Lý thuyết Gene và cơ chế truyền thông tin di truyền (Sinh 12 Chân trời sáng tạo Bài 1)
Với tóm tắt lý thuyết Sinh 12 Bài 1: Gene và cơ chế truyền thông tin di truyền hay nhất, ngắn gọn sẽ giúp học sinh lớp 12 nắm vững kiến thức trọng tâm, ôn luyện để học tốt môn Sinh học 12.
Lý thuyết Gene và cơ chế truyền thông tin di truyền (Sinh 12 Chân trời sáng tạo Bài 1)
I. CHỨC NĂNG CỦA DNA VÀ CƠ CHẾ TÁI BẢN
1. Chức năng của DNA
- DNA có chức năng mang, bảo quản và truyền đạt thông tin di truyền.
DNA có cấu trúc phù hợp với chức năng
a. DNA mang và bảo quản thông tin di truyền
- Những đặc điểm cấu trúc giúp DNA thực hiện được chức năng mang thông tin di truyền: DNA được cấu trúc theo nguyên tắc đa phân, gồm 4 loại đơn phân là các nucleotide A, T, G, C (nucleotide cấu tạo nên DNA gồm có 3 phần chính: đường deoxyribose; nhóm phosphate; nitrogene base gồm 4 loại A, T, G, C) liên kết với nhau nhờ liên kết phosphodiester để tạo thành mạch DNA → Từ 4 loại đơn phân này với thành phần, số lượng và trật tự sắp xếp khác nhau đã tạo nên vô số phân tử DNA đặc thù, đảm bảo khả năng mang được một lượng lớn thông tin di truyền.
- Những đặc điểm cấu trúc giúp DNA thực hiện được chức năng bảo quản thông tin di truyền:
+ DNA có cấu tạo mạch kép nên cấu trúc ổn định, ít bị sai hỏng.
+ DNA có cấu trúc mạch kép theo NTBS (A chỉ liên kết với T, G chỉ liên kết với C và ngược lại) nên khi một mạch của DNA bị sai hỏng thì các enzyme của tế bào có thể sử dụng mạch bình thường để làm khuôn sửa chữa sai hỏng đó.
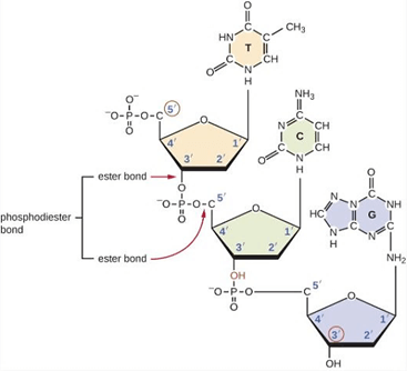
+ Liên kết phosphodiester giữa các nucleotide trong một mạch của DNA là loại liên kết cộng hóa trị rất bền vững.
Liên kết phosphodiester giữa các nucleotide trong một mạch của DNA
+ Liên kết hydrogene giữa các base giữa hai mạch trong phân tử DNA mạch kép là loại liên kết yếu nhưng số lượng liên kết hydrogene trong DNA là rất lớn nên cũng góp phần đảm bảo duy trì cấu trúc phân tử DNA bền vững.
b. DNA có khả năng truyền đạt thông tin di truyền
- Những đặc điểm cấu trúc giúp DNA thực hiện được chức năng truyền đạt thông tin di truyền:
+ Liên kết hydrogene giữa các base trong hai mạch là loại liên kết yếu nên có thể bị phá vỡ trong điều kiện nhất định giúp DNA có khả năng tách thành hai mạch đơn trong quá trình truyền đạt thông tin di truyền.
+ Các nucleotide trên hai mạch đơn của DNA được kết cặp đặc hiệu theo nguyên tắc bổ sung và trong quá trình tái bản DNA mỗi mạch đơn sẽ được sử dụng làm mạch khuôn để tổng hợp mạch đơn mới cũng theo nguyên tắc bổ sung. Điều này sẽ đảm bảo cho thông tin di truyền trên DNA được truyền đạt gần như nguyên vẹn qua các thế hệ tế bào và cơ thể.
