44+ Đề thi Giữa kì 1 Toán 11 Cánh diều (cấu trúc mới, có đáp án)
Với bộ 44+ Đề thi Toán 11 Giữa kì 1 Cánh diều năm 2026 theo cấu trúc mới có đáp án và ma trận được biên soạn và chọn lọc từ đề thi Toán 11 của các trường THPT trên cả nước sẽ giúp học sinh lớp 11 ôn tập và đạt kết quả cao trong các bài thi Giữa học kì 1 Toán 11.
44+ Đề thi Giữa kì 1 Toán 11 Cánh diều (cấu trúc mới, có đáp án)
Chỉ từ 150k mua trọn bộ Đề thi Giữa kì 1 Toán 11 Cánh diều theo cấu trúc mới bản word có lời giải chi tiết:
- B1: gửi phí vào tk:
1133836868- CT TNHH DAU TU VA DV GD VIETJACK - Ngân hàng MB (QR) - B2: Nhắn tin tới Zalo VietJack Official - nhấn vào đây để thông báo và nhận đề thi
Đề thi Giữa kì 1 Toán 11 Cánh diều (Giáo viên VietJack)
Đề thi Giữa kì 1 Toán 11 năm 2025-2026 (trên cả nước)
Đề thi Giữa kì 1 Toán 11 THCS&THPT Nguyễn Bỉnh Khiêm năm 2025-2026
Đề thi Giữa kì 1 Toán 11 THPT Nguyễn Thị Minh Khai năm 2025-2026
Sở Giáo dục và Đào tạo ...
Đề thi Giữa kì 1 - Cánh diều
năm 2025
Môn: Toán 11
Thời gian làm bài: phút
(Đề số 1)
Phần I. Câu trắc nghiệm nhiều phương án lựa chọn. Học sinh trả lời từ câu 1 đến câu 12. Mỗi câu hỏi, học sinh chỉ chọn một phương án
Câu 1. Góc có số đo 108° đổi sang radian là
A.
B.
C.
D.
