20+ Đề thi Cuối kì 1 Toán 10 Kết nối tri thức (có đáp án)
Với bộ 20+ Đề thi Cuối Học kì 1 Toán 10 Kết nối tri thức năm 2026 có đáp án theo cấu trúc mới được biên soạn và chọn lọc từ đề thi Toán 10 của các trường THPT trên cả nước. Hi vọng bộ đề thi này sẽ giúp học sinh ôn tập và đạt kết quả cao trong các bài thi Học kì 1 Toán 10.
- Đề thi Học kì 1 Toán 10 năm 2025-2026 (cả nước)
- Đề thi Học kì 1 Toán 10 Kết nối tri thức cấu trúc mới (Đề 1)
- Đề thi Học kì 1 Toán 10 Kết nối tri thức (Đề 2)
- Đề thi Học kì 1 Toán 10 Kết nối tri thức (Đề 3)
- Đề thi Học kì 1 Toán 10 Kết nối tri thức (Đề 4)
- Đề thi Học kì 1 Toán 10 Kết nối tri thức (Đề 5)
20+ Đề thi Cuối kì 1 Toán 10 Kết nối tri thức (có đáp án)
Chỉ từ 150k mua trọn bộ Đề thi Toán 10 Cuối kì 1 Kết nối tri thức theo cấu trúc mới bản word có lời giải chi tiết:
- B1: gửi phí vào tk:
1133836868- CT TNHH DAU TU VA DV GD VIETJACK - Ngân hàng MB (QR) - B2: Nhắn tin tới Zalo VietJack Official - nhấn vào đây để thông báo và nhận đề thi
Đề thi Cuối kì 1 Toán 10 Kết nối tri thức (Giáo viên VietJack)
50+ Đề thi Toán 10 Cuối kì 1 năm 2025-2026 (cả nước)
Đề thi Học kì 1 Toán 10 trường THPT Nguyễn Du (Tp. HCM) năm 2025-2026
Đề thi Học kì 1 Toán 10 trường THPT chuyên Hà Nội – Amsterdam năm 2025-2026
Đề thi Học kì 1 Toán 10 trường THPT Bình Hưng Hòa (Tp. HCM) năm 2025-2026
Đề thi Học kì 1 Toán 10 trường THPT chuyên Thái Nguyên năm 2025-2026
Đề thi Học kì 1 Toán 10 trường THPT Trần Phú (Hà Nội) năm 2025-2026
Đề thi Học kì 1 Toán 10 trường THPT Marie Curie (Tp. HCM) năm 2025-2026
Đề thi Học kì 1 Toán 10 trường THPT Thủ Đức (Tp. HCM) năm 2025-2026
Sở Giáo dục và Đào tạo ...
Đề thi Học kì 1 - Kết nối tri thức
năm 2025
Môn: Toán 10
Thời gian làm bài: 90 phút
(không kể thời gian phát đề)
(Đề số 1)
PHẦN I. TRẮC NGHIỆM KHÁCH QUAN
A. TRẮC NGHIỆM NHIỀU PHƯƠNG ÁN LỰA CHỌN. Thí sinh trả lời từ câu 1 đến câu 12.
Mỗi câu hỏi thí sinh chỉ chọn một phương án.
Câu 1. Phủ định của mệnh đề "∀x∈ℝ: x² + 1 > 0" là:
A. "∀x∈ℝ: x² + 1 = 0".
B. "∃x∈ℝ: x² + 1 ≤ 0".
C. "∃x∈ℝ: x² + 1 > 0".
D. "∀x∈ℝ: x² + 1 < 0".
Câu 2. Cho A = {x∈ℝ | x + 2 ≥ 0}, b = {x∈ℝ | 5 - x ≥ 0}. Khi đó A \ B là
A. [-2; 5].
B. [-2; 5).
C. (5; +∞).
D. (2; +∞).
Câu 3. Điểm nào sau đây thuộc miền nghiệm của hệ bất phương trình
A. .
B. M(3; 4).
C. N(5; 5).
D. P(5; 6).
Câu 4. Cho 90° < α < 180°. Chọn phát biểu đúng trong các phát biểu sau:
A. cotα > 0.
B. tanα > 0.
C. sinα < 0.
D. cosα < 0.
Câu 5. Cho tam giác ABC. Khẳng định nào sau đây là đúng?
A. .
B. .
C. .
D. .
Câu 6. Cho tam giác ABC với AB = c, AC = b, BC = a. Biết c = 14, . Làm tròn đến số thập phân thứ nhất thì độ lớn b là
A. 9,14.
B. 9,13.
C. 9,1.
D. 9,2.
Câu 7. Cho 3 điểm phân biệt M, N, P. Hỏi có bao nhiêu vectơ khác vectơ , có điểm đầu và điểm cuối được lấy từ 3 điểm đã cho.
A. 3.
B. 4.
C. 5.
D. 6.
Câu 8. Cho 3 điểm phân biệt A, B, C. Khi đó bằng
A. .
B. .
C. .
D. .
Câu 9. Cho ba điểm M, N, P được xác định như hình vẽ dưới đây. Mệnh đề nào sau đây đúng?