2. Tái bản DNA
- Tái bản DNA còn gọi là quá trình tự nhân đôi của phân tử DNA.
a. Nơi diễn ra
- Ở sinh vật nhân sơ: diễn ra ở tế bào chất (chủ yếu ở vùng nhân).
- Ở sinh vật nhân thực: diễn ra chủ yếu trong nhân, tại các NST hoặc cũng có thể diễn ra cả trong tế bào chất (ti thể, lục lạp).
b. Thời gian diễn ra
- Ở sinh vật nhân thực, quá trình tái bản DNA diễn ra ở kì trung gian (pha S) giữa hai lần phân bào.
c. Thành phần tham gia
- Phân tử DNA mẹ dùng làm khuôn để tái bản.
- Các nucleotide môi trường cung cấp (gồm 8 loại nucleotide: A, T, G, C của DNA dùng để tổng hợp mạch DNA mới; A, U, G, C của RNA để tổng hợp các đoạn mồi).
- Các enzyme tham gia có chức năng khác nhau:
Enzyme |
Chức năng |
Enzyme tháo xoắn |
Tháo xoắn phân tử DNA |
Enzyme tách mạch (enzyme cắt) |
Cắt đứt liên kết hydrogen, tách DNA thành 2 mạch đơn. |
Enzyme DNA polymerase |
Gắn các nucleotide theo nguyên tắc bổ sung để tổng hợp mạch mới theo chiều 5’ → 3’. |
Enzyme RNA polymerase |
Tổng hợp đoạn mồi RNA, tạo đầu – 3’ OH tự do. |
Enzyme ligase |
Nối các đoạn Okazaki tạo mạch DNA hoàn chỉnh. |
d. Nguyên tắc tái bản
Đối với DNA ở sinh vật nhân thực, sinh vật nhân sơ và những virus có lõi dạng sợi kép, quá trình tái bản DNA đều được thực hiện theo nguyên tắc bổ sung và nguyên tắc bán bảo toàn:
- Nguyên tắc bổ sung: Các nucleotide ở mạch khuôn liên kết với các nucleotide tự do trong môi trường nội bào theo nguyên tắc bổ sung: A = T, G ≡ C hay ngược lại.
- Nguyên tắc bán bảo toàn: Trong mỗi DNA con có 1 mạch của DNA mẹ và 1 mạch mới được tổng hợp.
e. Diễn biến
Mô hình cơ chế tái bản DNA ở một chạc sao chép
• Tháo xoắn phân tử DNA: Một số enzyme và protein nhận biết vị trí khởi đầu tái bản → Enzyme tháo xoắn tiến hành tháo xoắn phân tử DNA, enzyme tách mạch cắt các liên kết hydrogen → DNA tách thành hai mạch tạo nên cấu trúc có dạng hình chữ Y.
• Tổng hợp mạch DNA:
- Enzyme DNA polymerase thực hiện gắn các nucleotide tự do để tổng hợp mạch DNA mới theo chiều 5’ → 3’ dựa trên mạch khuôn của DNA mẹ theo nguyên tắc bổ sung (A liên kết với T, T liên kết với A, G liên kết với C, C liên kết với G).
- Do DNA polymeraza chỉ thực hiện gắn nucleotide khi có đầu 3’OH tự do của đoạn RNA mồi do RNA polymerase tổng hợp và hai mạch của phân tử DNA mẹ có chiều ngược nhau nên:
+ Trên mạch khuôn có chiều 3’ → 5’ (mạch gốc): RNA polymerase tổng hợp 1 đoạn mồi RNA theo chiều 5’ → 3’, cung cấp đầu 3’ – OH để enzyme DNA polymerase tiếp tục tổng hợp mạch mới theo chiều 5’ → 3’, liên tục cùng chiều tháo xoắn → Sợi dẫn đầu.
