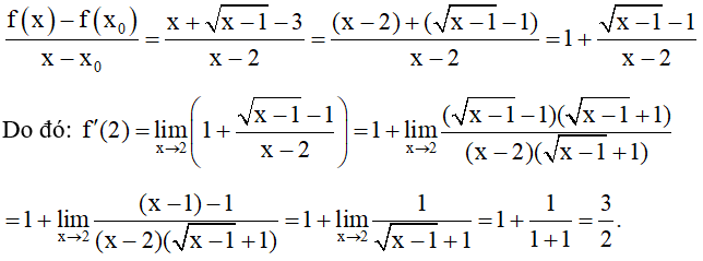
Ví dụ 1. Tính đạo hàm của hàm số tại điểm .
Hướng dẫn giải
Tập xác định của hàm số là
Tại điểm . Với , ta có:
Vậy .
Chú ý: Cho hàm số y = f(x) xác định trên khoảng (a; b). Nếu hàm số này có đạo hàm tại mọi điểm thì ta nói nó có đạo hàm trên khoảng (a; b), kí hiệu y' hoặc .
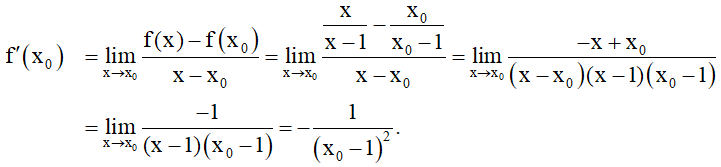
Ví dụ 2. Tính đạo hàm của hàm số với x ≠ 0.
Hướng dẫn giải
Với , ta có:
Vậy .
Chú ý: Cho hàm số y = f(x) xác định trên khoảng (a; b), có đạo hàm tại .
a) Đại lượng gọi là số gia của biến tại . Đại lượng gọi là số gia tương ứng của hàm số. Khi đó, và
b) Tỉ số biểu thị tốc độ thay đổi trung bình của đại lượng y theo đại lượng x trong khoảng từ đến ; còn biểu thị tốc độ thay đổi (tức thời) của đại lượng y theo đại lượng x tại điểm .
Ý nghĩa vật lí của đạo hàm
• Nếu hàm số s = f(t) biểu thị quãng đường di chuyển của vật theo thời gian t thì biểu thị tốc độ tức thời của chuyển động tại thời điểm .
• Nếu hàm số T = f(t) biểu thị nhiệt độ T theo thời gian t thì biểu thị tốc độ thay đổi nhiệt độ theo thời gian tại thời điểm .
2. Ý nghĩa hình học của đạo hàm
Cho hàm số y = f(x) xác định trên khoảng (a; b) và có đạo hàm tại . Gọi (C) là đồ thị của hàm số đó.
Đạo hàm của hàm số y = f(x) tại điểm là hệ số góc của tiếp tuyến của (C) tại điểm .
Tiếp tuyến có phương trình là .
Ví dụ 3. Cho hàm số .
a) Bằng định nghĩa, hãy tính đạo hàm của hàm số đã cho tại điểm .
b) Viết phương trình tiếp tuyến của đồ thị hàm số tại điểm .
Hướng dẫn giải
a) Tại điểm . Với , ta có:
.
Do đó: .
b) Phương trình tiếp tuyến của đồ thị hàm số tại điểm là:
.
3. Số e
Người ta chứng minh được rằng có giới hạn hữu hạn
.
Hơn nữa, người ta còn biết rằng e là số vô tỉ và (số thập phân vô hạn không tuần hoàn).
Số e xuất hiện trong nhiều bài toán ở những lĩnh vực khác nhau như Toán học, Vật lí, Sinh học, Kinh tế, ...
Ví dụ 4. Công thức được dùng để tính tổng sổ tiền vốn và lãi mà người gửi nhận được sau thời gian t kể từ thời điểm người đó gửi tiết kiệm A đồng theo thể thức “lãi kép liên tục” với lãi suất r năm. Trong đó, A và T tính theo đồng, t tính theo năm và t có thể nhận giá trị thực bất kì. Sử dụng máy tính cầm tay, tính giá trị của T (làm tròn đến hàng đơn vị) khi và
a) ;
b) .
Hướng dẫn giải
a) (đồng).
b) (đồng).