Câu 2. Chọn khẳng định đúng trong các khẳng định sau:
A.
B.
C.
D.
Câu 3. Tập xác định của hàm số là
A. D = ℝ.
B. D = ℝ \ {0}.
C.
D.
Câu 4. Nếu thì sin2x bằng
A.
B.
C.
D.
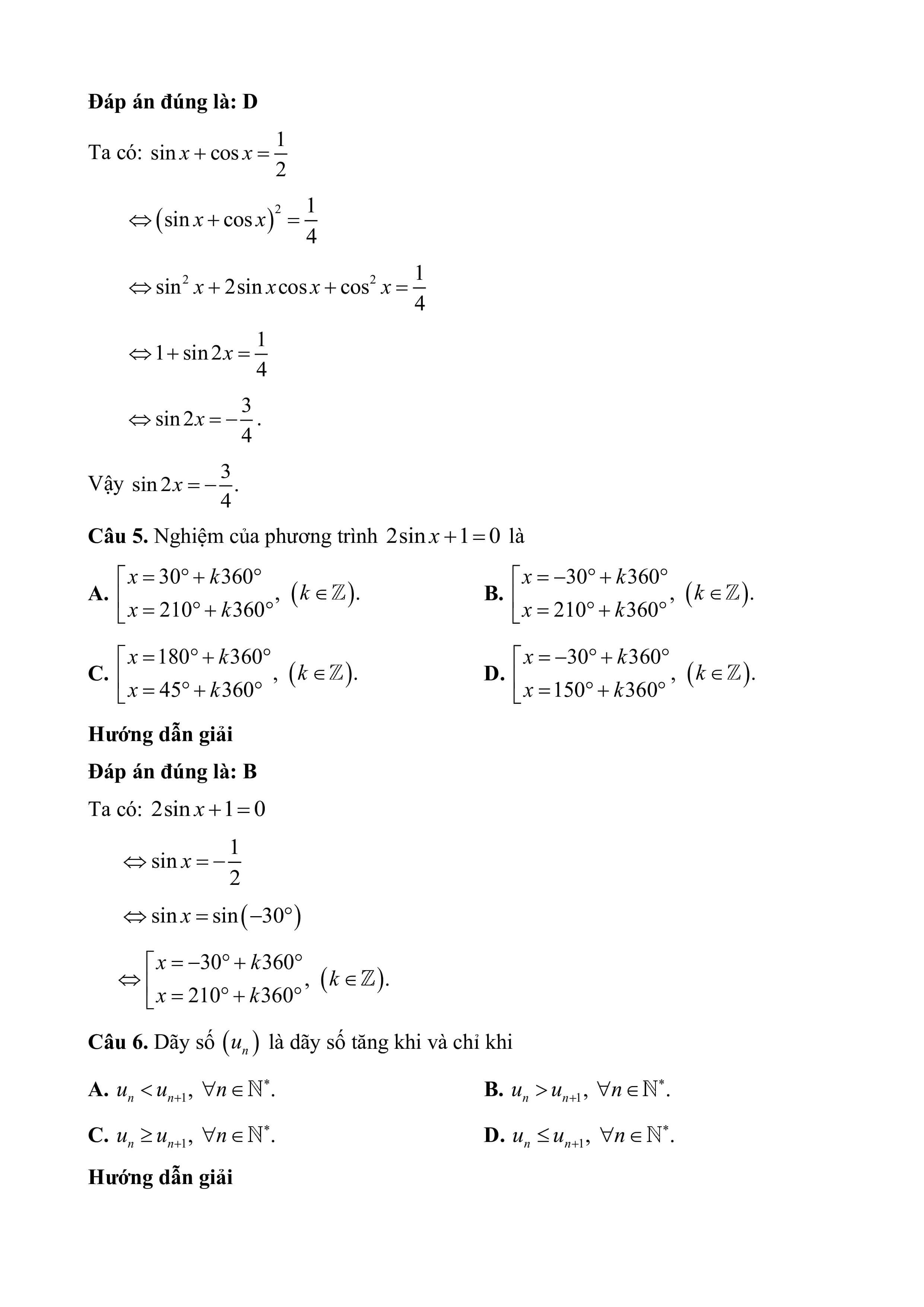
Câu 5. Nghiệm của phương tình 2sinx + 1 = 0 là
A.
B.
C.
D.
Câu 6. Dãy số là dãy số tăng khi và chỉ khi
A.
B.
C.
D.
Câu 7. Trong các dãy số sau, dãy nào là một cấp số cộng?
A. 1; -3; -6; -9; -12.
B. 1; -3; -7; -11; -15
C. 1; -3; -5; -7; -9.
D. 1; -2; -4; -6; -8.
Câu 8. Cho cấp số cộng có và công sai d = 3. Tổng 4 số hạng đầu của là:
A.
B.
C.
D.
Câu 9. Phát biểu nào dưới đây là sai?
A.
B. (C là hằng số).
C. (k nguyên dương).
D.
Câu 10. Giới hạn của dãy số với là
A.
B.
C.
D.
Câu 11. Cho hình chóp S.ABCD. Giao tuyến của hai mặt phẳng (SAB) và (SBC) là
A. SA.
B. SB.
C. SC.
D. AC.
Câu 12. Cho tứ diện ABCD. Gọi M, N lần lượt là trung điểm AD và AC. Gọi G là trọng tâm tam giác BCD. Giao tuyến của hai mặt phẳng (GMN) và (BCD) là đường thẳng:
A. qua M và song song với AB.
B. qua N và song song với BD.
C. qua G và song song với CD.
D. qua G và song song với BC.
Phần II. Câu trắc nghiệm đúng sai. Học sinh trả lời từ câu 1 đến câu 4. Trong mỗi ý a), b), c), d) ở mỗi câu hỏi, học sinh chọn Đúng hoặc Sai.