+ Trên mạch khuôn có chiều 5’ → 3’ (mạch bổ sung): mạch mới được tổng hợp gián đoạn, ngược chiều tháo xoắn với đoạn mồi riêng tạo thành từng đoạn ngắn Okazaki. Sau đó, các đoạn Okazaki được nối với nhau thành mạch DNA hoàn chỉnh nhờ enzyme ligase.
• Tạo thành phân tử DNA: Từ một phân tử DNA ban đầu, qua tái bản 1 lần tạo ra 2 phân tử DNA mới có cấu trúc giống nhau và giống DNA mẹ ban đầu. Trong mỗi phân tử DNA mới được tạo thành có một mạch DNA mới được tổng hợp và một mạch DNA của phân tử DNA mẹ.
g. Ý nghĩa
- Sau quá trình tái bản, nhờ sự phân bào, mỗi DNA đi về một tế bào con → Tái bản DNA là quá trình tự sao thông tin di truyền, nhờ đó thông tin di truyền được truyền đạt gần như nguyên vẹn qua các thế hệ tế bào và thế hệ cơ thể.
II. GENE
1. Khái niệm gene
- Gene là một đoạn của phân tử DNA mang thông tin quy định sản phẩm xác định là polypeptide hoặc RNA.
- Gene là đơn vị cấu trúc và chức năng cơ bản của di truyền, các gene được phân bố theo chiều dài phân tử DNA.
Gene phân bố theo chiều dài phân tử DNA
2. Cấu trúc và các loại gene
a. Cấu trúc của gene
- Cấu trúc của gene gồm 03 vùng:
Mô hình cấu trúc của gene
Vùng cấu trúc |
Vị trí |
Chức năng |
Vùng điều hòa |
-Nằm ở đầu 3’ của mạch mã gốc của gene. |
- Có trình tự nucleotide đặc biệt (promoter) giúp enzyme RNA polymerase có thể nhận biết và liên kết để khởi động quá trình phiên mã và trình tự nucleotide liên kết với protein điều hoà (operator) để điều khiển quá trình phiên mã. |
Vùng mã hóa |
- Nằm ở giữa gene. |
- Có chứa trình tự nucleotide mã hoá chuỗi polypeptide hoặc RNA. + Ở sinh vật nhân sơ: vùng mã hoá liên tục → gene không phân mảnh, chỉ gồm exon (đoạn DNA được dịch mã). + Ở sinh vật nhân thực và vi khuẩn cổ: vùng mã hoá hầu hết không liên tục → gene phân mảnh, gồm các intron (đoạn DNA không được dịch mã) xen kẽ với các exon (đoạn DNA được dịch mã). |
Vùng kết thúc |
- Nằm ở đầu 5’ của mạch mã gốc của gene. |
- Mang tín hiệu kết thúc phiên mã. |
b. Các loại gene
- Dựa vào cấu trúc vùng mã hoá của gene, các gene được phân loại thành gene không phân mảnh (không chứa intron) và gene phân mảnh (chứa intron).
Gene phân mảnh |
Gene không phân mảnh |
- Có ở sinh vật nhân thực và vi khuẩn cổ |
- Có ở sinh vật nhân sơ |
- Có vùng mã hoá không liên tục: Vùng mã hóa chứa các đoạn không mã hoá amino acid (intron) xen kẽ với các đoạn mã hoá amino acid (exon). |
- Có vùng mã hoá liên tục: Vùng mã hóa chỉ chứa các đoạn mã hoá amino acid, không chứa các đoạn không mã hoá amino acid. |
- Dựa vào chức năng, gene được chia thành:
+ Gene cấu trúc: mang thông tin mã hoá chuỗi polypeptide tham gia cấu trúc hoặc chức năng của tế bào.
+ Gene điều hoà: mang thông tin mã hoá sản phẩm kiểm soát hoạt động của gene khác.
