(Ôn thi ĐGNL, ĐGTD) Ứng dụng của tích phân
Chủ đề Ứng dụng của tích phân trong tài liệu ôn thi Đánh giá năng lực, Đánh giá tư duy theo cấu trúc mới nhất đầy đủ lý thuyết trọng tâm, các dạng bài & bài tập đa dạng từ cơ bản đến nâng cao giúp Giáo viên & học sinh có thêm tài liệu ôn thi ĐGNL HSA, VACT và ĐGTD TSA đạt kết quả cao.
(Ôn thi ĐGNL, ĐGTD) Ứng dụng của tích phân
Xem thử Tài liệu & Đề thi HSA Xem thử Tài liệu & Đề thi VACT Xem thử Tài liệu & Đề thi TSA Xem thử Tài liệu & Đề thi SPT
Chỉ từ 450k mua trọn bộ Đề thi & Tài liệu ôn thi ĐGNL - ĐGTD năm 2026 của các trường theo cấu trúc mới bản word có lời giải chi tiết:
- B1: gửi phí vào tk:
1133836868- CT TNHH DAU TU VA DV GD VIETJACK - Ngân hàng MB (QR) - B2: Nhắn tin tới Zalo VietJack Official - nhấn vào đây để thông báo và nhận đề thi
I. CÁC DẠNG TOÁN VÀ PHƯƠNG PHÁP GIẢI
1. Dạng toán: Ứng dụng tích phân tính diện tích
1.1. Phương pháp giải
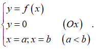
* Loại 1: Tính diện tích hình phẳng giới hạn bởi đồ thị hàm số y = f(x), trục hoành Ox và hai đường thẳng x = a, x = b.
Cho (H):
Hình phẳng (H) là phần gạch chéo trong hình.
Khi đó
Đặc biệt:
• Nếu , [a; b] thì
• Nếu , [a; b] thì
Chú ý:
• Nếu f(x) không đổi dấu trên đoạn [a; b] thì
• Nếu phương trình f(x) = 0 có nghiệm duy nhất x = c thuộc khoảng (a; b) thì
• Nếu phương trình f(x) = 0 có hai nghiệm c1 < c2 thuộc khoảng (a; b) thì
* Loại 2: Tính diện tích hình phẳng giới hạn bởi đồ thị hàm số y = f(x), y = g(x) và hai đường thẳng x = a, x = b.
Cho (H):
Nếu đề bài chưa cho cận a, b thì ta phải đi giải phương trình hoành độ giao điểm f(x) = g(x) ⇒ cận a, b (cận a = nghiệm min, cận b = nghiệm max).
Đặc biệt:
• Nếu , [a; b] (đồ thị hàm số y = f(x) nằm phía trên đồ thị hàm số y = g(x)) thì ta có:
• Nếu , [a; b] (đồ thị hàm số y = f(x) nằm phía dưới đồ thị hàm số y = g(x)) thì ta có:
Chú ý:
• Nếu phương trình f(x) = g(x) vô nghiệm trên khoảng (a; b) thì
• Nếu phương trình f(x) = g(x) có nghiệm duy nhất x = c thuộc (a; b) thì
• Nếu phương trình f(x) = g(x) có hai nghiệm c1 < c2 thuộc khoảng (a; b) thì
1.2. Ví dụ
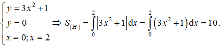
Ví dụ 1. Tính diện tích S của hình phẳng giới hạn bởi đồ thị hàm số y = 3x2 + 1, trục hoành và hai đường thẳng x = 0, x = 2.
A. S = 8.
B. S = 12.
C. S = 10.
D. S = 9.
Hướng dẫn giải
Ta có (H): Chọn C.
Ví dụ 2. Tính diện tích hình phẳng giới hạn bởi đồ thị hàm số y = 4x - x2 và trục Ox.
A. 11.
B.
C.
D.
Hướng dẫn giải
Gọi S là diện tích hình phẳng giới hạn bởi đồ thị hàm số y = 4x - x2 và trục Ox.
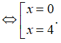
Xét phương trình 4x - x2 = 0
Ta có Chọn D.
Ví dụ 3. Gọi (H) là hình phẳng giới hạn bởi đồ thị hàm số y = ex, trục hoành và các đường thẳng x = -1, x = 1. Với k ∈ (-1; 1), đường thẳng x = k chia hình phẳng (H) thành hai hình phẳng có diện tích lần lượt là S1 và S2 (như hình vẽ bên). Giá trị k để S1 = S2 là
A. 2 ln 2 - 1.
B. 2 ln (e - ) - 1.
C. ln (e + ) - ln 2.
D. ln 2.
Hướng dẫn giải
Vì ex > 0 với mọi nên ta có
và
S1 = S2 ek - e-1 = e - ek 2ek = e +
Chọn C.