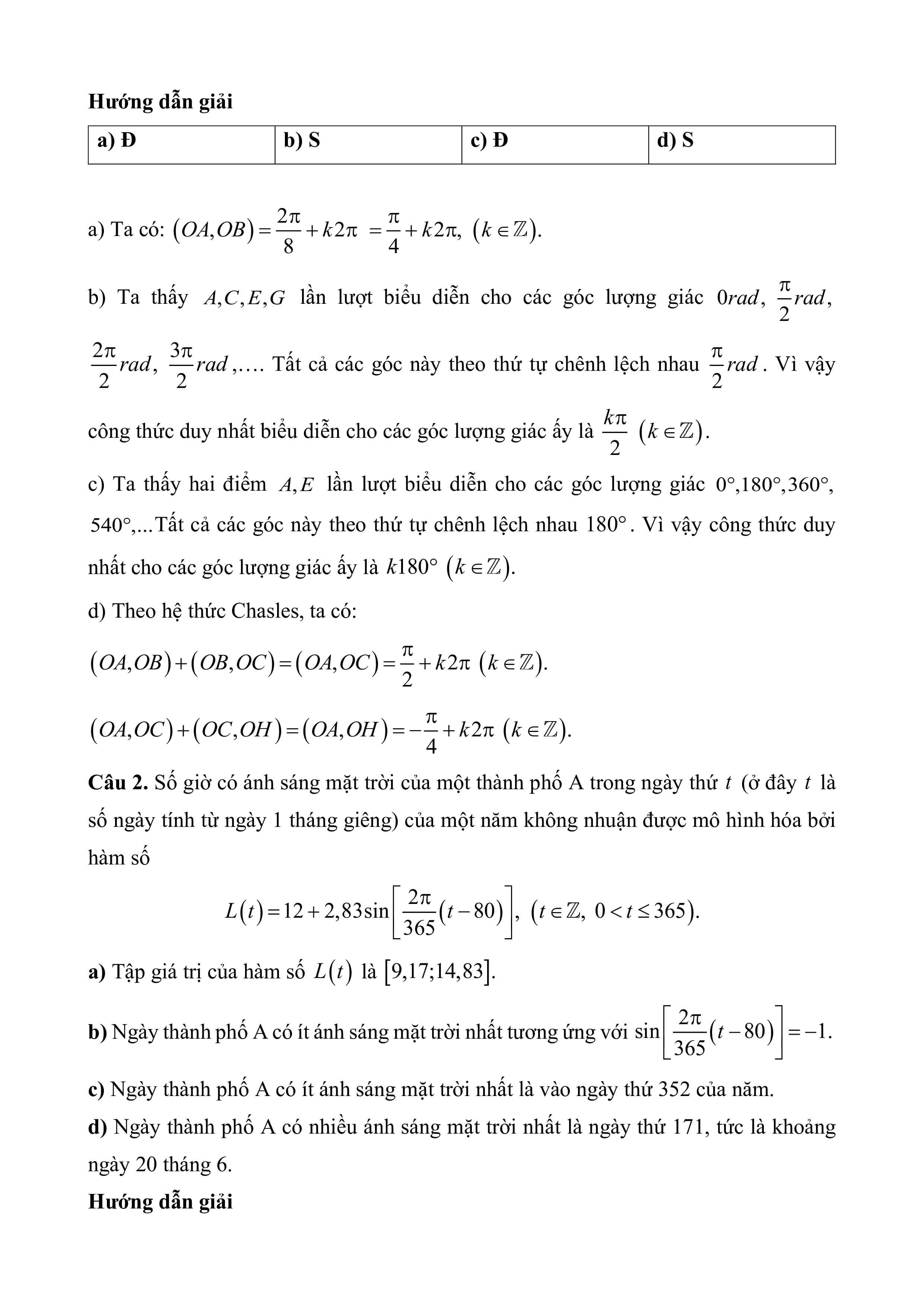
Câu 1. Trong hình vẽ bên, ta xem hình ảnh đường tròn trên một bánh lái tàu thủy tương ứng với một đường tròn lượng giác.