A. .
B. .
C. .
D. .
Câu 10. Trong mặt phẳng tọa độ Oxy, cho hai điểm A(-2; 2), B(3; 2). Tọa độ điểm M thỏa mãn là
A. M(8; 2).
B. M(2; 8).
C. M(2; 1).
D. M(1; 2).
Câu 11. Cho số gần đúng a = 8141378 với độ chính xác d = 300. Số quy tròn của số gần đúng a là
A. 8141400.
B. 8141000.
C. 8141300.
D. 8141400.
Câu 12. Cho mẫu số liệu 10; 8; 6; 2; 4. Độ lệch chuẩn của mẫu số liệu đã cho gần với giá trị nào dưới đây?
A. 8.
B. 2,4.
C. 6.
D. 2,8.
B. TRẮC NGHIỆM ĐÚNG - SAI. Thí sinh trả lời từ câu 1 đến câu 2. Trong mỗi ý a), b), c), d) ở mỗi câu, thí sinh chọn đúng hoặc sai.
Câu 1. Cho ∆ABC vuông tại A, có AB = a. Gọi E và F lần lượt là trung điểm của AC và AB.
a) .
b) .
c) .
d) .
Câu 2. Một lớp 10A của một trường THPT có điểm kiểm tra môn Toán giữa kì I vừa qua được thống kê trong bảng sau
|
Điểm |
5 |
6 |
7 |
8 |
9 |
10 |
|
Tần số |
2 |
8 |
13 |
10 |
4 |
3 |
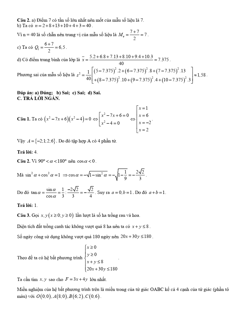
a) Mốt của mẫu số liệu là 7.
b) Trung vị của mẫu số liệu là 7,5.
c) Tứ phân vị thứ nhất của mẫu số liệu là 8.
d) Phương sai của mẫu số liệu thuộc khoảng (1; 1,5).
C. TRẢ LỜI NGẮN. Thí sinh trả lời câu 1 đến câu 4.
Câu 1. Cho tập hợp A = {x∈ℝ|(x² - 7x + 6)(x² - 4) = 0}. Tập hợp A có bao nhiêu phần tử?
Câu 2. Cho với 90° < α < 180°. Biết (a, b ∈ ℕ). Tính a + b.
Câu 3. Gia đình anh Hùng dự định trồng rau và hoa trên một mảnh đất có diện tích 8 ha. Nếu trồng 1 ha rau thì cần 20 ngày công và thu lợi 3 triệu đồng. Nếu trồng 1 ha hoa thì cần 30 ngày công và thu lợi 4 triệu đồng. Biết rằng, gia đình anh Hùng chỉ có thể sử dụng không quá 180 ngày công cho công việc trồng rau và hoa. Hỏi từ việc trồng rau và hoa nói trên, anh Hùng có thể thu về lợi nhuận cao nhất là bao nhiêu triệu đồng?
Câu 4. Cho ba lực cùng tác động vào một vật tại điểm M và vật đứng yên (tham khảo hình vẽ).
Cho biết cường độ của đều bằng N và góc . Tính cường độ của lực (đơn vị N).
PHẦN II. TỰ LUẬN
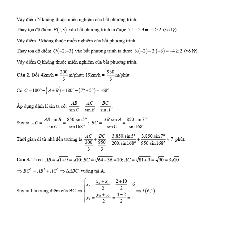
Câu 1. Trong bốn điểm M(2; -4), N(-1; 3), P(1; 3), Q(-2; -3). Điểm nào thuộc miền nghiệm của bất phương trình 5x - 2y ≥ 2.
Câu 2. Bạn An đi xe đạp từ nhà (điểm A) đến trường (điểm B) phải leo lên và xuống một con dốc (như hình vẽ) với C là đỉnh dốc. Cho biết đoạn thẳng AB dài 850 m, , vận tốc trung bình khi lên dốc là 4 km/h và khi xuống dốc là 19 km/h. Hỏi bạn An đi từ nhà đến trường hết bao nhiêu phút (làm tròn kết quả cuối cùng đến hàng đơn vị không làm tròn các kết quả trung gian).
Câu 3. Trong mặt phẳng Oxy, cho ba điểm A(1; 1), B(2; 4), C(10; -2). Tìm tọa độ tâm I đường tròn ngoại tiếp DABC.
Sở Giáo dục và Đào tạo ...
Đề thi Học kì 1 - Kết nối tri thức
năm 2025
Môn: Toán 10
Thời gian làm bài: 90 phút
(không kể thời gian phát đề)
(Đề số 2)
I. Trắc nghiệm (7 điểm)
Câu 1. Trong các phát biểu sau, phát biểu nào không phải là mệnh đề?
A. 2 là số nguyên âm;
B. Bạn có thích học môn Toán không?
C. 13 là số nguyên tố;
D. Số 15 chia hết cho 2.
Câu 2. Trong các tập hợp sau, tập hợp nào là tập con của tập hợp A = {1; 2; 3; 4; 5}?
A. A1 = {1; 6};
B. A2 = {0; 1; 3};
C. A3 = {4; 5};
D. A3 = {0}.
Câu 3. Cho các tập hợp A = {x ∈ ℝ| – 5 ≤ x < 1} và B = {x ∈ ℝ| – 3 < x ≤ 3}. Tìm tập hợp A ∪ B.
A. A ∪ B = [– 5; 1);
B. A ∪ B = [– 5; 3];
C. A ∪ B = (– 3; 1);
D. A ∪ B = (– 3; 3].
Câu 4. Trong các cặp số sau, cặp nào không là nghiệm của hệ bất phương trình
A. (0; 0);
B. (1; 1);
C. (– 1; 1);
D. (– 1; – 1).
Câu 5. Mệnh đề nào sau đây đúng?