Ví dụ 4. Gọi S là diện tích hình phẳng giới hạn bởi các đồ thị hàm số: y = x3 - 3x, y = x. Tính S.
A. S = 4.
B. S = 8.
C. S = 2.
D. S = 0.
Hướng dẫn giải
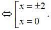
Phương trình hoành độ giao điểm của hai đồ thị là x3 - 3x = x x3 - 4x = 0
Vậy = 4 + 4 = 8. Chọn B.
Ví dụ 5. Cho hai hàm số f(x) = ax2 + bx2 + cx - 2 và g(x) = dx2 + ex + 2 (a, b, c, d, e ). Biết rằng đồ thị của hàm số y = f(x) và y = g(x) cắt nhau tại ba điểm có hoành độ lần lượt là -2; -1; 1 (tham khảo hình vẽ). Hình phẳng giới hạn bởi hai đồ thị đã cho có diện tích bằng
A.
B.
C.
D.
Hướng dẫn giải
Phương trình hoành độ giao điểm của đồ thị f(x) và g(x) là
ax3 + bx2 + cx - 2 = dx2 + 3x + 2 a3 + (b - d)x2 + (c - e)x - 4 = 0. (*)
Do đồ thị của hai hàm số cắt nhau tại ba điểm suy ra phương trình (*) có ba nghiệm x = -2; x = -1; x = 1. Ta được ax3 + (b - d)x2 + (c - e)x - 4 = k (x + 2)(x + 1)(x - 1).
Khi đó -4 = -2k k = 2.
Vậy diện tích hình phẳng cần tìm là Chọn B.
Ví dụ 6. Cho hàm số f(x) = ax4 + bx3 + cx2 + 3x và g(x) = mx3 + mx2 - x với a, b, c, d, m, n . Biết hàm số y = f(x) - g(x) có ba điểm cực trị là -1; 2; 3. Diện tích hình phẳng giới hạn bởi đường y = f'(x) và y = g'(x) bằng
A.
B.
C.
D.
Hướng dẫn giải
Ta có f'(x) = 4cx3 + 3bx2 + 2cx + 3; g'(x) = 3mx2 + 2nx - 1.
Khi đó f'(x) - g'(x) = 4ax3 + (3b - 3m)x2 + (2c - 2n)x + 4.
Do hàm số y = f(x) - g(x) có ba điểm cực trị là -1; 2; 3 nên ta suy ra a ≠ 0 và
f'(x) - g'(x) = 4a (x + 1)(x - 2)(x - 3).
Ta có f' (0) - g' (0) = 24a = 4 ⇒ a = . Suy ra f'(x) - g'(x) = (x + 1)(x - 2)(x - 3).
Vậy diện tích hình phẳng giới hạn bởi đường y = f'(x) và y = g'(x) bằng
Chọn B.
................................
................................
................................
II. CÂU HỎI VẬN DỤNG
Dạng 1. Câu trắc nghiệm nhiều phương án chọn
Mỗi câu hỏi thí sinh chỉ chọn một phương án đúng nhất.
Câu 1. Gọi S là diện tích hình phẳng giới hạn bởi các đường y = ex, y = 0, x = 0, x = 2. Mệnh đề nào dưới đây đúng?
A.
B.
C.
D.
Câu 2. Diện tích hình phẳng giới hạn bởi đường cong y = x ln x, trục hoành và đường thẳng x = e là
A.
B.
C.
D.
Câu 3. Cho hàm số f(x) liên tục trên . Gọi S là diện tích hình phẳng giới hạn bởi các đường y = f(x), y = 0, x = 0, x = -1 và x = 4 (như hình vẽ bên). Mệnh đề nào dưới đây đúng?
A.
B.
C.
D.
Câu 4. Cho hàm số y = f(x) có đồ thị như hình vẽ và diện tích hai phần A, B lần lượt bằng 11 và 2. Giá trị của bằng
A. 3.
B.
C. 9.
D. 13.
Câu 5. Cho hai hàm số f(x) = ax3 + bx2 + cx - 1 và g(x) = dx2 + ex + (a, b, c, d, e ). Biết rằng đồ thị của hàm số y = f(x) và y = g(x) cắt nhau tại ba điểm có hoành độ lần lượt -3; -1; 2 (tham khảo hình vẽ). Hình phẳng giới hạn bởi hai đồ thị đã cho có diện tích bằng
A.
B.
C.
D.
................................
................................
................................
Dạng 2. Câu trắc nghiệm trả lời ngắn
Câu 16. Một chất điểm đang chuyển động với vận tốc v0 = 15 m/s thì tăng tốc với gia tốc a (t) = t2 + 4t (m/s2). Tính quãng đường chất điểm đó đi được trong khoảng thời gian 3 giây kể từ lúc bắt đầu tăng vận tốc.