III. RNA VÀ PHIÊN MÃ
1. Các loại RNA
- Tuỳ theo cấu trúc và chức năng, RNA gồm ba loại phổ biến: mRNA (RNA thông tin), tRNA (RNA vận chuyển) và rRNA (RNA ribosome).
Mô hình các phân tử RNA
|
Tiêu chí |
mRNA (RNA thông tin) |
tRNA (RNA vận chuyển) |
rRNA (RNA ribosome) |
Cấu trúc |
- Là một chuỗi polynucleotide gồm hàng trăm đến hàng nghìn đơn phân. - Có dạng mạch thẳng, không có liên kết hydrogen. - Mang các bộ ba mã hóa (codon). |
- Là một chuỗi polynucleotide cấu trúc từ 70 đến 90 đơn phân. - Có một số vùng xoắn cục bộ do các nucleotide liên kết với nhau bằng liên kết hydrogen. - Mỗi tRNA mang 1 bộ ba đối mã (anticodon). |
- Là một chuỗi polynucleotide có đến hàng chục nghìn nucleotide. - Có nhiều vùng xoắn cục bộ do các nucleotide liên kết với nhau bằng liên kết hydrogen. |
Chức năng |
- Làm khuôn cho cơ chế dịch mã tổng hợp protein. |
- Vận chuyển amino acid cho quá trình tổng hợp protein. |
- Là thành phần cấu tạo nên ribosome (nơi tổng hợp protein). |
*Phân biệt cấu tạo RNA và DNA:
Đặc điểm |
RNA |
DNA |
Kích thước |
- Nhỏ hơn. |
- Lớn hơn rất nhiều. |
Số mạchđơn |
- Thường có cấu trúc 1 mạch. |
- Thường có cấu 2 mạch. |
Đơn phân |
- Đường cấu tạo nên đơn phân của RNA là C5H10O5. - 4 loại base là: A, U, G, C. → 4 loại đơn phân của RNA là: A, U, C, G. |
- Đường cấu tạo nên đơn phân của DNA là C5H10O4. - 4 loại base là: A, T, G, C. → 4 loại đơn phân của DNA là: A, T, C, G. |
Sự khác nhau về cấu trúc giữa RNA và DNA
2. Phiên mã và phiên mã ngược
* Phiên mã
- Phiên mã là quá trình tổng hợp phân tử RNA dựa trên mạch khuôn của gene → Bản chất của quá trình phiên mã chính là quá trình truyền thông tin di truyền từ gene sang mRNA.
a. Nơi diễn ra
- Sinh vật nhân sơ: diễn ra ở tế bào chất (chủ yếu là vùng nhân).
- Sinh vật nhân thực: diễn ra chủ yếu ở trong nhân tế bào.
b. Thành phần tham gia
- Thành phần tham gia: phân tử DNA khuôn; 4 loại nucleotide (A, U, G, C); enzyme chịu trách nhiệm chính là RNA polymerase có vai trò tham gia tháo xoắn, tổng hợp mạch mới.
c. Nguyên tắc diễn ra quá trình phiên mã
- Nguyên tắc bổ sung: Sự tổng hợp mRNA được diễn ra dựa trên mạch khuôn là mạch gốc của gene theo nguyên tắc bổ sung: Agene liên kết với Utự do, Tgene liên kết với Atự do, Cgene liên kết với Gtự do, Ggene liên kết với Ctự do.
d. Diễn biến
Quá trình phiên mã diễn ra 3 giai đoạn:
Mô hình phiên mã tổng hợp mRNA
- Khởi đầu phiên mã: Enzyme RNA polymerase nhận ra và liên kết với vùng điều hoà làm cho hai mạch của gene tách nhau để lộ mạch khuôn và bắt đầu tổng hợp mRNA.
- Kéo dài mạch RNA: Enzyme RNA polymerase trượt dọc trên mạch khuôn của gene có chiều 3’ → 5’, lắp các nucleotide tự do thành chuỗi polynucleotide chiều 5’ → 3’ theo nguyên tắc bổ sung (A, U, G, C của môi trường lần lượt liên kết với T, A, C, G của mạch khuôn).