A. sin (180° – α) = – sin α;
B. cos (180° – α) = – cos α;
C. tan (180° – α) = tan α;
D. cot (180° – α) = cot α.
Câu 6. Tam giác ABC có BC = 1, AC = 3,= . Tính độ dài cạnh AB.
A. ;
B. ;
C. ;
D. .
Câu 7. Cho lục giác đều ABCDEF tâm O như hình vẽ bên. Vectơ cùng phương với vectơ nào sau đây?
A. ;
B. ;
C. ;
D. .
Câu 8. Mệnh đề nào sau đây sai:
Câu 9. Cho hình chữ nhật ABCD có AB = 4 cm, AD = 3 cm. Tính .
A. 5 cm;
B. 7 cm;
C. 9 cm;
D. 11 cm.
Câu 10. Cho G là trọng tâm của tam giác ABC và điểm M bất kỳ. Đẳng thức nào sau đây đúng?
Câu 11. Cho ba điểm A, B, C như hình vẽ:
Đẳng thức nào sau đây đúng?
Câu 12. Trong mặt phẳng tọa độ Oxy, cho .Tìm tọa độ của vectơ
A.;
B. ;
C. ;
D..
Câu 13. Trong mặt phẳng tọa độ, cặp vectơ nào sau đây cùng phương?
Câu 14. Cho hai vectơ và khác vectơ-không. Khẳng định nào sau đây là đúng?
Câu 15. Miền nghiệm của bất phương trình 2x – y + 6 ≤ 0 được biểu diễn là miền màu xanh trong hình ảnh nào sau đây ?
A.
B.
C.
D.
Câu 16. Cho tam giác ABC cân tại A có =. Khi đó sin B bằng:
A. ;
B.-;
C.;
D.-.
Câu 17. Cho góc α với 0° < α < 180°. Tính giá trị của cosα, biết .
Câu 18. Cho hình thoi ABCD. Vectơ – không có điểm đầu là A thì nó có điểm cuối là:
A. Điểm A;
B. Điểm B;
C. Điểm C;
D. Điểm D.
Câu 19. Cho tam giác ABC đều. Tính góc .
A. 90°;
B. 135°;
C. 90°;
D. 60°.
Câu 20. Cho tam giác ABC có: AB = 3, BC = 4, AC = 5. Tính .
A. 1;
B. 0;
C. 12;
D. 20.
Câu 21. Cho hai vectơ và đều khác . Biết: , và . Tính độ dài của vectơ .
A. 1;
B. 2;
C. ;
D. .
Câu 22. Một lực có độ lớn N tác động vào điểm M làm vật di chuyển theo phương nằm ngang từ M đến điểm N cách M một khoảng 10 m. Biết góc giữa và phương thẳng đứng là 30°. Tính công sinh bởi lực F.
A. 900 J;
B. 800 J;
C. 600 J;
D. J.
Câu 23. Cho giá trị gần đúng của là 1,73. Sai số tuyệt đối của số gần đúng 1,73 là:
A. 0,003;
B. 0,03;
C. 0,002;
D. 0,02.
Câu 24. Viết số quy tròn của số gần đúng b biết = 12 409,12 ± 0,5.
A. 12 410;
B. 12 409,1;
C. 12 000;
D. 12 409.
Câu 25. Tính số trung bình của mẫu số liệu sau:
2; 5; 8; 7; 10; 20; 11.
A. 8;
B. 9;
C. 10;
D. 11.
Câu 26. Tìm trung vị của mẫu số liệu sau:
0; 1; 2; 3; 5; 9; 10.
A. 3;
B. 5;
C. 0;
D. 2.
Câu 27. Số lượng học sinh đăng kí thi môn cầu lông các lớp từ lớp 6 đến lớp 9 được thống kê trong bảng dưới đây:
|
Lớp |
6 |
7 |
8 |
9 |
|
Số lượng |
20 |
25 |
22 |
15 |
Tìm mốt trong mẫu số liệu trên.
A. 6;
B. 7;
C. 8;
D. 9.
Câu 28. Cho mẫu số liệu sau:
5; 2; 9; 10; 15; 5; 20.
Tứ phân vị Q1, Q2, Q3 của mẫu số liệu trên lần lượt là:
A. 2; 5; 9;
B. 5; 9; 15;
C. 10; 5; 15;
D. 2; 9; 15.
Câu 29. Cho mẫu số liệu sau:
12; 5; 8; 11; 6; 20; 22.
Tính khoảng biến thiên của mẫu số liệu trên.
A.16;
B. 17;
C. 18;
D. 19.
Câu 30. Khoảng tứ phân vị ∆Q là
A. Q2 – Q1;
B. Q3 – Q1;
C. Q3 – Q2;
D. (Q1 + Q3) : 2.
Câu 31. Cho mẫu số liệu sau:
5; 6; 12; 2; 5; 17; 23; 15; 10.
Tính khoảng tứ phân vị của mẫu số liệu trên.
A. 8;
B. 9;
C. 10;
D. 11.
Câu 32. Cho mẫu số liệu sau:
10; 3; 6; 9; 15.
Tìm độ lệch chuẩn của mẫu số liệu trên (làm tròn đến hàng phần trăm).