a) Công thức tổng quát biểu diễn góc lượng giác (OA, OB) theo đơn vị radian là
b) Công thức tổng quát biểu diễn góc lượng giác tương ứng với bốn điểm biểu diễn là A, C, E, G theo đơn vị radian là
c) Công thức tổng quát biểu diễn góc lượng giác tương ứng với hai điểm biểu diễn là A, E theo đơn vị đo độ là
d) Công thức tổng quát biểu diễn góc lượng giác (OA, OC) + (OC, OH) theo đơn vị radian là
Câu 2. Số giờ có ánh sáng mặt trời của một thành phố A trong ngày thứ t (ở đây t là số ngày tính từ ngày 1 tháng giêng) của một năm không nhuận được mô hình hóa bởi hàm số
a) Tập giá trị của hàm số L(t) là [9,17; 14,83].
b) Ngày thành phố A có ít ánh sáng mặt trời nhất tương ứng với
c) Ngày thành phố A có ít ánh sáng mặt trời nhất là vào ngày thứ 352 của năm.
d) Ngày thành phố A có nhiều ánh sáng mặt trời nhất là ngày thứ 171, tức là khoảng ngày 20 tháng 6.
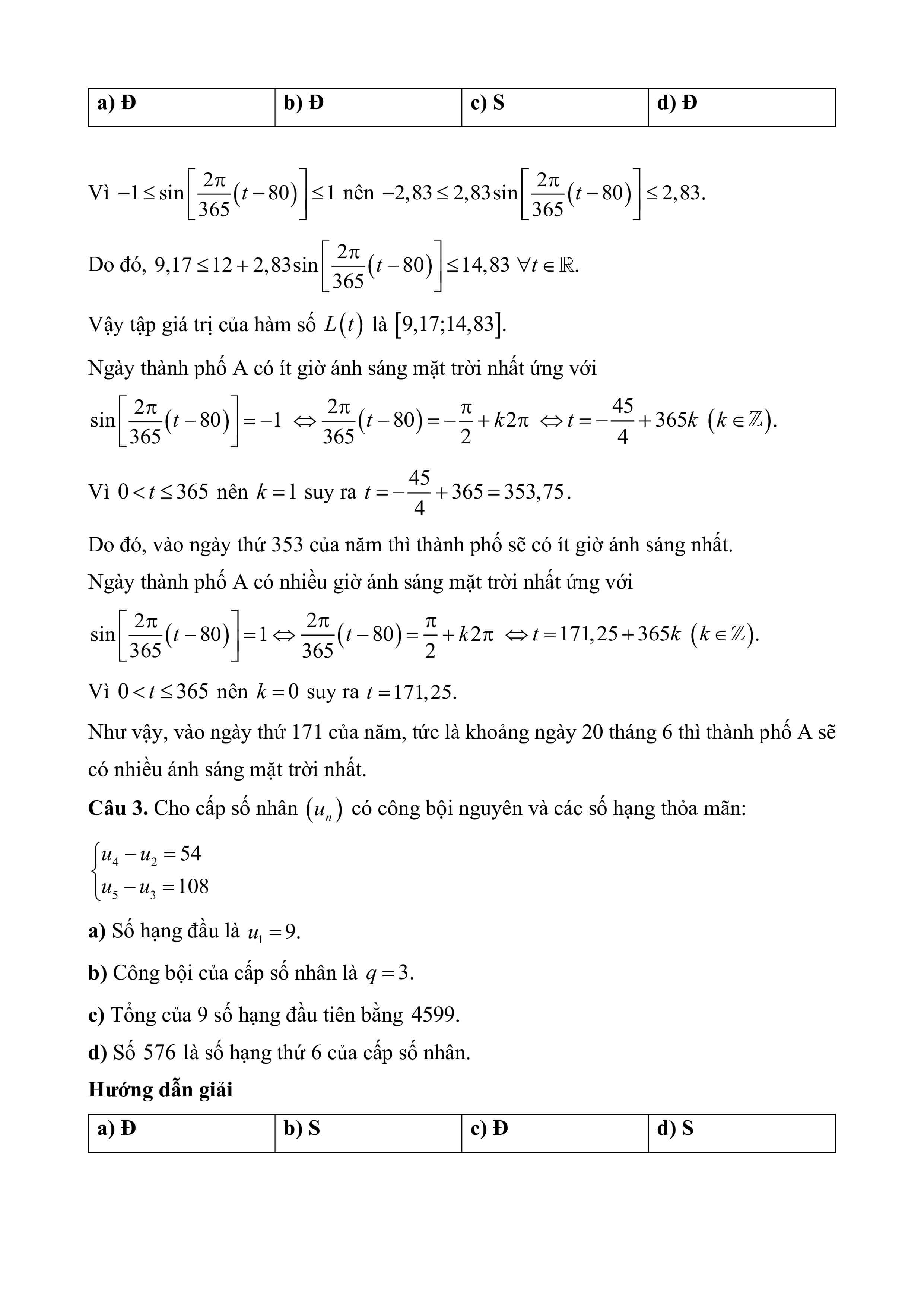
Câu 3.Cho cấp số nhân có công bội nguyên và các số hạng thỏa mãn:
a) Số hạng đầu là u1 = 9.
