(Ôn thi ĐGNL, ĐGTD) Chuyên đề: Vectơ và phương pháp tọa độ trong không gian
Chuyên đề Vectơ và phương pháp tọa độ trong không gian trong tài liệu ôn thi Đánh giá năng lực, Đánh giá tư duy theo cấu trúc mới nhất đầy đủ lý thuyết trọng tâm, các dạng bài & bài tập đa dạng từ cơ bản đến nâng cao giúp Giáo viên & học sinh có thêm tài liệu ôn thi ĐGNL HSA, VACT và ĐGTD TSA đạt kết quả cao.
(Ôn thi ĐGNL, ĐGTD) Chuyên đề: Vectơ và phương pháp tọa độ trong không gian
Xem thử Tài liệu & Đề thi HSA Xem thử Tài liệu & Đề thi VACT Xem thử Tài liệu & Đề thi TSA Xem thử Tài liệu & Đề thi SPT
Chỉ từ 500k mua trọn bộ Đề thi & Tài liệu ôn thi ĐGNL - ĐGTD năm 2026 của các trường theo cấu trúc mới bản word có lời giải chi tiết:
- B1: gửi phí vào tk:
1133836868- CT TNHH DAU TU VA DV GD VIETJACK - Ngân hàng MB (QR) - B2: Nhắn tin tới Zalo VietJack Official - nhấn vào đây để thông báo và nhận đề thi
(Ôn thi ĐGNL, ĐGTD) Vectơ và các phép toán vectơ trong không gian
I. LÝ THUYẾT CẦN NHỚ
1. Vectơ trong không gian
1.1. Định nghĩa
Vectơ trong không gian là một đoạn thẳng có hướng.
1.2. Các khái niệm
Tương tự như vectơ trong mặt phẳng, đối với vectơ trong không gian, ta cũng có các kí hiệu và các khái niệm sau:
– Với vectơ , ta có:
+ Điểm A là điểm đầu; điểm B là điểm cuối.
+ Hướng của vectơ : Từ A đến B.
+ Đường thẳng d đi qua hai điểm A và B gọi là giá của vectơ .
+ Độ dài của vectơ , kí hiệu ||, là độ dài của đoạn thẳng AB.
– Khi không cần chỉ rõ điểm đầu và điểm cuối của vectơ thì vectơ còn được kí hiệu là
– Hai vectơ được gọi là cùng phương nếu chúng có giá song song hoặc trùng nhau.
– Nếu hai vectơ cùng phương thì chúng có cùng hướng hoặc ngược hướng.
– Hai vectơ và được gọi là bằng nhau, kí hiệu , nếu chúng cùng hướng và cùng độ dài.
2. Các phép toán vectơ trong không gian
2.1. Tổng của hai vectơ
Định nghĩa: Trong không gian, cho hai vectơ , .
Lấy một điểm A tùy ý, vẽ . Vectơ được gọi là tổng của hai vectơ và , kí hiệu là
• Quy tắc cộng
Với ba điểm A, B, C bất kì, ta có
• Quy tắc hình bình hành
Cho hình bình hành ABCD, ta có
• Quy tắc hình hộp
Cho hình hộp ABCD.A'B'C'D'. Ta có
• Quy tắc ba điểm (mở rộng):
2.2. Hiệu của hai vectơ
Định nghĩa:
+ Vectơ đối của vectơ , kí hiệu là -, là một vectơ ngược hướng và có cùng độ dài với vectơ .
+ Vectơ được coi là đối vectơ của chính nó.
+ Cho hai vectơ và . Ta gọi hiệu của hai vectơ và là vectơ + (-), kí hiệu - .
• Quy tắc trừ
Với ba điểm O, A, B bất kì, ta có:
2.3. Tích của một số với một vectơ
Trong không gian, cho số thực k ≠ 0 và vectơ . Tích của một số k với vectơ là một vectơ, kí hiệu là k, được xác định như sau:
– Cùng hướng với vectơ nếu k > 0, ngược hướng với vectơ nếu k < 0;
– Có độ dài bằng |k|.||.
Nhận xét:
– Ta có k = 0 khi và chỉ khi k = 0 hoặc
– Hai vectơ khác là cùng phương khi và chỉ khi có một số thực k ≠ 0 sao cho
– Điều kiện cần và đủ để ba điểm phân biệt A, B, C thẳng hàng là tồn tại số thực k ≠ 0 sao cho
Tính chất: Với hai vectơ và hai số thực h, k ta có:
⮚ Chú ý:
• Quy tắc trung điểm
Nếu I là trung điểm của đoạn thẳng AB thì
Với mọi điểm M thì
• Quy tắc trọng tâm của tam giác
Nếu G là trọng tâm của tam giác ABC thì
Với mọi điểm M thì
• Quy tắc trọng tâm của tứ diện
Nếu G là trọng tâm của tứ diện ABCD thì
Với mọi điểm M thì
Mở rộng: Trong không gian, cho ba điểm A, B, C và bộ số m, n, p (m + n + p ≠ 0).
– Tồn tại duy nhất điểm I sao cho
– Với mọi điểm M thì
2.4. Tích vô hướng của hai vectơ
a) Góc giữa hai vectơ
Trong không gian, cho hai vectơ và đều khác . Lấy một điểm A bất kì, gọi B và C là hai điểm sao cho
Khi đó, ta gọi là góc giữa hai vectơ và , kí hiệu là (, ).
b) Tích vô hướng của hai vectơ
Trong không gian, cho hai vectơ và đều khác .
Tích vô hướng của hai vectơ và , kí hiệu là ., là một số thực được xác định bởi công thức:
ở đó (, ) là góc giữa hai vectơ , .
⮚ Chú ý:
– Quy ước nếu = 0 hoặc = 0 thì . = 0.
– Với hai vectơ và đều khác , ta có
– Với hai vectơ và đều khác , ta có
Tính chất: Với các vectơ , , và số thực k tùy ý, ta có:
, trong đó . Ngoài ra,
II. CÁC DẠNG TOÁN VÀ PHƯƠNG PHÁP GIẢI
1. Dạng toán: Vận dụng đẳng thức vectơ và phân tích vectơ theo các vectơ cho trước
1.1. Phương pháp giải
- Vận dụng các phép toán vectơ.
- Biến đổi kết hợp các tính chất của vectơ.
1.2. Ví dụ
Ví dụ 1. Cho hình tứ diện ABCD có trọng tâm G. Mệnh đề nào sau đây sai?
A.
B.
C.
D.
Hướng dẫn giải
Có G là trọng tâm của tứ diện ABCD nên:
. Chọn D.
Ví dụ 2. Cho ba lực , cùng tác động vào một vật tại điểm M và vật đứng yên. Cho biết cường độ của đều bằng 25 N và góc . Khi đó cường độ lực của là:
A.
B.
C.
D.
Hướng dẫn giải
Gọi I là trung điểm của đoạn AB. Tam giác MAB đều nên
Ta có (Quy tắc hình bình hành).
Vì vật đứng yên nên , suy ra
Vậy cường độ của lực là Chọn A.
Ví dụ 3. Cho hai lực cùng tác động vào một vật tại điểm M trong không gian cường độ hai lực lần lượt là 300 N và 400 N, . Tìm cường độ của lực tổng hợp tác động vào vật.
A. 0 N.
B. 700 N.
C. 700 N.
D. 500 N.
Hướng dẫn giải
Gọi I là trung điểm của đoạn AB.
Tam giác MAB vuông tại M nên
Cường độ của lực tổng hợp tác động vào vật là
Vậy cường độ của lực là 500 N. Chọn D.
................................
................................
................................
III. CÂU HỎI VẬN DỤNG
Dạng 1. Câu trắc nghiệm nhiều phương án chọn
Mỗi câu hỏi thí sinh chỉ chọn một phương án đúng nhất.