A. 3,03;
B. 4,03;
C. 5,03;
D. 6,03.
Câu 33. Cho tam giác đều ABC cạnh 4. Vectơ có độ dài là.
A. 2;
B. 4;
C. 3;
D. 6.
Câu 34. Cho hình bình hành ABCD. Gọi M, N lần lượt là hai điểm nằm trên hai cạnh AB và CD sao cho AB = 3AM, CD = 2CN. Biểu diễn vectơ qua các vectơ và .
Câu 35. Trong mặt phẳng tọa độ Oxy cho ba điểm A(2; 1), B(1; 10) và điểm C(m; 2m – 17). Tất cả các giá trị của tham số m sao cho AB vuông góc với OC là
A. m = 9;
B. m = ±9;
C. m = – 9;
D. m = 1.
II. Tự luận (3 điểm)
Bài 1. Từ hai vị trí A và B của một tòa nhà, người ta quan sát đỉnh C của ngọn núi. Biết rằng độ cao AB = 70 m, phương nhìn AC tạo với phương nằm ngang góc 30°, phương nhìn BC tạo với phương nằm ngang góc 15°30'. Ngọn núi đó có độ cao so với mặt đất là bao nhiêu (làm tròn đến hàng phần trăm)?
Bài 2. Cho tam giác đều ABC có độ dài cạnh bằng a. Trên các cạnh BC, CA, AB lần lượt lấy các điểm N, M, P sao cho . Tìm giá trị của x theo a để đường thẳng AN vuông góc với đường thẳng PM.
Bài 3. Một cảnh sát giao thông ghi lại tốc độ (đơn vị: km/h) của 25 xe qua trạm như sau:
|
20 |
41 |
41 |
80 |
40 |
52 |
52 |
52 |
60 |
55 |
60 |
60 |
62 |
|
60 |
55 |
60 |
55 |
90 |
70 |
35 |
40 |
30 |
30 |
80 |
25 |
|
Tìm các số liệu bất thường (nếu có) trong mẫu số liệu trên.
Sở Giáo dục và Đào tạo ...
Đề thi Học kì 1 - Kết nối tri thức
năm 2025
Môn: Toán 10
Thời gian làm bài: 90 phút
(không kể thời gian phát đề)
(Đề số 3)
I. Trắc nghiệm (7 điểm)
Câu 1. Trong các câu dưới đây, câu nào là mệnh đề?
A. Có ai ở trong đó không?;
B. Bạn có thấy đói không?;
C. Đừng lại gần tôi!;
D. Số 25 không phải là số nguyên tố.
Câu 2. Cho tập hợp A = {2; 4; 6; 8}. Số tập con của tập hợp A là?
A. 15;
B. 16;
C. 17;
D. 18.
Câu 3. Cho tập hợp K = [1 ; 7) \ (– 3 ; 5). Khẳng định nào sau đây đúng ?
A. K = [1; 7);
B. K = (– 3; 7);
C. K = [1; 5);
D. K = [5; 7).
Câu 4. Miền nghiệm của bất phương trình x – y + 5 ≥ 0 được biểu diễn là miền màu xanh trong hình ảnh nào sau đây ?
A.
B.
C.
D.
Câu 5. Cặp số nào sau đây là nghiệm của hệ bất phương trình bậc nhất hai ẩn ?
A. (3; 5);
B. (1; –1);
C. (2; 5);
D. (3; 4).
Câu 6. Chọn phương án SAI trong các phương án dưới đây?
A. sin 0° = 0;
B. cos 90° = 0;
C. cos 0° = 1;
D. sin 90° = 0.
Câu 7. Cho β là góc tù. Tìm khẳng định đúng trong các khẳng định dưới đây?
A. cos β > 0;
B. sin β > 0;
C. tan β > 0;
D. cot β > 0.
Câu 8. Cho góc α thỏa mãn và 90° < α < 180°. Tính cosα.
Câu 9. Cho tam giác ABC biết và . Tính AC.
Câu 10. Cho hình bình hành ABCD có K là giao điểm hai đường chéo như hình vẽ.
Khẳng định nào sau đây là đúng ?
Câu 11. Cho hình bình hành ABCD có AB = 4 cm. Tính độ dài vectơ .
A. 1 cm;
B. 3 cm;
C. 4 cm;
D. 2 cm
Câu 12. Cho các điểm A, B, C phân biệt. Đẳng thức nào sau đây đúng ?
Câu 13. Cho hình bình hành ABCD với giao điểm hai đường chéo là I. Khi đó:
Câu 14. Cho hình vuông ABCD cạnh 2a. Tính .
A. ;
B. a;
C. ;
D. 2a.
Câu 15. Cho tứ giác ABCD. Gọi E, F lần lượt là trung điểm của AB, CD, O là trung điểm của EF. Khẳng định nào sau đây là đúng ?
Câu 16. Cho tam giác ABC. Đặt , . M thuộc cạnh AB sao cho AB = 3AM, N thuộc tia BC và CN = 2BC. Phân tích qua các vectơ và ta được biểu thức là:
Câu 17. Cho các vectơ và không cùng phương và , và . Khẳng định nào sau đây là đúng ?
Câu 18. Cho tam giác ABC có điểm I nằm trên cạnh AC sao cho , J là điểm thỏa mãn . Ba điểm nào sau đây thẳng hàng ?
A. I, J, C;
B. I, J, B;
C. I, A, B;
D. I, G, B.
Câu 19. Cho tam giác ABC vuông tại A có: AB = 4, BC = 8. Tính .