- Kết thúc phiên mã: Enzyme RNA polymerase di chuyển đến cuối gene, gặp tín hiệu kết thúc phiên mã ở đầu 5’ trên mạch khuôn của gene, quá trình phiên mã dừng lại; enzyme RNA polymerase và phân tử mRNA đã hoàn thành rời khỏi DNA.
e. Kết quả
- Kết quả: 1 lần phiên mã tạo ra 1 phân tử RNA (có thể là mARN, tARN hay rARN). Quá trình tổng hợp mRNA, tRNA, rRNA theo cơ chế tương tự; đối với tRNA và rRNA, sau khi được hình thành, chuỗi polynucleotide sẽ biến đổi cấu trúc hình thành phân tử tRNA hoặc rRNA.
- Do cấu trúc của gene ở sinh vật nhân sơ và nhân thực có một số điểm khác nhau nên quá trình phiên mã cũng có sự khác biệt:
+ Ở sinh vật nhân sơ: mRNA được tạo ra sau phiên mã trực tiếp tham gia tổng hợp chuỗi polypeptide.
+ Ở sinh vật nhân thực: phiên mã tạo ra tiền mRNA, sau đó tiền mRNA trải qua quá trình biến đổi (gắn thêm nucleotide 7 – methyl guanine ở đầu 5’ và đuôi poly A ở đầu 3’, loại bỏ intron và nối các exon) để tạo nên mRNA trưởng thành, rồi chui qua màng nhân ra tế bào chất làm khuôn cho quá trình dịch mã tổng hợp chuỗi polypeptide.
* Phiên mã ngược ở tế bào nhân thực
- Phiên mã ngược là quá trình tổng hợp mạch DNA (cDNA) từ khuôn mẫu mRNA dưới sự xúc tác của enzyme phiên mã ngược.
- Cơ chế:
Sơ đồ tóm tắt phiên mã ngược
+ Enzyme phiên mã ngược (Enzyme Reverse Transcriptase) xúc tác tổng hợp mạch DNA thứ nhất (mạch DNA bổ sung) theo nguyên tắc bổ sung dựa trên mạch mRNA của virus.
+ Mạch DNA bổ sung với mRNA của virus tiếp tục làm khuôn tổng hợp mạch DNA thứ hai để tạo phân tử DNA hoàn chỉnh (cDNA).
- Phiên mã ngược thường diễn ra ở virus có lõi RNA (virus HIV) xâm nhập vào tế bào, giúp virus tạo DNA trước khi chèn vào DNA của vật chủ.
- Ngoài ra, ở vi khuẩn, động vật và thực vật, phiên mã ngược xảy ra với các retrotransposon – một loại yếu tố di truyền vận động. RNA do các retrotransposon mã hóa phiên mã ngược tạo ra DNA. Sau đó, DNA này được chèn vào các vị trí trên phân tử DNA của tế bào chủ. Đây là một trong những cơ chế tăng kích thước DNA, tạo nên các trình tự DNA lặp lại trong tế bào chủ.
Ví dụ: Trong tế bào giao tử của cơ thể nhân thực có enzyme telomerase, enzyme này dùng một mạch RNA có trong enzyme tổng hợp mạch DNA gắn vào đoạn DNA ở đầu mút của nhiễm sắc thể (NST). Nhờ vậy, đoạn bị ngắn đi trong quá trình nhân đôi DNA được phục hồi ở các giao tử giống như ở trong hợp tử.
Enzyme phiên mã ngược, telomerase tổng hợp kéo dài đầu mút NST
- Ứng dụng:
+ Enzyme phiên mã ngược là công cụ dùng trong kĩ thuật tạo dòng DNA tái tổ hợp: Enzyme phiên mã ngược có nguồn gốc virus được các nhà khoa học sử dụng để tổng hợp DNA dựa trên mạch khuôn là mRNA trưởng thành. Loại DNA này (cDNA) thường được sử dụng trong công nghệ gene để chuyển gene không còn intron của sinh vật nhân thực vào tế bào vi khuẩn.