Câu 1. Cho hình chóp S.ABC, gọi G là trọng tâm tác giác ABC. Ta có:
A.
B.
C.
D.
Câu 2. Trong không gian cho điểm O và bốn điểm A, B, C, D không thẳng hàng. Điều kiện cần và đủ để A, B, C, D tạo thành hình bình hành là
A.
B.
C.
D.
Câu 3. Cho hình hộp ABCD.EFGH. Khẳng định nào sau đây là đúng?
A.
B.
C.
D.
Câu 4. Cho lăng trụ tam giác ABC.A'B'C'. Đặt Gọi I là điểm thuộc đường thẳng CC' sao cho C'I = 3C'C, G điểm thỏa mãn Biểu diễn vectơ qua các vectơ Trong các khẳng định sau, khẳng định nào là khẳng định đúng?
A.
B.
C.
D.
Câu 5. Cho tứ diện ABCD có G là trọng tâm tam giác BCD. Đặt , Khẳng định nào sau đây đúng?
A.
B.
C.
D.
................................
................................
................................
Dạng 2. Câu trắc nghiệm trả lời ngắn
Câu 16. Cho tứ diện ABCD, M là điểm trên đoạn AB và MB = 2MA, N là điểm trên đường thẳng CD mà Nếu đồng phẳng thì giá trị của k là:
Điền đáp án |
Câu 17. Cho hình chóp S.ABC có độ dài các cạnh SA = SB = SC = AB = AC = a và Góc giữa hai đường thẳng AB và SC bằng:
Điền đáp án |
................................
................................
................................
Dạng 3. Câu trắc nghiệm đúng sai
Trong mỗi ý a), b), c), d) ở mỗi câu, thí sinh chọn đúng hoặc sai.
Câu 19. Cho hình hộp ABCD.A'B'C'D' có tất cả các cạnh đều bằng nhau.
a) Góc giữa hai đường thẳng A'C', BD là góc vuông.
b) Góc giữa hai đường thẳng BB', BD là góc vuông.
c) Góc giữa hai đường thẳng A'B, DC' là góc vuông.
d) Góc giữa hai đường thẳng BC', A'D là góc vuông.
................................
................................
................................
(Ôn thi ĐGNL, ĐGTD) Tọa độ điểm. Tọa độ vectơ
I. LÝ THUYẾT CẦN NHỚ
1. Hệ trục tọa độ trong không gian
Trong không gian, hệ gồm ba trục Ox, Oy, Oz đôi một vuông góc với nhau và các vectơ đơn vị lần lượt trên các trục Ox, Oy, Oz được gọi là hệ trục tọa độ Descartes vuông góc Oxyz hay đơn giản là hệ tọa độ Oxyz.
– Điểm O được gọi là gốc tọa độ.
– Các trục Ox, Oy, Oz được gọi là các trục tọa độ.
–Các mặt phẳng (Oxy), (Oyz), (Oxz) được gọi là các mặt phẳng tọa độ.
– Không gian với hệ tọa độ Oxyz còn được gọi là không gian Oxyz.
2. Tọa độ điểm
– Trong không gian với hệ tọa độ Oxyz, cho một điểm M tùy ý. Bộ ba số (x; y; z) duy nhất sao cho được gọi là tọa độ của điểm M đối với hệ tọa độ Oxyz. Khi đó, ta viết M = (x; y; z) hoặc M (x; y; z) trong đó x là hoành độ, y là tung độ và z là cao độ của M.
• Phép chiếu điểm lên trục tọa độ:
Chiếu lên Ox : M (xM; yM; zM) → M1 (xM; 0; 0).
Chiếu lên Oy : M (xM; yM; zM) → M2 (0; yM; 0).
Chiếu lên Oz : M (xM; yM; zM) → M3 (0; 0; zM).
• Phép chiếu điểm lên mặt phẳng tọa độ:
Chiếu lên mặt phẳng (Oxy) : M (xM; yM; zM) → M1 (xM; yM; 0).
Chiếu lên mặt phẳng (Oyz) : M (xM; yM; zM) → M2 (0; yM; zM).
Chiếu lên mặt phẳng (Oxz) : M (xM; yM; zM) → M3 (xM; 0; zM).
• Đối xứng qua trục tọa độ:
Đối xứng qua trục Ox : M (xM; yM; zM) → M1 (xM; -yM; -zM).
Đối xứng qua trục Oy : M (xM; yM; zM) → M2 (-xM; yM; -zM).
Đối xứng qua trục Oz : M (xM; yM; zM) → M3 (-xM; -yM; zM).
⇒ Lấy đối xứng trục nào ta giữ nguyên tọa độ trục đó và đổi dấu tọa độ 2 trục còn lại.
• Đối xứng qua mặt phẳng tọa độ:
Đối xứng mặt phẳng (Oxy) : M (xM; yM; zM) → M1 (xM; yM; -zM).
Đối xứng mặt phẳng (Oxz) : M (xM; yM; zM) → M2 (xM; -yM; zM).
Đối xứng mặt phẳng (Oyz) : M (xM; yM; zM) → M3 (-xM; yM; zM).
3. Tọa độ của vectơ
Trong không gian với hệ tọa độ Oxyz, cho vectơ tùy ý. Bộ ba số (x; y; z) duy nhất sao cho được gọi là tọa độ của vectơ đối với hệ tọa độ Oxyz. Khi đó, ta viết = (x; y; z) hoặc trong đó x là hoành độ, y là tung độ và z là cao độ của .
4. Biểu thức tọa độ của các phép toán vectơ
Trong không gian Oxyz, cho hai vectơ = (x1; y1; z1) và = (x2; y2; z2), ta có:
•
• Tổng của hai vectơ: + = (x1 + x2; y1 + y2; z1 + z2);
• Hiệu của hai vectơ: - = (x1 - x2; y1 - y2; z1 - z2);
• Tích của một vectơ với một số: k = (kx1; ky1; kz1) ();
• Độ dài vectơ:
• Tích vô hướng của hai vectơ: = x1x2 + y1y2 + z1z2 = hằng số;
• Hai vectơ vuông góc với nhau x1x2 + y1y2 + z1z2 = 0;
• Góc giữa hai vectơ: (với );
• Hai vectơ cùng phương với nhau
5. Áp dụng của tọa độ vectơ
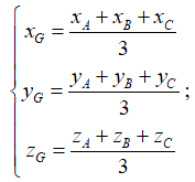
Trong không gian Oxyz, cho các điểm A (xA; yA; zA), B (xB; yB; zB), C (xC; yC; zC) ta có:
• = (xB - xA; yB - yA; zB - zA);
• Độ dài đoạn thẳng AB: AB = || = ;
• Trung điểm của đoạn AB là
• Nếu ba điểm A, B, C tạo thành một tam giác có trọng tâm là G thì
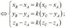
• Nếu điểm M chia AB theo tỉ số k, nghĩa là thì
• Nếu ABCD là hình bình hành thì
• Điều kiện để 3 điểm A, B, C thẳng hàng là
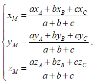
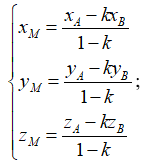
• Nếu điểm M thỏa mãn điều kiện thì
Viết tắt (a + b + c ≠ 0).
Tổng quát: Nếu M thỏa mãn điều kiện thì tọa độ M là (a1 + a2 + ... + an ≠ 0).