A. 90°;
B. 60°;
C. 30°;
D. 45°.
Câu 20. Cho hai vectơ và đều khác . Biết: , và . Tính độ dài của vectơ .
A. 1;
B. 2;
C. ;
D. .
Câu 21. Cho tam giác ABC đều cạnh a. Tính .
A. a;
B. 0;
C. a2;
D. .
Câu 22. Cho hình thang ABCD với hai đáy là AB, CD có: . Khẳng định nào sau đây là đúng ?
A. BD vuông góc với AC;
B. AB vuông góc với AC;
C. AB vuông góc với DC;
D. BD vuông góc với DC.
Câu 23. Cho giá trị gần đúng của là 0,35. Sai số tuyệt đối của số gần đúng 0,35 là:
A. 0,003;
B. 0,03;
C. 0,0029;
D. 0,02.
Câu 24. Hãy viết số quy tròn của số gần đúng a = 15,318 biết = 15,318 ± 0,05.
A. 15,3;
B. 15,31;
C. 15,32;
D. 15,4.
Câu 25. Số lượng khách từ ngày thứ nhất đến ngày thứ 10 của một nhà hàng mới mở được thống kê ở bảng sau:
|
Ngày |
1 |
2 |
3 |
4 |
5 |
6 |
7 |
8 |
9 |
10 |
|
Số khách |
11 |
9 |
7 |
5 |
15 |
20 |
9 |
6 |
17 |
13 |
Tính số khách trung bình từ bảng số liệu trên.
A. 9,2;
B. 10,2;
C. 11,2;
D. 12,2.
Câu 26. Tìm trung vị của mẫu số liệu sau:
1; 0; 5; 10; 2; 3; 9.
A. 3;
B. 5;
C. 0;
D. 2.
Câu 27. Cho mẫu số liệu sau:
1; 9; 12; 10; 2; 9; 15; 11; 20; 17.
Tứ phân vị Q1, Q2, Q3 của mẫu số liệu trên lần lượt là:
A. 9; 11; 15;
B. 2; 10,5; 15;
C. 10; 12,5; 15;
D. 9; 10,5; 15.
Câu 28. Cho mẫu số liệu sau:
2; 5; 9; 12; 15; 5; 20.
Tìm mốt của mẫu số liệu trên.
A. 5;
B. 9;
C. 12;
D. 20.
Câu 29. Cho mẫu số liệu sau:
15; 26; 5; 2; 9; 5; 28; 30; 2; 26.
Tính khoảng biến thiên của mẫu số liệu trên.
A.26;
B. 28;
C. 30;
D. 32.
Câu 30. Cho mẫu số liệu sau:
2; 9; 12; 16; 3; 5; 12; 33; 24; 27.
Tính khoảng tứ phân vị của mẫu số liệu trên.
A. 17;
B. 18;
C. 19;
D. 20.
Câu 31. Cho mẫu số liệu sau:
12; 2; 6; 13; 9; 21.
Tìm phương sai của mẫu số liệu trên (làm tròn đến hàng phần trăm).
A. 35,85;
B. 34,85;
C. 34,58;
D. 35,58.
Câu 32. Cho mẫu số liệu sau:
24; 16; 12; 5; 9; 3.
Tìm độ lệch chuẩn của mẫu số liệu trên (làm tròn đến hàng phần trăm).
A. 7,04;
B. 8,04;
C. 7,55;
D. 8,55.
Câu 33. Trong mặt phẳng tọa độ Oxy, cho điểm A(1; 2) và B(3; – 1). Độ dài vectơ là:
A. 5;
B. 3;
C. ;
D. .
Câu 34. Trong mặt phẳng tọa độ, cho . Khi đó tọa độ của vectơ là
Câu 35. Góc giữa vectơ và vectơ có số đo bằng:
A. 90°;
B. 0°;
C. 135°;
D. 45°.
II. Tự luận (3 điểm)
Bài 1. Để làm đường điện dây cao thế ở Hà Giang từ vị trí bản A đến bản B, người ta phải tránh một ngọn núi nên người ta phải nối thẳng đường dây từ bản A đến bản C dài 12 km rồi nối từ bản C đến bản B dài 8 km. Qua đo đạc người ta xác định được . Hỏi so với việc nối thẳng từ bản A đến bản B, người ta tốn thêm bao nhiêu tiền, biết mỗi km dây có giá 150 000 đồng.
Bài 2. Cho tam giác ABC vuông tại A có AB = a, AC = 2a. Gọi M là trung điểm của BC, điểm D thuộc AC sao cho . Chứng minh rằng BD vuông góc với AM.
Bài 3. Cho mẫu số liệu sau đây:
2; 5; 1; 2; 8; 5; 45; 3.
Tìm giá trị ngoại lệ của mẫu số liệu trên?
Sở Giáo dục và Đào tạo ...
Đề thi Học kì 1 - Kết nối tri thức
năm 2025
Môn: Toán 10
Thời gian làm bài: 90 phút
(không kể thời gian phát đề)
(Đề số 4)
I. Trắc nghiệm (4 điểm)
Câu 1. Câu nào sau đây không phải là một mệnh đề?
A. “19 là số nguyên tố”;
B. “Tam giác vuông có một trung tuyến bằng nửa cạnh huyền”;
C. “Các em lớp 10D hãy cố gắng học tập thật tốt nhé!”;
D. “Mọi hình thoi đều nội tiếp được đường tròn”.
Câu 2. Cho tập A = {0; 1; 2} và tập B = {0; 1; 2; 3; 4; 5}. Có bao nhiêu tập hợp X thỏa mãn: A ⊂ X ⊂ B?