Điền đáp án |
Câu 17. Chuẩn bị cho đêm hội diễn văn nghệ chào đón năm mới, bạn An đã làm một chiếc mũ “cách điệu” cho ông già Noel có dáng một khối tròn xoay. Mặt cắt qua trục của chiếc mũ như hình vẽ bên dưới. Biết rằng OO' = 5 cm, OA = 10 cm, OB = 20 cm, đường cong AB là một phần của parabol có đỉnh là điểm A. Thể tích của chiếc mũ bằng a. (cm3), hỏi a bằng bao nhiêu?
Điền đáp án |
................................
................................
................................
Xem thử Tài liệu & Đề thi HSA Xem thử Tài liệu & Đề thi VACT Xem thử Tài liệu & Đề thi TSA Xem thử Tài liệu & Đề thi SPT
Xem thêm tài liệu ôn thi đánh giá năng lực HSA, VACT, đánh giá tư duy TSA hay khác:
- (Ôn thi ĐGNL HSA) Chuyên đề: Góc, khoảng cách trong không gian
- (Ôn thi ĐGNL HSA) Chuyên đề: Thể tích của một số hình khối
- (Ôn thi ĐGNL HSA) Chuyên đề: Ứng dụng đạo hàm để khảo sát và vẽ đồ thị hàm số
- (Ôn thi ĐGNL HSA) Chuyên đề: Vectơ và phương pháp tọa độ trong không gian
- (Ôn thi ĐGNL HSA) Chuyên đề: Thống kê và xác suất
- (Ôn thi ĐGNL HSA) Chuyên đề: Một số câu hỏi trích trong các đề thi tham khảo
Đã có app VietJack trên điện thoại, giải bài tập SGK, SBT Soạn văn, Văn mẫu, Thi online, Bài giảng....miễn phí. Tải ngay ứng dụng trên Android và iOS.
Theo dõi chúng tôi miễn phí trên mạng xã hội facebook và youtube:Nếu thấy hay, hãy động viên và chia sẻ nhé! Các bình luận không phù hợp với nội quy bình luận trang web sẽ bị cấm bình luận vĩnh viễn.
- Giải Tiếng Anh 12 Global Success
- Giải sgk Tiếng Anh 12 Smart World
- Giải sgk Tiếng Anh 12 Friends Global
- Lớp 12 Kết nối tri thức
- Soạn văn 12 (hay nhất) - KNTT
- Soạn văn 12 (ngắn nhất) - KNTT
- Giải sgk Toán 12 - KNTT
- Giải sgk Vật Lí 12 - KNTT
- Giải sgk Hóa học 12 - KNTT
- Giải sgk Sinh học 12 - KNTT
- Giải sgk Lịch Sử 12 - KNTT
- Giải sgk Địa Lí 12 - KNTT
- Giải sgk Giáo dục KTPL 12 - KNTT
- Giải sgk Tin học 12 - KNTT
- Giải sgk Công nghệ 12 - KNTT
- Giải sgk Hoạt động trải nghiệm 12 - KNTT
- Giải sgk Giáo dục quốc phòng 12 - KNTT
- Giải sgk Âm nhạc 12 - KNTT
- Giải sgk Mĩ thuật 12 - KNTT
- Lớp 12 Chân trời sáng tạo
- Soạn văn 12 (hay nhất) - CTST
- Soạn văn 12 (ngắn nhất) - CTST
- Giải sgk Toán 12 - CTST
- Giải sgk Vật Lí 12 - CTST
- Giải sgk Hóa học 12 - CTST
- Giải sgk Sinh học 12 - CTST
- Giải sgk Lịch Sử 12 - CTST
- Giải sgk Địa Lí 12 - CTST
- Giải sgk Giáo dục KTPL 12 - CTST
- Giải sgk Tin học 12 - CTST
- Giải sgk Hoạt động trải nghiệm 12 - CTST
- Giải sgk Âm nhạc 12 - CTST
- Lớp 12 Cánh diều
- Soạn văn 12 Cánh diều (hay nhất)
- Soạn văn 12 Cánh diều (ngắn nhất)
- Giải sgk Toán 12 Cánh diều
- Giải sgk Vật Lí 12 - Cánh diều
- Giải sgk Hóa học 12 - Cánh diều
- Giải sgk Sinh học 12 - Cánh diều
- Giải sgk Lịch Sử 12 - Cánh diều
- Giải sgk Địa Lí 12 - Cánh diều
- Giải sgk Giáo dục KTPL 12 - Cánh diều
- Giải sgk Tin học 12 - Cánh diều
- Giải sgk Công nghệ 12 - Cánh diều
- Giải sgk Hoạt động trải nghiệm 12 - Cánh diều
- Giải sgk Giáo dục quốc phòng 12 - Cánh diều
- Giải sgk Âm nhạc 12 - Cánh diều


Giải bài tập SGK & SBT
Tài liệu giáo viên
Sách
Khóa học
Thi online
Hỏi đáp