6. Tích có hướng của hai vectơ
6.1 Khái niệm tích có hướng của hai vectơ
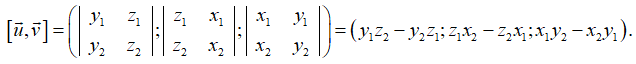
Tích có hướng của = (x1; y1; z1) và = (x2; y2; z2), kí hiệu [, ] là một vectơ và được tính như sau:
6.2 Tính chất tích có hướng của hai vectơ
• Vectơ tích có hướng vuông góc với hai vectơ thành phần:
• Độ dài của vectơ tích có hướng:
• Hai vectơ cùng phương
6.3 Ứng dụng tích có hướng của hai vectơ
• Ba vectơ đồng phẳng khi và chỉ khi:
• Ba vectơ không đồng phẳng khi và chỉ khi:
• Bốn điểm A, B, C, D đồng phẳng khi và chỉ khi:
• Bốn điểm A, B, C, D là bốn đỉnh của một tứ diện khi:
• Diện tích hình bình hành ABCD:
• Diện tích tam giác ABC:
• Thể tích khối hộp ABCD.A'B'C'D':
• Thể tích tứ diện ABCD:
II. CÁC DẠNG TOÁN VÀ PHƯƠNG PHÁP GIẢI
1. Dạng toán: Tọa độ điểm vectơ liên quan đến trục tọa độ Oxyz
1.1. Phương pháp giải
• Nắm vững các phương pháp tìm tọa độ.
• Vận dụng công thức xác định độ dài, tọa độ.
1.2. Ví dụ
Ví dụ 1. Trong không gian Oxyz, cho điểm A (2; −3; 5). Tìm tọa độ A' là điểm đối xứng với A qua trục Oy.
A. A' (2; 3; 5).
B. A' (2; −3; −5).
C. A' (−2; −3; 5).
D. A' (−2; −3; −5).
Hướng dẫn giải
Gọi H là hình chiếu vuông góc của A (2; −3; 5) lên Oy. Suy ra H (0; −3; 0).
Khi đó H là trung điểm đoạn AA' nên A' (−2; −3; −5). Chọn D.
Ví dụ 2. Trong không gian với hệ tọa độ Oxyz, cho các vectơ = (2; m - 1; 3), = (1; 3; -2n). Tìm m, n để các vectơ , cùng hướng.
A. m = 7; n = -.
B. m = 4; n = -3.
C. m = 1; n = 0.
D. m = 7; n = -.
Hướng dẫn giải
Ta có và cùng hướng
Vậy m = 7; n = -. Chọn A.
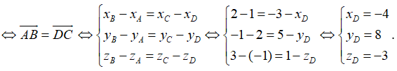
Ví dụ 3. Trong không gian với hệ trục tọa độ Oxyz, cho ba điểm A (1; 2; -1), B (2; -1; 3) và C (-3; 5; 1). Tìm tọa độ điểm D sao cho tứ giác ABCD là hình bình hành.
A. D (-2; 8; -3).
B. D (-4; 8; -5).
C.D (-2; 2; 5).
D. D (-4; 8; -3).
Hướng dẫn giải
Gọi D (xD; yD; zD) cần tìm.
Tứ giác ABCD là hình bình hành
Suy ra D (-4; 8; -3). Chọn D.
Ví dụ 4. Trong không gian với hệ tọa độ Oxyz, cho hai điểm A (0; 2; -2), B (2; 2; -4). Giả sử là tâm đường tròn ngoại tiếp tam giác OAB. Tính T = a2 + b2 + c2.
A. T = 8.
B. T = 2.
C. T = 6.
D. T = 14.
Hướng dẫn giải
Ta có = (0; 2; -2), = (2; 2; -4), (OAB) có phương trình: x + y + z = 0.
I ∈ (OAB) ⇒ a + b + c = 0.
= (a; b - 2; c + 2), = (a - 2; b - 2; c + 4), = (a; b; c).
Ta có hệ
Ta có hệ
Vậy I (2; 0; -2) ⇒ a2 + b2 + c2 = 8. Chọn A.
Ví dụ 5. Trong không gian với hệ tọa độ Oxyz, cho ba điểm A (-2; 3; 1), B (2; 1; 0), C (-3; -1; 1). Tìm tất cả các điểm D sao cho ABCD là hình thang có đáy AD và
A. D (8; 7; -1).
B.
C.
D. D (-12; -1; 3).
Hướng dẫn giải
Ta có: SABCD = (AD + BC).D (A, BC) 3BC = AD + BC AD = 2BC.
Mà ABCD là hình thang có đáy AD nên (1).
Ta có = (-5; -2; 1), = (xD + 2; yD - 3; zD - 1).
(1) Vậy D (-12; -1; 3). Chọn D.
................................
................................
................................
III. CÂU HỎI VẬN DỤNG
Dạng 1. Câu trắc nghiệm nhiều phương án chọn
Mỗi câu hỏi thí sinh chỉ chọn một phương án đúng nhất.
Câu 1. Trong không gian Oxyz, cho điểm A (3; -1; ). Hình chiếu vuông góc của điểm A trên mặt phẳng (Oyz) là điểm
A. M (3; 0; 0).
B. N (0; −1; 1).
C. P (0; −1; 0).
D. Q (0; 0; 1).
Câu 2. Trong không gian với hệ trục tọa độ Oxyz, cho điểm M (x; y; z). Trong các mệnh đề sau, mệnh đề nào đúng?
A. Nếu M' đối xứng với M qua mặt phẳng (Oxz) thì M' (x; y; -z).
B. Nếu M' đối xứng với M qua Oy thì M' (x; y; -z).
C. Nếu M' đối xứng với M qua mặt phẳng (Oxy) thì M' (x; y; -z).
D. Nếu M' đối xứng với M qua gốc tọa độ O thì M' (2x; 2y; 0).
Câu 3. Trong không gian với hệ tọa độ Oxyz, cho hai điểm A (-1; 5; 3) và M (2; 1; -2). Tọa độ điểm B biết M là trung điểm của AB là
A.
B. B (-4; 9; 8).
C. B (5; 3; -7).
D. B (5; -3; -7).
Câu 4. Trong không gian Oxyz, tính diện tích S của tam giác ABC, biết A (2; 0; 0), B (0; 3; 0) và C (0; 0; 4).
A.
B.
C.
D.
Câu 5. Trong hệ trục tọa độ Oxyz, cho O (0; 0; 0), A (0; 1; −2), B (1; 2; 1), C (4; 3; m). Tất cả giá trị của m để 4 điểm O, A, B, C đồng phẳng?
A. m = 14.
B. m = −14.
C. m = 7.
D. m = −7.
................................
................................
................................
Dạng 2. Câu trắc nghiệm trả lời ngắn
Câu 16. Trong không gian với hệ tọa độ Oxyz, cho các vectơ , = (m; 2; m + 1) với m là tham số thực. Có bao nhiêu giá trị của m để || = ||.
Điền đáp án |
Câu 17. Trong không gian với hệ tọa độ Oxyz, cho điểm A (1; -2; 0), B (1; 0; -1), C (0; -1; 2), D (-2; m; n). Biết m và n là các giá trị để bốn điểm A, B, C, D đồng phẳng, hãy tính giá trị của biểu thức m + 2n.
Điền đáp án |
................................
................................
................................
Dạng 3. Câu trắc nghiệm đúng sai
Trong mỗi ý a), b), c), d) ở mỗi câu, thí sinh chọn đúng hoặc sai.
Câu 19. Trong không gian với hệ Oxyz, cho ba điểm A (0; 1; 2), B (1; 1; 3), C (1; -1; 4)
a) Tọa độ D trên (Oxy) sao cho BD song song với AC là D (1; 0; 1)
b) Tọa độ điểm E (-1; 0; 0) trên Ox sao cho DE vuông góc với AB.
c) Diện tích tam giác ABC là
d) Cho CF là phân giác trong của tam giác ABC, ta có
................................
................................
................................
(Ôn thi ĐGNL, ĐGTD) Phương trình mặt phẳng
I. LÝ THUYẾT CẦN NHỚ
Phương trình tổng quát của mặt phẳng
• Vectơ pháp tuyến của mặt phẳng (P) là vectơ có giá vuông góc với (P).