A. 7;
B. 6;
C. 9;
D. 8.
Câu 3. Cặp số (x; y) = (2021; 3)là một nghiệm của bất phương trình nào sau đây?
A. – 2x + 3y – 1 > 0;
B. x – y < 0;
C. 4x ≤ 3y;
D. x – 3y + 7 ≥ 0.
Câu 4. Miền không bị gạch chéo (kể cả đường thẳng d1 và d2) là miền nghiệm của hệ bất phương trình nào?
A. ;
B. ;
C. ;
D. .
Câu 5. Cho góc α với 90° < α < 180°. Khẳng định nào sau đây đúng?
A. sin α và cot α cùng dấu;
B. Tích sin α . cot α mang dấu âm;
C. Tích sin α . cos α mang dấu dương;
D. sin α và tan α cùng dấu.
Câu 6. Cho tam giác ABC có b = 7, c = 5, cos = . Độ dài đường cao ha của tam giác ABC là
A. ;
B. 8;
C. ;
D. .
Câu 7. Cho hình vuông ABCD, câu nào sau đây là đúng?
A. ;
B. ;
C. ;
D. .
Câu 8. Cho 4 điểm bất kỳ A, B, C, D. Đẳng thức nào sau đây là đúng:
A. ;
B. ;
C. ;
D. .
Câu 9.Cho tam giác OAB vuông cân tạiO với OA = OB = a. Độ dài của vectơ là:
A. ;
B. ;
C. ;
D. .
Câu 10. Trong hệ tọa độ Oxy,cho A(5; 2), B(10; 8).Tìm tọa độ của vectơ ?
A. (15; 10);
B. (2; 4);
C. (5; 6);
D. (50; 16).
Câu 11. Cho hai vectơ và thỏa mãn = 3, = 2 và = -3. Xác định góc α giữa hai vectơ và .
A. α = 30°;
B. α = 45°;
C. α = 60°;
D. α = 120°.
Câu 12. Cho giá trị gần đúng của là 0,47. Sai số tuyệt đối của số 0,47 là
A. 0,001;
B. 0,002;
C. 0,003;
D. 0,004.
Câu 13. Số quy tròn của số a với độ chính xác d được cho sau đây = 17 658 ± 16 là
A. 18 000;
B. 17 800;
C. 17 600;
D. 17 700.
Câu 14. Các giá trị xuất hiện nhiều nhất trong mẫu số liệu được gọi là
A. Mốt;
B. Số trung bình;
C. Số trung vị;
D. Độ lệch chuẩn.
Câu 15. Một tổ gồm 10 học sinh có điểm kiểm tra giữa học kì 1 môn toán như sau:
7; 5; 6; 6; 6; 8; 7; 5; 6; 9.
Tính điểm trung bình của tổ học sinh đó.
A. 7;
B. 8;
C. 7,3;
D. 7,5.
Câu 16. Cho bảng số liệu thống kê chiều cao của một nhóm học sinh như sau:
150 |
153 |
153 |
154 |
154 |
155 |
160 |
160 |
162 |
162 |
163 |
163 |
163 |
165 |
165 |
167 |
Số trung vị của bảng số liệu nói trên là
A. 161;
B. 154;
C. 163;
D. 156.
Câu 17. Chọn khẳng định sai trong các khẳng định sau:
A. Phương sai luôn là một số không âm;
B. Phương sai là bình phương của độ lệch chuẩn;
C. Phương sai càng lớn thì độ phân tán quanh số trung bình càng lớn;
D. Phương sai luôn lớn hơn độ lệch chuẩn.
Câu 18. Cho mẫu số liệu thống kê:
135; 126; 176; 178; 111; 102; 167; 123; 124.
Khoảng biến thiên của mẫu số liệu trên là
A. 76;
B. 77;
C. 78;
D. 79.
Câu 19. Khoảng tứ phân vị của mẫu số liệu ở Câu 18 là
A. 53,5;
B. 54,5;
C. 55,5;
D. 56,5.
Câu 20. Một mẫu số liệu có phương sai là 0,01. Độ lệch chuẩn của mẫu số liệu là
A. 0,0001;
B. 0,001;
C. 0,01;
D. 0,1.
II. Tự luận (6 điểm)
Bài 1. (1 điểm) Cho A = (– 3; 5], B = (– ∞; 2]. Tìm A ∩ B, A ∪ B, A \ B, CℝA.
Bài 2. (1 điểm) Khuôn viên của trường THPT An Nam có dạng hình tứ giác ABCD có kích thước các cạnh AB, BC, CD, DA lần lượt là 6,67; 7,25; 6,1; 9,1 và = 115° (xem hình dưới). Tính gần đúng diện tích khuôn viên đất đó (làm tròn kết quả đến hàng phần trăm).
Bài 3. (2 điểm) Cho ba điểm A(; -1), B(0; 3) và A(; 3).
a) Tìm đỉnh thứ tư của hình bình hành ABCD.
b) Tìm .
Bài 4. (2 điểm) Mẫu số liệu sau đây cho biết sản lượng lúa (đơn vị tạ) của 10 thửa ruộng thí nghiệm có cùng diện tích.