+ Ngoài ra, các enzyme phiên mã ngược cũng được dùng để xét nghiệm virus gây bệnh có hệ gene là RNA như HIV, SARS-CoV-2,...
+ Phiên mã ngược có ý nghĩa quan trọng trong việc nghiên cứu sự tiến hoá của hệ thống sinh giới.
IV. MÃ DI TRUYỀN VÀ DỊCH MÃ
1. Mã di truyền
- Bộ ba nucleotide trên mạch khuôn của gene được gọi là bộ ba mã gốc; bộ ba nucleotide trên mRNA là bộ ba mã sao (codon); bộ ba nucleotide trên phân tử tRNA gọi là bộ ba đối mã (anticodon).
- Khái niệm: Mã di truyền là trình tự các nucleotide trong gene quy định trình tự các amino acid (aa) trong phân tử protein (cứ 3 nucleotide đứng kế tiếp nhau trong gene quy định 1 aa).
Mã di truyền quy định thành phần hóa học và cấu trúc của protein
- Mã di truyền có các đặc điểm sau:
+ Mã di truyền là mã bộ ba: ba nucleotide nằm liền nhau tạo thành một mã di truyền quy định một amino acid.
+ Mã di truyền được đọc liên tục từ một điểm xác định từng bộ ba nucleotide mà không gối lên nhau.
+ Mã di truyền có tính phổ biến: hầu hết các sinh vật đều có chung bộ mã di truyền, trừ một vài ngoại lệ. Ví dụ: Ở ti thể của người, UGA không phải mã kết thúc mà là mã hóa cho tryptophan; AUG và AUA đều mã hóa methionine; AGA, AGG, UAA và UAG là mã kết thúc.
+ Mã di truyền có tính đặc hiệu: mỗi bộ ba chỉ mã hoá cho 1 acid amin.
+ Mã di truyền có tính thoái hoá: có nhiều bộ ba khác nhau có thể cùng mã hóa cho một loại amino aicd (trừ AUG và UGG).
- Bộ mã di truyền gồm 64 bộ ba gồm:
+ 01 bộ ba mở đầu (5’AUG3’) nằm ở đầu 5’ trên mRNA, có hai chức năng vừa là tín hiệu khởi đầu dịch mã vừa quy định aa mở đầu (aa mở đầu ở sinh vật nhân sơ là formylmethionine còn ở sinh vật nhân thực là methionine).
+ 03 bộ ba mã kết thúc (5’UAA3’, 5’UAG3’, 5’UGA3’) nằm ở đầu 3’ trên mRNA, là tín hiệu kết thúc dịch mã và không mã hóa aa.
+ 60 bộ ba còn lại quy định 19 loại aa còn lại.
Bảng mã di truyền
2. Dịch mã
- Dịch mã là quá trình các mã di truyền trên phân tử mRNA được dịch thành trình tự các amino acid trong chuỗi polypeptide.
a. Nơi diễn ra
- Diễn ra ở tế bào chất.
b. Thành phần tham gia
- mRNA: làm mạch khuôn, mang thông tin mã hóa chuỗi polypeptide.
- amino acid tự do trong môi trường nội bào: là nguyên liệu tổng hợp chuỗi polypeptide.
- tRNA: thực hiện chức năng “phiên dịch” mã di truyền trên mRNA (vận chuyển đúng loại amino acid tương ứng với bộ ba trên mRNA quy định).
- Ribosome: là nơi các tRNA đã được gắn amino acid đọc và giải mã các bộ ba, tại đây hình thành liên kết giữa các amino acid.
- Năng lượng ATP: cung cấp năng lượng để hoạt hóa amino acid.