Nếu là một vectơ pháp tuyến của (P) thì k. cũng là một vectơ pháp tuyến của (P).
• Nếu mặt phẳng (P) có cặp vectơ chỉ phương là thì (P) có vectơ pháp tuyến là
• Trong không gian Oxyz, một mặt phẳng bất kỳ đều có phương trình dạng Ax + By + Cz + D = 0, mặt phẳng này có vectơ pháp tuyến = (A; B; C) với A, B, C không đồng thời bằng 0 (A2 + B2 + C2 > 0).
• Mặt phẳng trung trực của đoạn thẳng AB là mặt phẳng vuông góc với đoạn thẳng AB tại trung điểm I của AB.
II. CÁC DẠNG TOÁN VÀ PHƯƠNG PHÁP GIẢI
1. Dạng toán: Xác định vectơ pháp tuyến của mặt phẳng, tìm điểm thuộc mặt phẳng
1.1. Phương pháp giải
Xác định vectơ pháp tuyến của mặt phẳng (P) là tìm một vectơ vuông góc với (P).
+ Nếu (P) có phương trình Ax + By + Cz + D = 0 (A2 + B2 + C2 > 0) thì = (A; B; C) là một vectơ pháp tuyến của (P).
+ Nếu có hai vectơ có giá song song hoặc nằm trên (P) thì một vectơ pháp tuyến của (P) là [].
+ Điểm M (x0; y0; z0) ∈ (P): Ax + By + Cz + D = 0 khi và chì khi tọa độ của M thỏa mãn phương trình của (P), tức là Ax0 + By0 + Cz0 + D = 0
1.2. Ví dụ
Ví dụ 1. Trong không gian với hệ tọa độ Oxyz, cho ba điểm M (1; 0; 3), N (2; 0; 1), P (2; 3; 3). Xác định một vectơ pháp tuyến của mặt phẳng (MNP).
Hướng dẫn giải
Vì mặt phẳng (MNP) nhận và là hai vectơ chỉ phương nên mặt phẳng (MNP) nhận [, ] là một vectơ pháp tuyến.
Ta có = (1; 0; -2); = (1; 3; 0) ⇒ [, ] = (6; -2; 3).
Vậy mặt phẳng (MNP) có một vectơ pháp tuyến là = (6; -2; 3).
Ví dụ 2. Cho mặt phẳng (P): 2x + 3y + z + 2 = 0. Trong những điểm sau, điểm nào thuộc mặt phẳng (P), điểm nào không thuộc mặt phẳng (P): M (0; 0; -2), N (1; 1; -7), M (-1; -2; 5).
Hướng dẫn giải
Thay tọa độ từng điểm vào phương trình mặt phẳng ta có:
+) 2.0 + 3.0 + (-2) + 2 = 0 nên M (0; 0; -2) ∈ (P).
+) 2.1 + 3.1 + (-7) + 2 = 0 nên N (1; 1; -7) ∈ (P).
+) 2.(-1) + 3.(-2) + 5 + 2 = -1 ≠ 0 nên P (-1; -2; 5) (P).
................................
................................
................................
III. CÂU HỎI VẬN DỤNG
Dạng 1. Câu trắc nghiệm nhiều phương án chọn
Mỗi câu hỏi thí sinh chỉ chọn một phương án đúng nhất.
Câu 1. Trong không gian Oxyz, gọi M, N, P lần lượt là hình chiếu vuông góc của A (2; -3; 1) lên các mặt phẳng tọa độ. Phương trình mặt phẳng (MNP) là
A.
B. 3x - 2y + 6z = 6.
C.
D. 3x - 2y + 6z - 12 = 0.
Câu 2. Trong không gian Oxyz, cho ba mặt phẳng (P): x + y + z - 1 = 0, (Q): 2y + z - 5 = 0 và (R): x - y + z - 2 = 0. Gọi () là mặt phẳng qua giao tuyến của (P) và (Q), đồng thời vuông góc với (R) . Phương trình của () là
A. 2x + 3y - 5z + 5 = 0.
B. x + 3y + 2z - 6 = 0.
C. x + 3y + 2z + 6 = 0.
D. 2x + 3y - 5z - 5 = 0.
Câu 3. Trong không gian Oxyz, phương trình của mặt phẳng (P) đi qua điểm B (2; 1; -3), đồng thời vuông góc với hai mặt phẳng (Q): x + y + 3z = 0, (R): 2x - y + z = 0 là
A. 4x + 5y - 3z + 22 = 0.
B. 4x - 5y - 3z - 12 = 0.
C. 2x + y - 3z - 14 = 0.
D. 4x + 5y - 3z - 22 = 0.
Câu 4. Trong không gian với hệ tọa độ Oxyz, cho các điểm A (0; 1; 2), B (2; -2; 0), C (-2; 0; -1). Mặt phẳng (P) đi qua A, trực tâm H của tam giác ABC và vuông góc với mặt phẳng (ABC) có phương trình là
A. 4x - 2y - z + 4 = 0.
B. 4x - 2y + z + 4 = 0.
C. 4x + 2y + z - 4 = 0.
D. 4x + 2y - z + 4 = 0.
Câu 5. Trong không gian Oxyz, cho điểm M (1; 2; 3). Viết phương trình mặt phẳng (P) đi qua điểm M và cắt các trục tọa độ Ox, Oy, Oz lần lượt tại A, B, C sao cho M là trọng tâm của tam giác ABC.
A. (P): 6x + 3y + 2z + 18 = 0.
B. (P): 6x + 3y + 2z + 6 = 0.
C. (P): 6x + 3y + 2z - 18 = 0.
D. (P): 6x + 3y + 2z - 6 = 0.
................................
................................
................................
Dạng 2. Câu trắc nghiệm trả lời ngắn
Câu 16. Biết rằng trong không gian với hệ tọa độ Oxyz có hai mặt phẳng (P) và (Q) cùng thỏa mãn các điều kiện sau: đi qua hai điểm A (1; 1; 1) và B (0; -2; 2), đồng thời cắt các trục tọa độ Ox, Oy tại hai điểm cách đều O. Giả sử mặt phẳng (P) có phương trình x + b1y + c1z + d1 = 0 và mặt phẳng (Q) có phương trình x + b2y + c2z + d2 = 0. Giá trị biểu thức b1b2 + c1c2 là:
Điền đáp án |
Câu 17. Trong không gian với hệ trục tọa độ Oxyz, cho tứ diện ABCD có điểm A (1; 1; 1), B (2; 0; 2), C (-1; -1; 0), D (0; 3; 4). Trên các cạnh AB, AC, AD lần lượt lấy các điểm B', C', D' thỏa mãn Phương trình mặt phẳng (B'C'D') khi tứ diện AB'C'D' có thể tích nhỏ nhất có dạng ax + by + cz + d = 0. Tính giá trị biểu thức a + b + c + d.
Điền đáp án |
................................
................................
................................
Dạng 3. Câu trắc nghiệm đúng sai
Trong mỗi ý a), b), c), d) ở mỗi câu, thí sinh chọn đúng hoặc sai.
Câu 19. Trong không gian Oxyz, cho điểm I (1; -1; 0). Gọi (P) là mặt phẳng vuông góc với hai mặt phẳng (Q): x + y + 3z = 0, (R): 2x - y + z = 0 và cách I một khoảng bằng
a) Hai mặt phẳng (Q) và (R) song song với nhau vì cùng vuông góc với (P).
b) (P) nhận (1; 1; 3) và (2; -1; 1) là một cặp vectơ chỉ phương.
c) (P) nhận = (4; 5; -3) là một vectơ pháp tuyến.
d) Phương trình mặt phẳng (P): 4x + 5y - 3z + 11 = 0 là hoặc 4x + 5y - 3z + 9 = 0.