b) Công bội của cấp số nhân là q = 3.
c) Tổng của 9 số hạng đầu tiên bằng 4599.
d) Số 576 là số hạng thứ 6 của cấp số nhân.
Câu 4. Cho tứ diện ABCD . Gọi I, J lần lượt là trung điểm của AD, BC, M là một điểm trên cạnh AB, N là một điểm trên cạnh AC. Khi đó:
a) IJ là giao tuyến của hai mặt phẳng (IBC), (JAD).
b) ND là giao tuyến của hai mặt phẳng (NMD), (ADC).
c) BI là giao tuyến của hai mặt phẳng (BIC), (ABD).
d) Giao tuyến của hai mặt phẳng (IBC), (DMN) song song với đường thẳng IJ.
Phần III. Câu trắc nghiệm trả lời ngắn. Học sinh trả lời từ câu 1 đến câu 6.
Câu 1. Tính giá trị lớn nhất của hàm số .
Câu 2. Hằng ngày mực nước của con kênh lên xuống theo thủy triều. Độ sâu h (mét) của mực nước trong kênh được tính tại thời điểm t (giờ) trong một ngày bởi công thức . Mực nước của kênh cao nhất khi t bằng bao nhiêu?
Câu 3. Cho cấp số nhân (un) có u1 = 3 và 15u1 - 4u2 + u3 đạt giá trị nhỏ nhất. Tìm số hạng thứ 11 của cấp số nhân đã cho.
Câu 4. Nếu anh Nam nhận được lời mời làm việc cho một công ty nước ngoài với mức lương khởi điểm là 35000 đô la mỗi năm và được tăng thêm 1400 đô la lương mỗi năm, thì sẽ mất bao nhiêu năm làm việc để tổng lương mà anh Nam nhận được là 319200 đô la?
Câu 5.Tính giới hạn (viết kết quả dưới dạng số thập phân).
Câu 6. Cho hình chóp S.ABCD có đáy ABCD là hình thang với AD \\ BC và AD = 2BC. Gọi M là điểm trên cạnh SD thỏa mãn Mặt phẳng (ABM) cắt cạnh bên SC tại điểm N. Tính tỉ số
Sở Giáo dục và Đào tạo ...
Đề thi Giữa kì 1 - Cánh diều
năm 2025
Môn: Toán 11
Thời gian làm bài: phút
(Đề số 2)
PHẦN I. TRẮC NGHIỆM KHÁCH QUAN (7,0 điểm)
Hãy khoanh tròn vào phương án đúng duy nhất trong mỗi câu dưới đây:
Câu 1. Nếu một góc lượng giác có số đo là thì số đo radian của nó là
A. ;
B. ;
C. ;
D. .
Câu 2. Điểm cuối của góc lượng giác ở góc phần tư thứ mấy nếu cùng dấu?
A. Thứ II;
B. Thứ IV;
C. Thứ II hoặc IV;
D. Thứ I hoặc III.
Câu 3. Cho góc lượng giác có số đo là . Số đo của các góc lượng giác nào sau đây có cùng tia đầu là và tia cuối là ?