Bài tập Đạo hàm
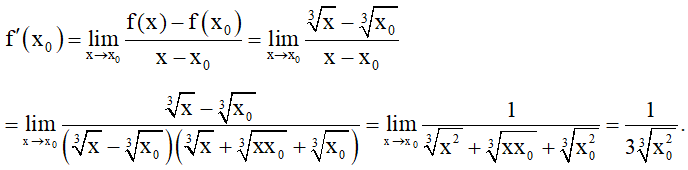
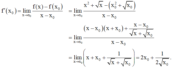
Bài 1. Dùng định nghĩa để tính đạo hàm của các hàm số sau:
a) với ;
b) với .
Hướng dẫn giải
a) Với bất kì , ta có:
Vậy trên khoảng .
b) Với , ta có:
Vậy trên các khoảng và .
Bài 2. Chứng minh rằng hàm số f(x) = |x – 2| không có đạo hàm tại điểm x0 = 2, nhưng có đạo hàm tại mọi điểm x ≠ 2.
Hướng dẫn giải
+ Với x > 2, ta có: f(x) = |x – 2| = x – 2.
Đạo hàm của hàm số f(x) = |x – 2| tại điểm x > 2 là 1.
+ Với x < 2, ta có: f(x) = |x – 2| = 2 – x.
Đạo hàm của hàm số f(x) = |x – 2| tại điểm x < 2 là –1.
+ Ta có f(x) – f(2) = |x – 2| – |2 – 2| = |x – 2|.
Với x ≠ 2, ta có .
Do đó, không tồn tại .
Vậy hàm số f(x) = |x – 2| không có đạo hàm tại điểm x0 = 2, nhưng có đạo hàm tại mọi điểm x ≠ 2.
Bài 3. Một viên đạn được bắn lên cao theo phương trình trong đó t tính bằng giây kể từ thời điểm viên đạn được bắn lên cao và s(t) là khoảng cách của viên đạn so với mặt đất được tính bằng mét. Tại thời điểm vận tốc của viên đạn bằng 0 thì viên đạn cách mặt đất bao nhiêu mét?
Hướng dẫn giải
Ta tính được
Vận tốc của viên đạn
Khi đó viên đạn cách mặt đất một khoảng
Bài 4. Cho hàm số .
a) Tính đạo hàm của hàm số tại điểm bất kì, .
b) Viết phương trình tiếp tuyến của đồ thị hàm số tại điểm có hoành độ .
Hướng dẫn giải
a) Với bất kì, ta có:
b) Với ta có và . Phương trình tiếp tuyến của đồ thị hàm số tại điểm có hoành độ là:
.
Học tốt Đạo hàm
Các bài học để học tốt Đạo hàm Toán lớp 11 hay khác:
(199k) Xem Khóa học Toán 11 CTST
Xem thêm tóm tắt lý thuyết Toán lớp 11 Chân trời sáng tạo hay khác:
Xem thêm các tài liệu học tốt lớp 11 hay khác:
- Giải sgk Toán 11 Chân trời sáng tạo
- Giải Chuyên đề học tập Toán 11 Chân trời sáng tạo
- Giải SBT Toán 11 Chân trời sáng tạo
- Giải lớp 11 Chân trời sáng tạo (các môn học)
- Giải lớp 11 Kết nối tri thức (các môn học)
- Giải lớp 11 Cánh diều (các môn học)
Tủ sách VIETJACK shopee lớp 10-11 (cả 3 bộ sách):
Đã có app VietJack trên điện thoại, giải bài tập SGK, SBT Soạn văn, Văn mẫu, Thi online, Bài giảng....miễn phí. Tải ngay ứng dụng trên Android và iOS.
Theo dõi chúng tôi miễn phí trên mạng xã hội facebook và youtube:Nếu thấy hay, hãy động viên và chia sẻ nhé! Các bình luận không phù hợp với nội quy bình luận trang web sẽ bị cấm bình luận vĩnh viễn.
- Soạn văn 11 (hay nhất) - CTST
- Soạn văn 11 (ngắn nhất) - CTST
- Giải sgk Toán 11 - CTST
- Giải Tiếng Anh 11 Global Success
- Giải sgk Tiếng Anh 11 Smart World
- Giải sgk Tiếng Anh 11 Friends Global
- Giải sgk Vật Lí 11 - CTST
- Giải sgk Hóa học 11 - CTST
- Giải sgk Sinh học 11 - CTST
- Giải sgk Lịch Sử 11 - CTST
- Giải sgk Địa Lí 11 - CTST
- Giải sgk Giáo dục KTPL 11 - CTST
- Giải sgk Hoạt động trải nghiệm 11 - CTST
- Giải sgk Âm nhạc 11 - CTST


Giải bài tập SGK & SBT
Tài liệu giáo viên
Sách
Khóa học
Thi online
Hỏi đáp