................................
................................
................................
(Ôn thi ĐGNL, ĐGTD) Phương trình đường thẳng
I. LÝ THUYẾT CẦN NHỚ
Phương trình tham số của đường thẳng
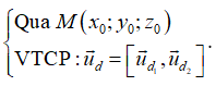
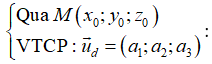
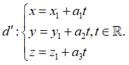
• Cho đường thẳng . Vectơ gọi là vectơ chỉ phương của đường thẳng nếu giá của song song hoặc trùng với .
Phương trình tham số của đường thẳng đi qua điểm M0 (x0; y0; z0) và có vectơ chỉ phương
• Nếu u1, u2, u3 đều khác 0, phương trình đường thẳng viết dưới dạng chính tắc như sau:
• Ngoài ra, đường thẳng còn có dạng tổng quát là với A1, B1, C1, A2, B2, C2 thỏa mãn
* Lưu ý: Nếu là vectơ chỉ phương của thì cũng là vectơ chỉ phương của .
II. CÁC DẠNG TOÁN VÀ PHƯƠNG PHÁP GIẢI
1. Dạng toán: Lập phương trình đường thẳng
1.1. Viết phương trình đường thẳng biết một điểm thuộc đường thẳng và vectơ chỉ phương
1.1.1. Phương pháp giải
Xác định vectơ chỉ phương của đường thẳng d là tìm một vectơ có giá song song hoặc trùng với đường thẳng d.
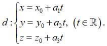
Nếu d:
+ Phương trình đường thẳng d dạng tham số là
+ Phương trình đường thẳng d dạng chính tắc là , (a1a2a3 ≠ 0).
1.1.2. Ví dụ
Ví dụ 1. Trong không gian Oxyz, cho ba điểm A (1; 0; 1), B (1; 1; 0), C (3; 4; -1). Viết phương trình đường thẳng đi qua A và song song với BC.
Hướng dẫn giải
Đường thẳng d đi qua A và song song với BC nhận = (2; 3; -1) làm một vectơ chỉ phương.
Phương trình của đường thẳng
Ví dụ 2. Viết phương trình đường thẳng d đi qua M (1; 1; 0) và vuông góc với mặt phẳng (P): 2x - y + 3z + 1 = 0.
Hướng dẫn giải
Đường thẳng d vuông góc với (P) nên d nhận = (2; -1; 3) là một vectơ chỉ phương. Mặt khác d đi qua M (1; 1; 0) nên d có phương trình
1.2. Viết phương trình đường thẳng sử dụng tích có hướng để tìm vectơ chỉ phương
1.2.1. Viết phương trình đuờng thẳng đi qua một điểm và vuông góc với hai đường thẳng cho trước
1.2.1.1. Phương pháp giải
Đường thẳng d qua M (x0; y0; z0) và Ta có d:
1.2.1.2. Ví dụ
Ví dụ 1. Trong không gian Oxyz, cho điểm M (-1; 1; 3) và hai đường thẳng Viết phương trình đường thẳng qua M, vuông góc với và '.
Hướng dẫn giải
VTCP của , ' lần lượt là = (3; 2; 1) và = (1; 3; -2). Ta có [, ] = (-7; 7; 7).
Vì d vuông góc với và ' nên = (-1; 1; 1).
d đi qua M (-1; 1; 3) nên
1.2.2. Viết phương trình đường thẳng đi qua một điểm và song song với hai mặt phẳng cho trước
1.2.2.1. Phương pháp giải
Đường thẳng d qua M (x0; y0; z0) và d // (P), d // (Q). Ta có d:
1.2.2.2. Ví dụ
Ví dụ 1. Trong không gian với hệ tọa độ Oxyz, cho điểm A (1; -2; 3) và hai mặt phẳng (P): x + y +z + 1 = 0, (Q): x - y +z - 2 = 0. Viết phương trình đường thẳng qua A, song song với (P) và (Q).
Hướng dẫn giải
Ta có và [] = (2; 0; -2).
Vì đường thẳng d song song với hai mặt phẳng (P) và (Q), nên d có vectơ chỉ phương = (1; 0; -1).
Đường thẳng d đi qua A (1; -2; 3) nên có phương trình:
1.2.3. Viết phương trình đuờng thẳng đi qua một điểm, song song với một mặt phẳng và vuông góc với một đường thẳng cho trước
1.2.3.1. Phương pháp giải
Đường thẳng d qua M (x0; y0; z0) và d // (P), d . Ta có d:
1.2.3.2. Ví dụ
Ví dụ 1. Trong không gian với hệ tọa độ Oxyz, cho điểm M (1; -3; 4), đường thẳng d có phương trình: và mặt phẳng (P): 2x +z - 2 = 0. Viết phương trình đường thẳng qua M, vuông góc với d và song song với (P).
Hướng dẫn giải
Ta có = (3; -5; -1) là vectơ chỉ phương của d; = (2; 0; 1) là vectơ pháp tuyến của (P).
Ta có [] = (-5; -5; 10).
Do vuông góc với d và song song với (P) nên = (1; 1; -2) là vectơ chỉ phương của .
Khi đó, phương trình của là
1.3. Viết phương trình đường thẳng là giao tuyến của hai mặt phẳng cho trước
1.3.1. Phương pháp giải
Đường thẳng d là giao tuyến của (P): a1x + b1y + c1z + d1 = 0 và (Q): a2x + b2y + c2z + d2 = 0.
Ta có các điểm thuộc d có tọa độ thỏa mãn hệ:
Cho x (hoặc y, z) một giá trị cụ thể, giải hệ tìm được điểm A ∈ d, lặp lại bước này để tìm một điểm B ∈ d.
Khi đó, ta có
1.3.2. Ví dụ
Ví dụ 1. Trong không gian với hệ tọa độ Oxyz, viết phương trình đường thẳng giao tuyến của hai mặt phẳng (): x + 3y - z + 1 = 0; (): 2x - y + z - 7 = 0.
Hướng dẫn giải
Tọa độ các điểm thuộc giao tuyến d của hai mặt phẳng thỏa mãn hệ phương trình:
Vậy đường thẳng d đi qua A (2; 0; 3) và nhận = (-2; 3; 7) làm vectơ chỉ phương có phương trình chính tắc là:
1.4. Viết phương trình đường thẳng đi qua một điểm, cắt và vuông góc với một đường thẳng cho trước
1.4.1. Phương pháp giải
Viết phương trình đường thẳng d qua A, cắt và vuông góc với d' cho trước với
• Cách 1:
Viết phương trình mặt phẳng (P) qua A, vuông góc d'.
Nghĩa là mặt phẳng
Tìm B = d' (P). Suy ra đường thẳng d qua A và B.
* Lưu ý: Trường hợp d' là các trục tọa độ thì d AB, với B là hình chiếu của A lên trục.
• Cách 2:
Giả sử d d' = B, (B ∈ d', B ∈ d); B (x1 + a1t; y1 + a2t; z1 + a3t) ∈ d'.
Vì tìm t ⇒ tìm ra B.
Đường thẳng d qua A và B.
1.4.2. Ví dụ
Ví dụ 1. Trong không gian Oxyz, cho điểm A (0; 1; -1) và đường thẳng Viết phương trình đường thẳng đi qua điểm A, vuông góc và cắt đường thẳng d.
Hướng dẫn giải
Gọi B là giao điểm của đường thẳng d và đường thẳng .
Đường thẳng d có phương trình tham số
B ∈ d ⇒ B (-3 + 4t; 1 - t; 3 - 4t); = (-3 + 4t; -t; 4 - 4t).
Đường thẳng d có vectơ chỉ phương = (4; -1; -4).