A. ;
B. ;
C. ;
D. .
Câu 4. Cho . Khi đó bằng
A. ;
B. ;
C. ;
D. .
Câu 5. Cho góc thỏa mãn . Giá trị của là
A. ;
B. ;
C. ;
D. .
Câu 6. Rút gọn biểu thức ta được
A. ;
B. ;
C. ;
D.
Câu 7. Khẳng định nào sau đây là sai?
A. Hàm số là hàm số lẻ;
B. Hàm số là hàm số lẻ;
C. Hàm số là hàm số lẻ;
D. Hàm số là hàm số lẻ.
Câu 8. Hàm số có tập xác định là hàm số tuần hoàn nếu tồn tại một số khác 0sao cho ta có và
A. ;
B. ;
C. ;
D. .
Câu 9. Cho hàm số có đồ thị như hình vẽ dưới đây:
Hàm số nghịch biến trên khoảng nào?
A. ;
B. ;
C. ;
D. .
Câu 10. Tập xác định Dcủa hàm số là
A. ;
B. ;
C. ;
D. .
Câu 11. Giá trị lớn nhất của hàm số là
A. M = 3;
B. M = 2;
C. M = 1;
D. M = 0.
Câu 12. Công thức nghiệm với là công thức nghiệm của phương trình nào sau đây?
A. ;
B. ;
C. ;
D.
Câu 13. Nghiệm đặc biệt nào sau đây là sai?
A. ;
B. ;
C. ;
D. .
Câu 14. Các giá trị của tham số mđể phương trình vô nghiệm là
A. ;
B. ;
C. ;
D..
Câu 15. Nghiệm của phương trình là
A. ;
B. ;
C. ;
D. .
Câu 16. Với , cho dãy số có số hạng tổng quát . Năm số hạng đầu tiên của dãy số này là
A. ;
B. ;
C. ;
D. .
Câu 17. Với , cho dãy số gồm các số nguyên dương chia hết cho 7 là 7,14, 21, … Công thức số hạng tổng quát của dãy số này là
A. ;
B. ;
C. ;
D. .
Câu 18. Cho dãy số biết . Dãy số bị chặn trên bởi số nào dưới đây?
A. 0;
B. ;
C. ;
D. 1.
Câu 19. Cho cấp số cộng có số hạng đầu bằng và công sai bằng Công thức số hạng tổng quát là
A. ;
B. ;
C. ;
D. .
Câu 20. Cho dãy số là cấp số cộng với
A. số hạng đầu tiên là và công sai là ;
B. số hạng đầu tiên là và công sai là ;
C. số hạng đầu tiên là 0 và công sai là ;
D. số hạng đầu tiên là 0 và công sai là .
Câu 21. Tổng của bao nhiêu số hạng đầu của cấp số cộng bằng ?
A. 98;
B. 99;
C. 100;
D. 101.
Câu 22. Cho hai đường thẳng avà chéo nhau. Có bao nhiêu mặt phẳng chứa avà song song với ?
A. 0;
B. 1;
C. 2;
D. vô số.
Câu 23. Cho hình chóp (hình vẽ). Gọi O là giao điểm của AC và BD. Điểm Okhông thuộc mặt phẳng nào sau đây?
A. ;
B. ;
C. ;
D. .
Câu 24. Hình chóp lục giác có bao nhiêu mặt bên?
A. 4;
B. 5;
C. 6;
D. 7.
Câu 25. Khẳng định nào sau đây là đúng về hình tứ diện đều?
A. Mặt đáy là hình thoi;
B. Mặt đáy là hình vuông;
C. Mặt bên là tam giác cân;
D. Mặt bên luôn là tam giác đều.
Câu 26. Cho hình chóp A.BCD có là trọng tâm tam giác BCD. Giao tuyến của mặt phẳng (ACD) và (GAB) là
A. AN với N là trung điểm của CD;
B. AM với Mlà trung điểm của AB;
C. AH với Hlà hình chiếu của B trên CD;
D. AK với là hình chiếu của C trên .
Câu 27. Cho tứ diện ABCD có M, lần lượt là trung điểm của BC, . Gọi Glà trọng tâm của tam giác BCD. Gọi Ilà giao điểm của NGvới mặt phẳng (ABC). Khẳng định nào sau đây đúng?
