Acid acetylsalicylic là gì
Acid acetylsalicylic là một hợp chất hữu cơ với cái tên thông dụng là aspirin có nhiều ứng dụng trong y học. Bài viết dưới đây giúp các bạn hiểu rõ hơn về acid acetylsalicylic. Mời các bạn đón đọc:
Acid acetylsalicylic là gì
1. Acid acetylsalicylic là gì?
- Acid acetylsalicylic (ASA) được biết đến với tên thông dụng là aspirin, là một hợp chất hữu cơ có công thức phân tử là C9H8O4. Acid acetylsalicylic là tinh thể trắng, không mùi hoặc hơi có mùi đặc trưng, ít tan trong nước lạnh, tan tốt trong dung môi hữu cơ.
- Acid acetylsalicylic có phân tử khối M = 180.
- Công thức cấu tạo của acid acetylsalicylic:
- Acid acetylsalicylic phân hủy nhanh trong dung dịch ammoniumacetate hoặc các muối acetate, carbonate, citrate, hoặc hydroxide của kim loại kiềm. Nó bền trong không khí khô, nhưng thủy phân dần khi tiếp xúc với hơi ẩm thành acid acetic và acid salicylic. Trong dung dịch kiềm, quá trình thủy phân diễn ra nhanh chóng và dung dịch trong suốt tạo thành có thể chỉ gồm acetate và salicylate.
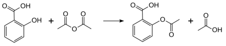
2. Điều chế acid acetylsalicylic
Acid acetylsalicylic được điều chế bằng cách phản ứng acetyl hóa acid salicylic với anhydrid acetic (hoặc acetyl chloride) có xúc tác acid (thường là H₂SO₄ đặc):
3. Ứng dụng của acid acetylsalicylic
Acid acetylsalicylic (aspirin) có ứng dụng làm thuốc giảm đau, hạ sốt, chống viêm thông dụng, có tác dụng chống kết tập tiểu cầu, dùng trong phòng ngừa nhồi máu cơ tim, đột quỵ ở liều thấp. Aspirin còn là nguyên liệu trong công nghiệp dược phẩm để tổng hợp các dẫn xuất khác.
4. Bài tập minh họa acid acetylsalicylic
Câu 1.Công thức phân tử của acid acetylsalicylic là
A.C8H10O4.
B. C9H8O2.
C.C9H8O4.
D.C9H10O2.
Hướng dẫn giải
Đáp án đúng là: C
Câu 2.Acid acetylsalicylic có phân tử khối là
A. 160.
B.162.
C.180.
D.184.
Hướng dẫn giải
Đáp án đúng là: C
Câu 3: Acid acetylsalicylic có ứng dụng nào sau đây trong y học?
A.Điều trị các bệnh lý rối loạn tâm thần và trầm cảm.
B.Hạ đường huyết ở bệnh nhân đái tháo đường type 2.
C.Kháng sinh tiêu diệt vi khuẩn gây nhiễm trùng đường hô hấp.
D.Ức chế kết tập tiểu cầu, dùng trong phòng ngừa nhồi máu cơ tim, đột quỵ ở liều thấp.
Hướng dẫn giải
Đáp án đúng là: D
Xem thêm kiến thức hóa học của các đơn chất, hợp chất hay khác:
Đã có app VietJack trên điện thoại, giải bài tập SGK, SBT Soạn văn, Văn mẫu, Thi online, Bài giảng....miễn phí. Tải ngay ứng dụng trên Android và iOS.
Theo dõi chúng tôi miễn phí trên mạng xã hội facebook và youtube:Loạt bài Wiki tính chất hóa học trình bày toàn bộ tính chất hóa học, vật lí, nhận biết, điều chế và ứng dụng của tất cả các đơn chất, hợp chất hóa học đã học trong chương trình Hóa học cấp 2, 3.
Nếu thấy hay, hãy động viên và chia sẻ nhé! Các bình luận không phù hợp với nội quy bình luận trang web sẽ bị cấm bình luận vĩnh viễn.
- Đề thi lớp 1 (các môn học)
- Đề thi lớp 2 (các môn học)
- Đề thi lớp 3 (các môn học)
- Đề thi lớp 4 (các môn học)
- Đề thi lớp 5 (các môn học)
- Đề thi lớp 6 (các môn học)
- Đề thi lớp 7 (các môn học)
- Đề thi lớp 8 (các môn học)
- Đề thi lớp 9 (các môn học)
- Đề thi lớp 10 (các môn học)
- Đề thi lớp 11 (các môn học)
- Đề thi lớp 12 (các môn học)
- Giáo án lớp 1 (các môn học)
- Giáo án lớp 2 (các môn học)
- Giáo án lớp 3 (các môn học)
- Giáo án lớp 4 (các môn học)
- Giáo án lớp 5 (các môn học)
- Giáo án lớp 6 (các môn học)
- Giáo án lớp 7 (các môn học)
- Giáo án lớp 8 (các môn học)
- Giáo án lớp 9 (các môn học)
- Giáo án lớp 10 (các môn học)
- Giáo án lớp 11 (các môn học)
- Giáo án lớp 12 (các môn học)


Giải bài tập SGK & SBT
Tài liệu giáo viên
Sách
Khóa học
Thi online
Hỏi đáp