Ta có 4.(-3 + 4t) - 1.(-t) - 4.(4 - 4t) = 0
Khi đó,
Đường thẳng đi qua điểm A (0; 1; -1) và nhận vectơ hay = (13; -28; 20) có phương trình chính tắc là
Ví dụ 2. Trong không gian với hệ tọa độ Oxyz, cho A (1; -1; 3) và hai đường thẳng Viết phương trình đường thẳng d qua A, vuông góc với d1 và cắt d2.
Hướng dẫn giải
Gọi (P) là mặt phẳng qua A vuông góc với đường thẳng d1.
Đường thẳng d1 có vectơ chỉ phương là = (1; 4; -2) nên một vectơ pháp tuyến của mặt phẳng (P) là: = (1; 4; -2).
Suy ra, phương trình mặt phẳng (P) là: 1(x - 1) + 4(y + 1) - 2(z - 3) x + 4y - 2z + 9 = 0.
Gọi giao điểm của đường thẳng d2 và mặt phẳng (P) là điểm B.
Do B thuộc d2 nên tọa độ B (2 + t;-1 - t; 1 + t). Thay tọa độ điểm B vào phương trình mặt phẳng (P) ta được 2 + t + 4(-1 - t) - 2(1 + t) + 9 = 0 t = 1 ⇒ B (3; -2; 2).
Đường thẳng d cần tìm là đường thẳng AB: Đi qua A (1; -1; 3) nhận vectơ = (2; -1; -1) làm VTCP.
Vậy phương trình đường thẳng
1.5. Viết phương trình đường thẳng cắt hai đường thẳng cho trước
1.5.1. Phương pháp giải
Viết phương trình đường thẳng d thỏa mãn một điều kiện và cắt hai đường thẳng d1 và d2 cho trước
Gọi A = d d1, B = d d2, ta có A (x1 + a1t; y1 + b1t; z1 + c1t), B (x2 + a2k; y2 + b2k; z2 + c2k).
Tìm vectơ , cho vectơ thỏa mãn điều kiện cho trước. Đường thẳng d qua A và B.
1.5.2. Ví dụ
Ví dụ 1. Trong không gian Oxyz, cho hai đường thẳng , và mặt phẳng (P): x + 2y + 3z - 5 = 0. Viết phương trình đường thẳng vuông góc với (P), cắt d1 và d2.
Hướng dẫn giải
Gọi đường thẳng cần tìm là .
Giả sử đường thẳng cắt đường thẳng d1 và d2 lần lượt tại A, B.
Gọi A (3 - t1; 3 - 2t1; -2 + t1), B (5 - 3t2; -1 + 2t2; 2 + t2).
Ta có = (2 - 3t2 + t1; -4 + 2t2 + 2t1; 4 + t2 - t1).
Vectơ pháp tuyến của (P) là = (1; 2; 3).
Do và cùng phương nên
Do đó A (1; -1; 0).
Phương trình đường thẳng đi qua A (1; -1; 0) và có vectơ chỉ phương = (1; 2; 3) là
Ví dụ 2. Trong không gian Oxyz, cho hai đường thẳng và mặt phẳng (P): x - y - 2z + 3 = 0. Biết đường thẳng nằm trên mặt phẳng (P) và cắt hai đường thẳng d1, d2. Viết phương trình chính tắc của .
Hướng dẫn giải
Gọi A, B lần lượt là giao điểm của với d1, d2.
Do suy ra A, B cũng chính là giao điểm của (P) với d1, d2.
Ta có
Khi đó
Vậy
1.6. Viết phương trình đường thẳng là đường vuông góc chung của hai đường thẳng chéo nhau
1.6.1. Phương pháp giải
Viết phương trình đường thẳng d là đường vuông góc chung của d1 và d2 với:
Gọi A = d d1, B = d d2, ta có A (x1 + a1t; y1 + b1t; z1 + c1t), B (x2 + a2k; y2 + b2k; z2 + c2k).
Ta có
Giải hệ trên để tìm t, k, từ đó tìm A, B. Đường thẳng d đi qua hai điểm A và B.
1.6.2. Ví dụ
Ví dụ 1. Cho hai đường thẳng và Đường thẳng là đường vuông góc chung của (d1) và (d2). Viết phương trình của đường thẳng .
Hướng dẫn giải
Lấy điểm M ∈ (d1): M (2 + t1; 1 + t1; 1 + t1), N ∈ (d2): N (t2; 7 - 3t2; -t2).
Ta có = (t2 - t1 - 2; -3t2 - t1 + 6; -t2 - t1 - 1).
Đường thẳng MN là đường vuông góc chung
Suy ra M (1; 0; 0), N (2; 1; -2) và = (1; 1; -2).
Phương trình đường thẳng đi qua M, N là:
1.7. Viết phương trình đường thẳng là hình chiếu của một đường thẳng lên một mặt phẳng
1.7.1. Phương pháp giải
Viết phương trình đường thẳng d là hình chiếu vuông góc của đường thẳng lên mặt phẳng (P).
Xét vị trí tương đối của đường thẳng và (P).
• Nếu // (P).
Chọn một điểm M trên .
Tìm H là hình chiếu của M lên (P).
Hình chiếu
• Nếu
Chọn một điểm M ≠ I trên .
Tìm H là hình chiếu của M lên (P).
Hình chiếu vuông góc của lên (P) là d IH.
1.7.2. Ví dụ
Ví dụ 1. Trong không gian với hệ tọa độ Oxyz, cho đường thẳng Viết phương trình hình chiếu vuông góc của d trên mặt phẳng x + 3 = 0.
Hướng dẫn giải
Ta có M ∈ d ⇒ M (1 + 2t; -5 - t; 3 + 4t). Gọi M' là hình chiếu của M trên (P): x + 3 = 0.
Suy ra M' (-3; -5 - t; 3 + 4t). Suy ra
1.8. Viết phương trình đường thẳng đối xứng với một đường thẳng qua một mặt phẳng
1.8.1. Phương pháp giải
Viết đường thẳng d là đường thẳng đối xứng với đường thẳng qua mặt phẳng (P).
Phương pháp: Xét vị trí tương đối của đường thẳng và (P).
• Nếu // (P).
Chọn một điểm M trên .
Tìm H là hình chiếu của M lên (P).
Tìm M' đối xứng với M qua (P).
Đường thẳng đối xứng
• Nếu
Chọn một điểm M trên .
Tìm H là hình chiếu của M lên (P).
Tìm M' đối xứng với M qua (P).
Đường thẳng đối xứng
1.8.2. Ví dụ
Ví dụ 1. Trong không gian với hệ trục tọa độ Oxyz, cho mặt phẳng (): 2x + y + z - 3 = 0 và đường thẳng Viết phương trình đường thẳng d' đối xứng với đường thẳng d qua mặt phẳng ().
Hướng dẫn giải
Mặt phẳng (): 2x + y + z - 3 = 0 có vectơ pháp tuyến = (2; 1; 1).
Gọi tọa độ giao điểm của d và () là I thì I (-22; 39; 8).
Lấy A (-4; 3; 2) ∈ d. Gọi là đường thẳng đi qua A và vuông góc với ().
Suy ra phương trình đường thẳng là
Gọi H là hình chiếu của A lên () thì H (-2; 4; 3).
A' đối xứng với A qua () H là trung điểm AA' ⇒ A' (0; 5; 4).
Đường thẳng d' đối xứng với đường thẳng d qua mặt phẳng () ⇒ d' đi qua điểm I, A' có vectơ chỉ phương = (22; -34; -4) = 2 (11; -17; -2) có phương trình là:
................................
................................
................................
III. CÂU HỎI VẬN DỤNG
Dạng 1. Câu trắc nghiệm nhiều phương án chọn
Mỗi câu hỏi thí sinh chỉ chọn một phương án đúng nhất.