A. ;
B. ;
C. ;
D.
Câu 28. Cho ba mặt phẳng phân biệt có , , . Khi đó ba đường thẳng sẽ
A. đôi một cắt nhau;
B. đôi một song song;
C. đồng quy;
D. đôi một song song hoặc đồng quy.
Câu 29. Trong không gian, cho ba đường thẳng biết và a, c chéo nhau. Khi đó hai đường thẳng b và csẽ
A. trùng nhau hoặc chéo nhau;
B. cắt nhau hoặc chéo nhau;
C. chéo nhau hoặc song song;
D. song song hoặc trùng nhau.
Câu 30. Cho tứ diện ABCD. Gọi I, J lần lượt là trọng tâm các tam giác ABC và ABD. Khẳng định nào sau đây là đúng?
A. IJ song song với CD;
B. IJ song song với AB;
C. IJ chéo CD;
D. IJ cắt AB.
Câu 31. Cho hình chóp S.ABCD có đáy ABCD là hình thang, đáy lớn là CD. Gọi M là trung điểm của SA, N là giao điểm của cạnh SB và mặt phẳng (MCD). Mệnh đề nào sau đây đúng?
A. MN và SD cắt nhau;
B. MN // CD;
C. MN và SC cắt nhau;
D. MN và CD chéo nhau.
Câu 32. Cho đường thẳng asong song với mặt phẳng . Nếu mặt phẳng chứa a và cắt theo giao tuyến b thì b và a là hai đường thẳng
A. cắt nhau;
B. trùng nhau;
C. chéo nhau;
D. song song với nhau.
Câu 33. Cho các giả thiết sau. Giả thiết nào kết luận đường thẳng asong song với mặt phẳng ?
A. a // b và ;
B. a // b và ;
C. a // b và ;
D. .
Câu 34. ABCD. Gọi M, N lần lượt là trung điểm của AB và AC. Đường thẳng MN song song với mặt phẳng
A. (ACD);
B. (ABD);
C. (BCD);
D. (ABC).
Câu 35. Cho tứ diện ABCD có G là trọng tâm của tam giác ABD, Q thuộc cạnh AB sao cho AQ = 2QB, P là trung điểm của AB. Khi đó
A. MN // (BCD);
B. GQ // (BCD);
C. MN cắt (BCD);
D. Q thuộc mặt phẳng (CDP).
PHẦN II. TỰ LUẬN (3,0 điểm)
Bài 1. (1,0 điểm) Giải các phương trình lượng giác:
a) ;b) .
Bài 2. (1,0 điểm) Cho hình chóp S.ABCD có đáy ABCD là hình thang (hai đáy AB > CD). Gọi M, N lần lượt là trung điểm của SA, SB.
a) Tìm giao điểm P của SC và mp (ADN).
b) Biết AN cắt DP tại I. Chứng minh SI // AB. Tứ giác SABI là hình gì?
Bài 3. (1,0 điểm) Giả sử một vật dao động điều hòa xung quanh vị trí cân bằng theo phương trình , với t là thời gian tính bằng giây và x là quãng đường tính bằng cm. Hãy cho biết trong khoảng thời gian từ 0 đến 5 giây, vật đi qua vị trí cân bằng bao nhiêu lần?