- Các loại enzyme: enzyme hoạt hóa amino acid, enzyme xúc tác liên kết amino acid đã được hoạt hóa với tRNA tương ứng, enzyme xúc tác tạo thành liên kết peptide giữa các amino acid.
c. Nguyên tắc của quá trình dịch mã
- Nguyên tắc bổ sung: Nguyên tắc bổ sung được thể hiện trong quá trình dịch mã thông qua sự bắt cặp bổ sung giữa bộ ba mã sao (condon) trên mRNA với bộ ba đối mã (anticodon) trên tRNA (A bắt cặp với U, G bắt cặp với C và ngược lại). Khi một bộ ba đối mã (anticodon) khớp bổ sung với một bộ ba mã sao (condon) thì một amino acid được đặt vào đúng vị trí.
d. Diễn biến
Gồm 2 giai đoạn:
- Hoạt hoá amino acid: Nhờ enzyme đặc hiệu, amino acid tự do trong tế bào chất được gắn với ATP trở thành amino acid hoạt hoá. Sau đó, nhờ một loại enzyme đặc hiệu khác, amino acid hoạt hóa liên kết với tRNA tạo thành phức hợp amino acid – tRNA.
Hoạt hoá acid amin
- Dịch mã tổng hợp chuỗi polypeptide:
+ Khởi đầu tổng hợp chuỗi polypeptide: Tiểu đơn vị nhỏ của ribosome gắn với mRNA tại vị trí nhận biết đặc hiệu (không dịch mã) nằm gần codon mở đầu 5'AUG3'. Đồng thời, anticodon 3'UAC5' của phức hợp amino acid mở đầu-tRNA (amino acid mở đầu ở sinh vật nhân thực là methionine (Met), còn ở sinh vật nhân sơ là formylmethionine (fMet)) khớp bổ sung với codon mở đầu trên mRNA. Tiểu đơn vị lớn của ribosome kết hợp với tiểu đơn vị nhỏ tạo ribosome hoàn chỉnh sẵn sàng cho việc tổng hợp chuỗi polypeptide.
Mô hình khởi đầu tổng hợp chuỗi polypeptide
+ Kéo dài chuỗi polypeptide: Phức hợp amino acid thứ nhất-tRNA tiến vào ribosome, anticodon của nó khớp bổ sung với codon của amino acid thứ nhất. Enzyme xúc tác tạo thành liên kết peptide giữa amino acid mở đầu và amino acid thứ nhất. Ribosome dịch chuyển một codon theo chiều 5' → 3' trên mRNA, đồng thời tRNA (đã mất amino acid mở đầu) rời khỏi ribosome. Tiếp theo, amino acid thứ hai-tRNA tiến vào ribosome, anticodon của nó khớp bổ sung với codon của amino acid thứ hai, liên kết peptide được hình thành giữa amino acid thứ nhất và thứ hai. Cứ như vậy, ribosome dịch chuyển theo từng codon cho đến cuối phân tử mRNA và chuỗi polypeptide được kéo dài.
Mô hình kéo dài chuỗi polypeptide
+ Kết thúc: Khi ribosome tiếp xúc với bộ ba kết thúc trên mRNA (UAG hoặc UAA hoặc UGA), quá trình dịch mã dừng lại. Ribosome tách khỏi mRNA và chuỗi polypeptide được giải phóng. Nhờ một loại enzyme đặc hiệu, amino acid mở đầu được cắt khỏi chuỗi polypeptide vừa tổng hợp. Chuỗi polypeptide tiếp tục hình thành cấu trúc bậc cao hơn, trở thành protein có hoạt tính sinh học.
Mô hình kết thúc dịch mã
e. Kết quả:
- Mỗi ribosome trượt qua mRNA một lần tạo ra 1 chuỗi polypeptide.
- Thực tế, tại một thời điểm trên mRNA có thể có nhiều ribosome tham gia dịch mã cùng lúc được gọi là polyribosome (polysome) giúp tạo ra nhiều chuỗi polypeptide cùng loại (tăng hiệu suất dịch mã).