Câu 1. Trong không gian với hệ tọa độ Oxyz, vectơ chỉ phương của đường thẳng vuông góc với mặt phẳng đi qua ba điểm A (1; 2; 4), B (-2; 3; 5), C (-9; 7; 6) có tọa độ là:
A. (3; 4; 5).
B. (-3; 4; -5).
C. (3; -4; 5).
D. (3; 4; -5).
Câu 2. Trong không gian với hệ tọa độ Oxyz, cho tam giác ABC có phương trình đường phân giác trong góc A là: Biết rằng điểm M (0; 5; 3) thuộc đường thẳng AB và điểm N (1; 1; 0) thuộc đường thẳng AC. Vectơ nào sau đây là vectơ chỉ phương của đường thẳng AC.
A. = (0; 1; -3).
B. = (1; 2; 3).
C. = (0; 1; 3).
D. = (0; -2; 6).
Câu 3. Trong không gian với hệ tọa độ Oxyz, cho A (4; -2; 3), đường thẳng d đi qua A cắt và vuông góc với có một vectơ chỉ phương là
A. = (5; 2; 15).
B. = (1; 0; 3).
C. = (4; 3; 12).
D. = (-2; 15; -6).
Câu 4. Cho mặt phẳng () và đường thẳng không vuông góc với (). Gọi , lần lượt là vectơ chỉ phương của và vectơ pháp tuyến của () . Đâu là vectơ chỉ phương của đường thẳng ' là hình chiếu của trên ()?
A.
B.
C.
D.
Câu 5. Trong không gian với hệ tọa độ Oxyz, cho đường thẳng và mặt phẳng (): x + y + z - 1 = 0. Gọi d là đường thẳng nằm trên () đồng thời cắt đường thẳng và trục Oz. Một vectơ chỉ phương của d là
A. = (1; 1; -2).
B. = (1; 2; -3).
C. = (1; -2; 1).
D. = (2; -1; -1).
................................
................................
................................
Dạng 2. Câu trắc nghiệm trả lời ngắn
Câu 16. Trong không gian Oxyz, cho tam giác ABC có A (2; 3; 3), phương trình đường trung tuyến kẻ từ B là , phương trình đường phân giác trong của góc C là Đường thẳng AB có vectơ chỉ phương là (a; 1; c). Giá trị của a + c là:
Điền đáp án |
Câu 17. Trong không gian với hệ tọa độ Oxyz, cho hai điểm A (-3; 0; 1), B (1; -1; 3) và mặt phẳng (P): x - 2y + 2z - 5 = 0. Đường thẳng d đi qua A, song song với mặt phẳng (P) sao cho khoảng cách từ B đến d nhỏ nhất có vectơ chỉ phương là (a; b; -2). Giá trị của biểu thức S = a - b là:
Điền đáp án |
................................
................................
................................
Dạng 3. Câu trắc nghiệm đúng sai
Trong mỗi ý a), b), c), d) ở mỗi câu, thí sinh chọn đúng hoặc sai.
Câu 19. Trong không gian với hệ tọa độ Oxyz, cho các đường thẳng và mặt phẳng (P): x + 3y - 2z + 1 = 0.
a) Vectơ chỉ phương của đường thẳng là = (1; -3; 4).
b) Đường thẳng d1 vuông góc với (P) có vectơ chỉ phương là = (1; 3; -2).
c) Đường thẳng d2 vuông góc với và song song với mặt phẳng (Oxy) có vectơ chỉ phương là = (3; -3; 2).
d) Đường thẳng d3 qua A (1; -1; 2), cắt và vuông góc với trục Oz có vectơ chỉ phương là = (-1; -1; 0).
................................
................................
................................
(Ôn thi ĐGNL, ĐGTD) Phương trình mặt cầu
I. LÝ THUYẾT CẦN NHỚ
• Trong không gian Oxyz, mặt cầu (S) có tâm I (a; b; c), bán kính R (R > 0) có phương trình dạng chính tắc là (x - a)2 + (y - b)2 + (z - c)2 = R2.
• Phương trình mặt cầu (S) dạng khai triển:
x2 + y2 + z2 - 2ax - 2by - 2cz + d = 0,
với a2 + b2 + c2 - d > 0.
Khi đó I (a; b; c) là tâm và là bán kính của mặt cầu.
II. CÁC DẠNG TOÁN VÀ PHƯƠNG PHÁP GIẢI
1. Dạng toán: Xác định tâm, bán kính, nhận dạng mặt cầu
1.1. Phương pháp giải
• Mặt cầu dạng chính tắc: (x - a)2 + (y - b)2 + (z - c)2 = R2, có tâm I (a; b; c), bán kính R.
• Mặt cầu dạng khai triển: x2 + y2 + z2 - 2ax - 2by - 2cz + d = 0, điều kiện a2 + b2 + c2 - d > 0, có tâm I (a; b; c), bán kính
1.2. Ví dụ
Ví dụ 1. Trong không gian với Oxyz, cho mặt cầu (S) có phương trình x2 + y2 + z2 + 4x - 2y - 4 = 0. Tính bán kính R của (S).
Hướng dẫn giải
Ta có x2 + y2 + z2 + 4x - 2y - 4 = 0.
Khi đó, a = -2, b = 1, c = 0, d = -4. Bán kính
Ví dụ 2. Trong không gian Oxyz, cho mặt cầu (S): x2 + (y - 1)2 + z2 = 2. Trong các điểm cho dưới đây, điểm nào nằm ngoài mặt cầu (S)?
A. M (1; 1; 1).
B. N (0; 1; 0).
C. P (1; 0; 1).
D. Q (1; 1; 0).
Hướng dẫn giải
Tâm I (0; 1; 0), = (1; -1; 1) = R.
Vậy điểm P (1; 0; 1) nằm ngoài mặt cầu. Chọn C.
Ví dụ 3. Trong không gian với hệ trục tọa độ Oxyz, tìm tất cả các giá trị của m để phương trình x2 + y2 + z2 + 4x - 2y + 2z + m = 0 là phương trình của một mặt cầu.
A. m ≤ 6.
B. m < 6.
C. m > 6.
D. m ≥ 6.
Hướng dẫn giải
Điều kiện để phương trình trên là phương trình mặt cầu là
a2 + b2 + c2 - d > 0 (-2)2 + 12 + (-1)2 - m > 0 m < 6. Chọn B.
................................
................................
................................
III. CÂU HỎI VẬN DỤNG
Dạng 1. Câu trắc nghiệm nhiều phương án chọn
Mỗi câu hỏi thí sinh chỉ chọn một phương án đúng nhất.
Câu 1. Trong không gian với hệ tọa độ Oxyz, cho mặt phẳng (P): 2x - 2y - z + 9 = 0 và mặt cầu (S): (x - 3)2 + (y + 2)2 + (z - 1)2 = 100. Mặt phẳng (P) cắt mặt cầu (S) theo một đường tròn (C). Tìm tọa độ tâm K và bán kính r của đường tròn (C).
A. K (1; -2; 3), r = 8.
B. K (1; 2; 3), r = 6.
C. K (3; -2; 1), r = 10.
D. K (-1; 2; 3), r = 8.
Câu 2. Trong không gian với hệ tọa độ Oxyz, cho mặt cầu (S) có tâm I (1; -1; 2) và đường thẳng Đường thẳng d cắt mặt cầu (S) tại hai điểm A và B với AB = 10. Viết phương trình của mặt cầu (S).