-----HẾT-----
ĐÁP ÁN ĐỀ SỐ 01
PHẦN I. TRẮC NGHIỆM KHÁCH QUAN (7,0 điểm)
Bảng đáp án trắc nghiệm:
|
Câu |
Đáp án |
|
Câu |
Đáp án |
|
Câu |
Đáp án |
|
Câu |
Đáp án |
|
Câu 1 |
B |
|
Câu 11 |
C |
|
Câu 21 |
C |
|
Câu 31 |
B |
|
Câu 2 |
D |
|
Câu 12 |
D |
|
Câu 22 |
B |
|
Câu 32 |
D |
|
Câu 3 |
D |
|
Câu 13 |
A |
|
Câu 23 |
C |
|
Câu 33 |
D |
|
Câu 4 |
C |
|
Câu 14 |
A |
|
Câu 24 |
C |
|
Câu 34 |
C |
|
Câu 5 |
B |
|
Câu 15 |
D |
|
Câu 25 |
D |
|
Câu 35 |
B |
|
Câu 6 |
B |
|
Câu 16 |
C |
|
Câu 26 |
A |
|
|
|
|
Câu 7 |
B |
|
Câu 17 |
C |
|
Câu 27 |
A |
|
|
|
|
Câu 8 |
A |
|
Câu 18 |
D |
|
Câu 28 |
D |
|
|
|
|
Câu 9 |
B |
|
Câu 19 |
B |
|
Câu 29 |
B |
|
|
|
|
Câu 10 |
C |
|
Câu 20 |
B |
|
Câu 30 |
A |
|
|
|
PHẦN II. TỰ LUẬN (3,0 điểm)
Bài 1. (1,0 điểm)
a)
b)
Bài 2. (1,0 điểm)
a) Gọi
Khi đó nên .
b) HS tự chứng minh SI // AB // CD. Tứ giác SABI là hình bình hành.
Bài 3. (1,0 điểm)
Trong khoảng thời gian từ 0 đến 5 giây, vật đi qua vị trí cân bằng 20 lần.
................................
................................
................................
Trên đây tóm tắt một số nội dung miễn phí trong bộ Đề thi Toán 11 Cánh diều năm 2026 mới nhất, để mua tài liệu trả phí đầy đủ, Thầy/Cô vui lòng xem thử:
Tham khảo đề thi Toán 11 Cánh diều có đáp án hay khác:
Để học tốt lớp 11 các môn học sách mới:
- Giải bài tập Lớp 11 Kết nối tri thức
- Giải bài tập Lớp 11 Chân trời sáng tạo
- Giải bài tập Lớp 11 Cánh diều
Tủ sách VIETJACK shopee lớp 10-11 (cả 3 bộ sách):
Đã có app VietJack trên điện thoại, giải bài tập SGK, SBT Soạn văn, Văn mẫu, Thi online, Bài giảng....miễn phí. Tải ngay ứng dụng trên Android và iOS.
Theo dõi chúng tôi miễn phí trên mạng xã hội facebook và youtube:Nếu thấy hay, hãy động viên và chia sẻ nhé! Các bình luận không phù hợp với nội quy bình luận trang web sẽ bị cấm bình luận vĩnh viễn.
- Giáo án lớp 11 (các môn học)
- Giáo án điện tử lớp 11 (các môn học)
- Giáo án Toán 11
- Giáo án Ngữ văn 11
- Giáo án Tiếng Anh 11
- Giáo án Vật Lí 11
- Giáo án Hóa học 11
- Giáo án Sinh học 11
- Giáo án Lịch Sử 11
- Giáo án Địa Lí 11
- Giáo án KTPL 11
- Giáo án HĐTN 11
- Giáo án Tin học 11
- Giáo án Công nghệ 11
- Giáo án GDQP 11
- Đề thi lớp 11 (các môn học)
- Đề thi Ngữ Văn 11 (có đáp án)
- Chuyên đề Tiếng Việt lớp 11
- Đề cương ôn tập Văn 11
- Đề thi Toán 11 (có đáp án)
- Đề thi Toán 11 cấu trúc mới
- Đề cương ôn tập Toán 11
- Đề thi Tiếng Anh 11 (có đáp án)
- Đề thi Tiếng Anh 11 mới (có đáp án)
- Đề thi Vật Lí 11 (có đáp án)
- Đề thi Hóa học 11 (có đáp án)
- Đề thi Sinh học 11 (có đáp án)
- Đề thi Lịch Sử 11
- Đề thi Địa Lí 11 (có đáp án)
- Đề thi KTPL 11
- Đề thi Tin học 11 (có đáp án)
- Đề thi Công nghệ 11
- Đề thi GDQP 11 (có đáp án)


Giải bài tập SGK & SBT
Tài liệu giáo viên
Sách
Khóa học
Thi online
Hỏi đáp

