200+ Trắc nghiệm Quá trình và thiết bị cơ học (có đáp án)
Tổng hợp trên 200 câu hỏi trắc nghiệm Quá trình và thiết bị cơ học có đáp án với các câu hỏi đa dạng, phong phú từ nhiều nguồn giúp sinh viên ôn trắc nghiệm Quá trình và thiết bị cơ học đạt kết quả cao.
200+ Trắc nghiệm Quá trình và thiết bị cơ học (có đáp án)
Câu 1: Các nghiên cứu của môn thuỷ lực được thực hiện cho:
A. Lưu chất trong điều kiện không bị nén.
B. Chất khí trong điều kiện không bị nén.
C. Chất lỏng.
D. Cả 3 đáp án kia đều đúng.
Câu 2: Trong thuỷ lực học người ta áp dụng các phương pháp nghiên cứu:
A. Mô hình hoá.
B. Dùng các đại lượng trung bình.
C. Dùng các đại lượng vô cùng nhỏ.
D. Các đáp án kia đều đúng.
Câu 3: Câu nào sau đây sai:
A. Chất lỏng mang hình dạng bình chứa nó
B. Chất lỏng bị biến dạng khi chịu lực kéo
C. Môđun đàn hồi thể tích của không khí lớn hơn của nước
D. Hệ số nén của không khí lớn hơn của nước
Câu 4: Trọng lượng riêng của chất lỏng là:
A. Trọng lượng của một đơn vị khối lượng chất lỏng.
B. Khối lượng của một đơn vị trọng lượng chất lỏng.
C. Trọng lượng của một đơn vị thể tích chất lỏng.
D. Khối lượng của một đơn vị thể tích chất lỏng.
Câu 5: Khối lượng riêng của chất lỏng là:
A. Khối lượng của một đơn vị thể tích chất lỏng.
B. Khối lượng của một đơn vị khối lượng chất lỏng.
C. Khối lượng của một đơn vị trọng lượng chất lỏng.
D. Trọng lượng của một đơn vị thể tích chất lỏng.
Câu 6: Tỷ trọng (δ) của một loại chất lỏng là:
A. Tỷ số giữa trọng lượng riêng và khối lượng riêng của chất lỏng đó.
B. Tỷ số giữa trọng lượng riêng của chất lỏng đó và trọng lượng riêng của nước ở 4°C
C. Tỷ số giữa trọng lượng riêng của nước ở 4°C và trọng lượng riêng của chất lỏng đó
D. Chưa có đáp án chính xác.
Câu 7: Một loại dầu có tỉ trọng δ = 0,75 thì khối lượng riêng bằng:
A. 750 N/m³
B. 750 kg/m³
C. 750 × 9,81 N/m³
D. 750 × 9,81 kg/m³
Câu 8: Mô đun đàn hồi thể tích E của chất lỏng:
A. Là nghịch đảo của hệ số nén.
B. Có trị số nhỏ khi chất lỏng dễ nén.
C. Có đơn vị là N/m²
D. Cả 3 câu kia đều đúng
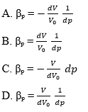
Câu 9: Hệ số nén βₚ của chất lỏng được tính theo công thức:
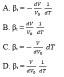
Câu 10: Hệ số dãn nở βₜ của chất lỏng được tính theo công thức:
Câu 11: Hệ số nén của một chất lỏng thể hiện:
A. Tính thay đổi thể tích theo nhiệt độ của chất lỏng.
B. Biến thiên của thể tích tương đối khi biến thiên áp suất bằng 1.
C. Công sinh ra khi biến thiên tương đối của thể tích bằng 1.
D. Cả 3 đáp án kia đều đúng.
Câu 12: Tính dãn nở của chất lỏng:
A. Tính thay đổi thể tích tương đối của chất lỏng.
B. Tính thay đổi thể tích của chất lỏng khi nhiệt độ thay đổi.
C. Được đặc trưng bằng hệ số nén βₚ.
D. Cả 3 đáp án kia đều đúng.
Câu 13: Hai tấm phẳng AB và CD đặt song song và sát nhau, ở giữa là dầu bôi trơn. Tấm CD cố định, tấm AB chuyển động với vận tốc u. Lực ma sát giữa hai tấm phẳng được tính theo công thức T = μ·S.,với y là phương:
A. Trùng với phương x, gốc tọa độ đặt trên tấm CD
B. Trùng với phương x, gốc tọa độ đặt trên tấm AB
C. Theo chiều chuyển động u
D. Trùng với phương z
Câu 14: Trong công thức T = μ·S., μ là:
A. Hệ số nhớt động lực phụ thuộc vào chế độ chảy của chất lỏng
B. Hệ số nhớt động lực với thứ nguyên là Pa·s
C. Hệ số nhớt động học phụ thuộc vào nhiệt độ của loại chất lỏng
D. Cả 3 đáp án kia đều đúng
Câu 15: Ghép các đường cong dưới đây cho phù hợp với loại chất lỏng:
A. 1: Chất lỏng Newton, 2: Chất lỏng lý tưởng
B. 3: Chất lỏng lý tưởng, 2: Chất lỏng phi Newton
C. 1: Chất lỏng phi Newton, 3: Chất lỏng lý tưởng
D. 2: Chất lỏng phi Newton, 1: Chất lỏng Newton
Câu 16: Gọi y là phương vuông góc với dòng chảy. Chất lỏng Newton là chất lỏng có:
A. Hệ số nhớt động lực μ không phụ thuộc vào vận tốc độ biến dạng.
B. Quan hệ giữa τ và du/dy là quan hệ tuyến tính
C. Cả 3 đáp án kia đều đúng.
D. Đường quan hệ τ và du/dy đi qua gốc tọa độ
Câu 17: Chất lỏng lý tưởng:
A. Có độ nhớt bằng 0.
B. Có tính di động tuyệt đối.
C. Hoàn toàn không nén được.
D. Cả 3 đáp án kia đều đúng.
Câu 18: Định luật ma sát trong của Newton biểu thị mối quan hệ giữa các đại lượng sau:
A. Ứng suất pháp tuyến, vận tốc, nhiệt độ.
B. Ứng suất tiếp tuyến, vận tốc biến dạng, độ nhớt.
C. Ứng suất tiếp tuyến, nhiệt độ, độ nhớt, áp suất.
D. Ứng suất pháp tuyến, vận tốc biến dạng.
Câu 19: Đơn vị đo độ nhớt động lực là:
A. Poazơ.
B. N.s/m²
C. Pa.s.
D. Cả 3 đáp án kia đều đúng.
Câu 20: Đơn vị đo độ nhớt động học là:
A. m²/s
B. Pa.s
C. N.s/m²
D. Cả 3 đáp án kia đều sai.
Câu 21: Khi nhiệt độ tăng:
A. Độ nhớt của các chất thể lỏng và thể khí tăng.
B. Độ nhớt của các chất thể lỏng và thể khí giảm.
C. Độ nhớt của các chất thể lỏng giảm.
D. Độ nhớt của các chất thể khí giảm.
Câu 22: Khi áp suất tăng:
A. Độ nhớt của các chất ở thể lỏng tăng
B. Độ nhớt của các chất ở thể lỏng giảm
C. Độ nhớt của các chất ở thể lỏng và thể khí tăng
D. Độ nhớt của các chất ở thể lỏng và thể khí giảm
Câu 23: Độ nhớt động lực của chất lỏng 1 là μ₁, chất lỏng 2 là μ₂. Độ nhớt động học của chất lỏng 1 là ν₁, chất lỏng 2 là ν₂. Nếu μ₁ > μ₂ thì:
A. ν₁ luôn lớn hơn ν₂
B. ν₁ luôn nhỏ hơn ν₂
C. Không phụ thuộc vào nhau
D. Còn phụ thuộc vào loại chất lỏng
Câu 24: Các lực sau thuộc loại lực khối:
A. Trọng lực, lực ma sát
B. Lực ly tâm, áp lực
C. Áp lực
D. Trọng lực, lực quán tính
Câu 25: Các lực sau thuộc loại lực bề mặt:
A. Trọng lực
B. Lực ly tâm, áp lực
C. Áp lực, lực ma sát
D. Trọng lực, lực quán tính
Câu 26: Chất lỏng lý tưởng:
A. Một giả thiết cần thiết khi nghiên cứu về động học chất lỏng
B. Một giả thiết hữu ích trong bài toán thuỷ tĩnh
C. Chất lỏng rất nhớt
D. Một giả thiết cần thiết khi nghiên cứu về động lực học chất lỏng
Câu 27: Đối với chất lỏng thực ở trạng thái tĩnh:
A. Ứng suất tiếp τ tỷ lệ tuyến tính với nhiệt độ
B. Ứng suất tiếp τ không tồn tại
C. Độ nhớt μ bằng không
D. Ứng suất tiếp τ tỷ lệ tuyến tính với trọng lượng chất lỏng
Câu 28: Một at kỹ thuật bằng:
A. 10 mH₂O
B. 736 mmHg
C. 9,81×10⁴ Pa
D. Cả 3 đáp án kia đều đúng
Câu 29: Để thiết lập phương trình vi phân cân bằng của chất lỏng tĩnh người ta xét:
A. Tác động của lực bề mặt lên một vi phân thể tích chất lỏng.
B. Tác động của lực khối lên một vi phân thể tích chất lỏng.
C. Sự cân bằng của lực bề mặt và lực khối tác động lên một vi phân thể tích chất lỏng.
D. Sự cân bằng của lực bề mặt và lực khối tác động lên một thể tích chất lỏng lớn hữu hạn.
Câu 30: Phương trình vi phân cân bằng của chất lỏng tĩnh tuyệt đối có thể viết dưới dạng sau:
A. dz = −γ·dp
B. Cả 3 câu kia đều sai
C. dz = dp/γ
D. dp = −ρ·dz
................................
................................
................................
Xem thêm câu hỏi trắc nghiệm các môn học Đại học có đáp án hay khác:
Sách VietJack thi THPT quốc gia 2025 cho học sinh 2k7:
- Soạn văn 12 (hay nhất) - KNTT
- Soạn văn 12 (ngắn nhất) - KNTT
- Giải sgk Toán 12 - KNTT
- Giải Tiếng Anh 12 Global Success
- Giải sgk Tiếng Anh 12 Smart World
- Giải sgk Tiếng Anh 12 Friends Global
- Giải sgk Vật Lí 12 - KNTT
- Giải sgk Hóa học 12 - KNTT
- Giải sgk Sinh học 12 - KNTT
- Giải sgk Lịch Sử 12 - KNTT
- Giải sgk Địa Lí 12 - KNTT
- Giải sgk Giáo dục KTPL 12 - KNTT
- Giải sgk Tin học 12 - KNTT
- Giải sgk Công nghệ 12 - KNTT
- Giải sgk Hoạt động trải nghiệm 12 - KNTT
- Giải sgk Giáo dục quốc phòng 12 - KNTT
- Giải sgk Âm nhạc 12 - KNTT
- Giải sgk Mĩ thuật 12 - KNTT
Giải bài tập SGK & SBT
Tài liệu giáo viên
Sách
Khóa học
Thi online
Hỏi đáp