10,5 21,3 22,1 22,2 23,4 23,4 20,5 24,2 24,2 23,0
a) Tính số trung bình, trung vị, khoảng biến thiên, khoảng tứ phân vị và độ lệch chuẩn của mẫu số liệu trên.
b) Tìm các giá trị bất thường (nếu có) của mẫu số liệu trên.
-----HẾT-----
Sở Giáo dục và Đào tạo ...
Đề thi Học kì 1 - Kết nối tri thức
năm 2025
Môn: Toán 10
Thời gian làm bài: 90 phút
(không kể thời gian phát đề)
(Đề số 5)
I. Trắc nghiệm (5 điểm)
Câu 1. Phát biểu mệnh đề phủ định của mệnh đề “∀n ∈ ℕ, n2 – 5n + 9 ≠ 0”.
A. “∃n ∈ ℕ, n2 – 5n + 9 ≤ 0”;
B. “∃n ∈ ℕ, n2 – 5n + 9 ≥ 0”;
C. “∃n ∈ ℕ, n2 – 5n + 9 = 0”;
D. “∃n ∈ ℕ, n2 – 5n + 9 ≠ 0”.
Câu 2. Cho hai tập hợp A = (– 3; 7] và B = [5; 9). Tập hợp A ∩ B là
A. [5; 7];
B. (5; 7);
C. (– 3; 9);
D. [– 3; 9].
Câu 3. Bất phương trình bậc nhất hai ẩn nào dưới đây có miền nghiệm như hình vẽ dưới đây? (kể cả đường thẳng)
A. x – 2y + 4 ≥ 0;
B. x + y – 3 < 3;
C. x + y – 3 > 0;
D. x – 2y + 4 ≤ 0.
Câu 4. Phần không gạch chéo ở hình sau đây là biểu diễn miền nghiệm của hệ bất phương trình nào trong bốn hệ A, B, C, D ?
A. ;
B. ;
C. ;
D. .
Câu 5. Cho tam giác ABC có độ dài các cạnh AB = c, AC = b, BC = a. Đặt p = , S = . Gọi r, R lần lượt là bán kính đường tròn nội, ngoại tiếp tam giác ABC. Khẳng định nào sau đây sai?
A. S = ;
B. S = pr;
C. S = absinC;
D. S = .
Câu 6. Cho sin α = . Tính giá trị biểu thức P = 3sin2 α + cos2 α.
A. P = ;
B. P = ;
C. P = ;
D. P = .
Câu 7. Cho lục giác đều ABCDEF tâm O. Hãy tìm các vectơ khác vectơ-không có điểm đầu, điểm cuối là đỉnh của lục giác và tâm O sao cho bằng với ?
A. ;
B. ;
C. ;
D. .
Câu 8. Cho Cho hình bình hành ABCD tâm O. Đẳng thức nào sau đây đúng?
A. ;
B. ;
C. ;
D. .
Câu 9.Cho hai vectơ và không cùng phương. Hai vectơ nào sau đây là cùng phương?
A. và ;
B. và ;
C. và ;
D. và .
Câu 10.Cho = (3; -4), = (-1; 2). Tìm tọa độ của .
A. (– 4; 6);
B. (2; – 2);
C. (4; – 6);
D. (– 3; – 8).
Câu 11. Cho tam giác ABC có tọa độ ba đỉnh lần lượt là A(2; 3), B(5; 4), C(2; 2). Tọa độ trọng tâm G của tam giác có tọa độ là
A. (3; 3);
B. (2; 2);
C. (1; 1);
D. (4; 4).
Câu 12.Trên đường thẳng chứa cạnh BC của tam giác ABC lấy một điểm M sao cho . Khi đó đẳng thức nào sau đây đúng?
A. ;
B. ;
C. ;
D. .
Câu 13. Cho đoạn thẳng AB, M là điểm thỏa . Mệnh đề nào sau đây đúng?
A. M là trung điểm AB ;
B. M trùng A;
C. M trùng B;
D. A là trung điểm MB.
Câu 14.Cho đường tròn tâm O. Từ điểm A nằm ngoài (O), kẻ hai tiếp tuyến AB, AC tới (O). Xét mệnh đề:
(I) ;
(II) ;
(III) .
Mệnh đề đúng là:
A. Chỉ (I);
B. (I) và (III);
C. (I), (II), (III);
D. Chỉ (III).
Câu 15. Tam giác ABC có a = 21, b = 17, c = 10. Diện tích của tam giác ABC bằng:
A. S = 16;
B. S = 24;
C. S = 48;
D. S = 84.
Câu 16. Cho tam giác ABC cân tại A, = 120° và AB = a. Tính .
A. ;
B. ;
C. ;
D. .
Câu 17. Cho A(2; 5), B(1; 3), C(5; – 1). Tìm tọa độ điểm K sao cho .
A. K(– 4; 5);
B. K(4; – 5);
C. K(4; 5);
D. K(– 4; – 5).
Câu 18. Cho hai vectơ và có = 4, = 5 và = 120°. Tính .