A. (S): (x - 1)2 + (y - 1)2 + (z - 2)2 = 31.
B. (S): (x - 1)2 + (y - 1)2 + (z - 2)2 = 31.
C. (S): (x - 1)2 + (y + 1)2 + (z - 2)2 = 27.
D. (S): (x + 1)2 + (y - 1)2 + (z + 2)2 = 27.
Câu 3. Gọi S là tập hợp tất cả các giá trị nguyên của m để phương trình x2 + y2 + z2 - 2(m + 2)x + 4my - 2mz + 7m2 - 1 = 0 là phương trình mặt cầu. Số phần tử của S là
A. 6.
B. 7.
C. 4.
D. 5.
Câu 4. Trong không gian Oxyz, cho các điểm A (3; 0; 0), B (0; 3; 0), C (0; 0; 3). Gọi (S) là mặt cầu có đường tròn lớn cũng là đường tròn ngoại tiếp tam giác ABC. Mệnh đề nào sau đây đúng.
A. Điểm O nằm trên (S).
B. Điểm O nằm trong (S).
C. Điểm O nằm ngoài (S).
D. Điểm O là tâm của (S).
Câu 5. Tìm mệnh đề sai trong các mệnh đề sau:
A. Mặt cầu (S) có phương trình (x - a)2 + (y - b)2 + (z - c)2 = R2 tiếp xúc với trục Ox thì bán kính mặt cầu (S) là
B. Mặt cầu tâm I (2; -3; -4) tiếp xúc với mặt phẳng (Oxy) có phương trình x2 + y2 + z2 - 4x + 6y + 8z + 12 = 0.
C. Mặt cầu (S) có phương trình x2 + y2 + z2 - 2x - 4y - 6z = 0 cắt trục Ox tại A (khác gốc tọa độ O). Khi đó tọa độ là A (2; 0; 0).
D. x2 + y2 + z2 + 2x - 2y - 2z + 10 = 0 là phương trình mặt cầu.
................................
................................
................................
Dạng 2. Câu trắc nghiệm trả lời ngắn
Câu 16. Trong không gian Oxyz, cho mặt cầu (S): (x - 1)2 + (y - 1)2 + (z - 1)2 = 12 và mặt phẳng (P): x - 2y + 2z + 11 = 0. Xét điểm M di động trên (P) và các điểm phân biệt di động trên (S) sao cho AM, BM, CM là các tiếp tuyến của (S). Mặt phẳng luôn đi qua một điểm cố định có tọa độ (0; a; b). Giá trị của a + b là:
Điền đáp án |
Câu 17. Trong không gian với hệ tọa độ Oxyz, cho mặt cầu (S): (x - 1)2 + (y + 1)2 + (z - 2)2 = 9 và điểm M (1; 3; -1). Biết rằng các tiếp điểm của các tiếp tuyến kẻ từ M tới mặt cầu đã cho luôn thuộc một đường tròn (C) có tâm J (a; b; c). Giá trị a + 25b + 25c bằng:
Điền đáp án |
................................
................................
................................
Dạng 3. Câu trắc nghiệm đúng sai
Trong mỗi ý a), b), c), d) ở mỗi câu, thí sinh chọn đúng hoặc sai.
Câu 19. Trong không gian Oxyz, cho mặt cầu (S): (x - 1)2 + (y - 2)2 + (z - 3)2 = 9 và mặt phẳng (P): 2x - 2y + z + 3 = 0. Gọi M (a; b; c) là điểm trên mặt cầu (S) sao cho khoảng cách từ M đến (P) là lớn nhất.
a) Mặt cầu (S) có tâm I (1; 2; -3) và bán kính R = 3.
b) Mặt phẳng (P) cắt mặt cầu (S) theo giao tuyến là một đường tròn.
c) Khoảng cách từ điểm M đến mặt phẳng (P) là
d) Giá trị của biểu thức T = a + b + c = 7.
................................
................................
................................
Xem thử Tài liệu & Đề thi HSA Xem thử Tài liệu & Đề thi VACT Xem thử Tài liệu & Đề thi TSA Xem thử Tài liệu & Đề thi SPT
Xem thêm tài liệu ôn thi đánh giá năng lực HSA, VACT, đánh giá tư duy TSA hay khác:
- (Ôn thi ĐGNL HSA) Chuyên đề: Góc, khoảng cách trong không gian
- (Ôn thi ĐGNL HSA) Chuyên đề: Thể tích của một số hình khối
- (Ôn thi ĐGNL HSA) Chuyên đề: Ứng dụng đạo hàm để khảo sát và vẽ đồ thị hàm số
- (Ôn thi ĐGNL HSA) Chuyên đề: Nguyên hàm - Tích phân
- (Ôn thi ĐGNL HSA) Chuyên đề: Thống kê và xác suất
- (Ôn thi ĐGNL HSA) Chuyên đề: Một số câu hỏi trích trong các đề thi tham khảo
Đã có app VietJack trên điện thoại, giải bài tập SGK, SBT Soạn văn, Văn mẫu, Thi online, Bài giảng....miễn phí. Tải ngay ứng dụng trên Android và iOS.
Theo dõi chúng tôi miễn phí trên mạng xã hội facebook và youtube:Nếu thấy hay, hãy động viên và chia sẻ nhé! Các bình luận không phù hợp với nội quy bình luận trang web sẽ bị cấm bình luận vĩnh viễn.
- Giải Tiếng Anh 12 Global Success
- Giải sgk Tiếng Anh 12 Smart World
- Giải sgk Tiếng Anh 12 Friends Global
- Lớp 12 Kết nối tri thức
- Soạn văn 12 (hay nhất) - KNTT
- Soạn văn 12 (ngắn nhất) - KNTT
- Giải sgk Toán 12 - KNTT
- Giải sgk Vật Lí 12 - KNTT
- Giải sgk Hóa học 12 - KNTT
- Giải sgk Sinh học 12 - KNTT
- Giải sgk Lịch Sử 12 - KNTT
- Giải sgk Địa Lí 12 - KNTT
- Giải sgk Giáo dục KTPL 12 - KNTT
- Giải sgk Tin học 12 - KNTT
- Giải sgk Công nghệ 12 - KNTT
- Giải sgk Hoạt động trải nghiệm 12 - KNTT
- Giải sgk Giáo dục quốc phòng 12 - KNTT
- Giải sgk Âm nhạc 12 - KNTT
- Giải sgk Mĩ thuật 12 - KNTT
- Lớp 12 Chân trời sáng tạo
- Soạn văn 12 (hay nhất) - CTST
- Soạn văn 12 (ngắn nhất) - CTST
- Giải sgk Toán 12 - CTST
- Giải sgk Vật Lí 12 - CTST
- Giải sgk Hóa học 12 - CTST
- Giải sgk Sinh học 12 - CTST
- Giải sgk Lịch Sử 12 - CTST
- Giải sgk Địa Lí 12 - CTST
- Giải sgk Giáo dục KTPL 12 - CTST
- Giải sgk Tin học 12 - CTST
- Giải sgk Hoạt động trải nghiệm 12 - CTST
- Giải sgk Âm nhạc 12 - CTST
- Lớp 12 Cánh diều
- Soạn văn 12 Cánh diều (hay nhất)
- Soạn văn 12 Cánh diều (ngắn nhất)
- Giải sgk Toán 12 Cánh diều
- Giải sgk Vật Lí 12 - Cánh diều
- Giải sgk Hóa học 12 - Cánh diều
- Giải sgk Sinh học 12 - Cánh diều
- Giải sgk Lịch Sử 12 - Cánh diều
- Giải sgk Địa Lí 12 - Cánh diều
- Giải sgk Giáo dục KTPL 12 - Cánh diều
- Giải sgk Tin học 12 - Cánh diều
- Giải sgk Công nghệ 12 - Cánh diều
- Giải sgk Hoạt động trải nghiệm 12 - Cánh diều
- Giải sgk Giáo dục quốc phòng 12 - Cánh diều
- Giải sgk Âm nhạc 12 - Cánh diều


Giải bài tập SGK & SBT
Tài liệu giáo viên
Sách
Khóa học
Thi online
Hỏi đáp