Mô hình dịch mã của polyribosome
V. SƠ ĐỒ CƠ CHẾ TRUYỀN THÔNG TIN DI TRUYỀN Ở CẤP ĐỘ PHÂN TỬ
- Cơ chế truyền đạt thông tin di truyền ở cấp độ phân tử có thể tóm tắt theo sơ đồ:
Sơ đồ truyền đạt thông tin di truyền ở cấp độ phân tử
- Ở cấp độ phân tử, thông tin di truyền được truyền đạt theo những hướng sau:
+ Trong hầu hết các trường hợp, thông tin di truyền được truyền một chiều từ DNA → mRNA → protein:
Thông tin di truyền trên DNA được truyền lại cho đời sau thông qua cơ chế tái bản của DNA.
Thông tin di truyền ở trên gene được biểu hiện thành tính trạng trên cơ thể thông qua 2 quá trình là phiên mã và dịch mã. Cả phiên mã và dịch mã đều diễn ra theo nguyên tắc bổ sung:Trong phiên mã, sự tổng hợp mRNA được diễn ra dựa trên mạch khuôn là mạch gốc của gene theo nguyên tắc bổ sung: Agene liên kết với Utự do, Tgene liên kết với Atự do, Cgene liên kết với Gtự do, Ggene liên kết với Ctự do. Trong dịch mã, sự tổng hợp protein được diễn ra dựa trên mạch khuôn là mRNA theo nguyên tắc bổ sung: Khi 1 bộ ba trên mRNA khớp bổ sung với 1 bộ ba trên tRNA (A liên kết với U, G liên kết với C) thì 1 amino acid sẽ được đặt đúng vào vị trí → Gene quy định tính trạng.
+ Trong một số trường hợp, thông tin di truyền từ RNA có thể được truyền ngược lại sang DNA qua quá trình phiên mã ngược.
Xem thêm tóm tắt lý thuyết Sinh học lớp 12 Chân trời sáng tạo hay khác:
Lý thuyết Sinh 12 Bài 4: Hệ gene, đột biến gene và công nghệ gene
Lý thuyết Sinh 12 Bài 5: Nhiễm sắc thể và đột biến nhiễm sắc thể
Xem thêm các tài liệu học tốt lớp 12 hay khác:
- Giải sgk Sinh học 12 Chân trời sáng tạo
- Giải Chuyên đề Sinh 12 Chân trời sáng tạo
- Giải SBT Sinh học 12 Chân trời sáng tạo
- Giải lớp 12 Chân trời sáng tạo (các môn học)
- Giải lớp 12 Kết nối tri thức (các môn học)
- Giải lớp 12 Cánh diều (các môn học)
Đã có app VietJack trên điện thoại, giải bài tập SGK, SBT Soạn văn, Văn mẫu, Thi online, Bài giảng....miễn phí. Tải ngay ứng dụng trên Android và iOS.
Theo dõi chúng tôi miễn phí trên mạng xã hội facebook và youtube:Nếu thấy hay, hãy động viên và chia sẻ nhé! Các bình luận không phù hợp với nội quy bình luận trang web sẽ bị cấm bình luận vĩnh viễn.
- Soạn văn 12 (hay nhất) - CTST
- Soạn văn 12 (ngắn nhất) - CTST
- Giải sgk Toán 12 - CTST
- Giải Tiếng Anh 12 Global Success
- Giải sgk Tiếng Anh 12 Smart World
- Giải sgk Tiếng Anh 12 Friends Global
- Giải sgk Vật Lí 12 - CTST
- Giải sgk Hóa học 12 - CTST
- Giải sgk Sinh học 12 - CTST
- Giải sgk Lịch Sử 12 - CTST
- Giải sgk Địa Lí 12 - CTST
- Giải sgk Giáo dục KTPL 12 - CTST
- Giải sgk Tin học 12 - CTST
- Giải sgk Hoạt động trải nghiệm 12 - CTST
- Giải sgk Âm nhạc 12 - CTST


Giải bài tập SGK & SBT
Tài liệu giáo viên
Sách
Khóa học
Thi online
Hỏi đáp