A. ;
B. ;
C. 21;
D. 61.
Câu 19. Cho giá trị gần đúng của là 0,429. Sai số tuyệt đối của số 0,429 là
A. 0,0001;
B. 0,0002;
C. 0,0004;
D. 0,0005.
Câu 20. Số quy tròn của số gần đúng a với độ chính xác d trong trường hợp = 2,4653245 ± 0,006 là
A. 2,46;
B. 2,47;
C. 2,5;
D. 2,465.
Câu 21. Điểm kiểm tra môn Toán của 24 học sinh được ghi lại trong bảng sau:
|
7 |
2 |
3 |
5 |
8 |
2 |
|
8 |
5 |
8 |
4 |
9 |
6 |
|
6 |
1 |
9 |
3 |
6 |
7 |
|
3 |
6 |
6 |
7 |
2 |
9 |
Mốt của mấu số liệu trên là
A. 2;
B. 6;
C. 7;
D. 9.
Câu 22. Cho mẫu số liệu:
1 1 3 6 7 8 8 9 10
Số trung bình của mẫu số liệu trên gần nhất với số nào dưới đây?
A. 7,5;
B. 7;
C. 6,5;
D. 5,9.
Câu 23. Tứ phân vị thứ ba của mẫu số liệu ở Câu 22 là
A. 2;
B. 7;
C. 8,5;
D. 9.
Câu 24. Cho phương sai của mẫu số liệu bằng 4. Độ lệch chuẩn của mẫu số liệu là
A. 4;
B. 2;
C. 16;
D. 8.
Câu 25. Mẫu số liệu sau cho biết số ghế trống tại một rạp chiếu phim trong 10 ngày:
7 9 13 20 40 7 18 19 21 25
Khoảng biến thiên của mẫu số liệu là
A. 33;
B. 23;
C. 13;
D. 3.
II. Tự luận (5 điểm)
Bài 1. (1 điểm) Cho hai tập hợp A = (0; 3), B = (2; 4). Xác định A ∪ B, A ∩ B, A \ B và CℝA.
Bài 2. (1 điểm) Từ hai điểm A và B của một tòa nhà, người ta quan sát điểm pháo hoa nổ. Biết rằng AB = 120 m, phương nhìn AC tạo với phương ngang một góc 45°, phương nhìn BC tạo với phương ngang góc 15°30'.
Hỏi điểm pháo hoa nổ cao so với mặt đất bao nhiêu?
Bài 3. (1 điểm) Cho tam giác ABC vuông tại A có AB = a, AC = 2a. Gọi M là trung điểm của BC, điểm D thuộc AC sao cho AD = . Chứng minh rằng BD vuông góc với AM.
Bài 4. (2 điểm) Điểm kiểm tra môn Toán của hai bạn Trung và Long trong 6 lần thi thử được thống kê trong bảng dưới đây:
|
Lần
Tên |
1 |
2 |
3 |
4 |
5 |
6 |
|
Trung |
5 |
8 |
7 |
6 |
9 |
8 |
|
Long |
8 |
4 |
6 |
8 |
9 |
6 |
a) Tính điểm trung bình của mỗi bạn.
b) Sử dụng kiến thức về khoảng biến thiên, khoảng tứ phân vị, độ lệch chuẩn xác định xem điểm bạn nào ổn định hơn?
-----HẾT-----
Xem thêm bộ đề thi Toán 10 Kết nối tri thức năm 2025 hay khác:
Để học tốt lớp 10 các môn học sách mới:
- Giải bài tập Lớp 10 Kết nối tri thức
- Giải bài tập Lớp 10 Chân trời sáng tạo
- Giải bài tập Lớp 10 Cánh diều
Tủ sách VIETJACK shopee lớp 10-11 (cả 3 bộ sách):
Đã có app VietJack trên điện thoại, giải bài tập SGK, SBT Soạn văn, Văn mẫu, Thi online, Bài giảng....miễn phí. Tải ngay ứng dụng trên Android và iOS.
Theo dõi chúng tôi miễn phí trên mạng xã hội facebook và youtube:Nếu thấy hay, hãy động viên và chia sẻ nhé! Các bình luận không phù hợp với nội quy bình luận trang web sẽ bị cấm bình luận vĩnh viễn.
- Giáo án lớp 10 (các môn học)
- Giáo án điện tử lớp 10 (các môn học)
- Giáo án Ngữ văn 10
- Giáo án Toán 10
- Giáo án Tiếng Anh 10
- Giáo án Vật Lí 10
- Giáo án Hóa học 10
- Giáo án Sinh học 10
- Giáo án Lịch Sử 10
- Giáo án Địa Lí 10
- Giáo án Kinh tế Pháp luật 10
- Giáo án Tin học 10
- Giáo án Công nghệ 10
- Giáo án Giáo dục quốc phòng 10
- Giáo án Hoạt động trải nghiệm 10
- Đề thi lớp 10 (các môn học)
- Đề thi Ngữ Văn 10 (có đáp án)
- Chuyên đề Tiếng Việt lớp 10
- Đề cương ôn tập Văn 10
- Đề thi Toán 10 (có đáp án)
- Đề thi cương ôn tập Toán 10
- Đề thi Toán 10 cấu trúc mới (có đáp án)
- Đề thi Tiếng Anh 10 (có đáp án)
- Đề thi Vật Lí 10 (có đáp án)
- Đề thi Hóa học 10 (có đáp án)
- Đề thi Sinh học 10 (có đáp án)
- Đề thi Lịch Sử 10 (có đáp án)
- Đề thi Địa Lí 10 (có đáp án)
- Đề thi Kinh tế & Pháp luật 10 (có đáp án)
- Đề thi Tin học 10 (có đáp án)
- Đề thi Công nghệ 10 (có đáp án)
- Đề thi Giáo dục quốc phòng 10 (có đáp án)


Giải bài tập SGK & SBT
Tài liệu giáo viên
Sách
Khóa học
Thi online
Hỏi đáp

