70+ Đề thi Toán 9 Giữa kì 2 năm 2026 (cấu trúc mới, có đáp án)
Trọn bộ 70 đề thi Toán 9 Giữa kì 2 theo cấu trúc mới sách mới Kết nối tri thức, Chân trời sáng tạo, Cánh diều có đáp án và ma trận sẽ giúp bạn ôn tập và đạt điểm cao trong bài thi Toán 9.
70+ Đề thi Toán 9 Giữa kì 2 năm 2026 (cấu trúc mới, có đáp án)
Xem thử Đề thi GK2 Toán 9 KNTT Xem thử Đề thi GK2 Toán 9 CTST Xem thử Đề thi GK2 Toán 9 CD
Chỉ từ 150k mua trọn bộ đề thi Toán 9 Giữa kì 2 bản word có lời giải chi tiết, dễ dàng chỉnh sửa:
- B1: gửi phí vào tk:
1133836868- CT TNHH DAU TU VA DV GD VIETJACK - Ngân hàng MB (QR) - B2: Nhắn tin tới Zalo VietJack Official - nhấn vào đây để thông báo và nhận giáo án
Đề thi Toán 9 Giữa kì 2 (Giáo viên VietJack)
Đề thi Giữa kì 2 Toán 9 cấu trúc mới (theo bộ sách)
Đề thi Giữa kì 2 Toán 9 trên cả nước
Đề thi Giữa kì 2 Toán 9 trường THPT Hà Huy Tập (TP HCM) năm 2025-2026
Đề thi Giữa kì 2 Toán 9 trường THCS Đồi Ngô (Bắc Ninh) năm 2025-2026
Đề thi Giữa kì 2 Toán 9 trường THCS Trần Bích San (Ninh Bình) năm 2025-2026
Đề thi Giữa kì 2 Toán 9 trường THPT Lương Thế Vinh (TP HCM) năm 2025-2026
Đề thi Giữa kì 2 Toán 9 trường THCS Động Đạt I (Thái Nguyên) năm 2025-2026
Đề thi Giữa kì 2 Toán 9 trường Thực hành Sài Gòn (TP HCM) năm 2025-2026
Đề thi Giữa kì 2 Toán 9 trường THCS Kiêu Kỵ (Hà Nội) năm 2025-2026
Đề thi Giữa kì 2 Toán 9 trường THCS Huỳnh Thúc Kháng (Đà Nẵng) năm 2025-2026
Đề thi Giữa kì 2 Toán 9 trường THCS Quế Thuận (Đà Nẵng) năm 2025-2026
Đề thi Giữa kì 2 Toán 9 trường THCS Quang Trung (Thanh Hóa) năm 2025-2026
Đề thi Giữa kì 2 Toán 9 trường THCS Lê Hồng Phong (Hà Nội) năm 2025-2026
Đề thi Giữa kì 2 Toán 9 trường THCS Mỹ Đình 2 (Hà Nội) năm 2025-2026
Đề thi Giữa kì 2 Toán 9 trường THPT chuyên Hà Nội – Amsterdam năm 2025-2026
Đề thi Giữa kì 2 Toán 9 trường TH, THCS và THPT Quốc tế Á Châu (TP HCM) năm 2025-2026
Đề thi Giữa kì 2 Toán 9 trường THCS Nghĩa Tân (Hà Nội) năm 2025-2026
Đề thi Giữa kì 2 Toán 9 trường THCS Đặng Tấn Tài (TP HCM) năm 2025-2026
Đề thi Giữa kì 2 Toán 9 trường THCS Nguyễn Thị Định (Đà Nẵng) năm 2025-2026
Đề thi Giữa kì 2 Toán 9 trường THCS Nam Từ Liêm (Hà Nội) năm 2025-2026
Đề thi Giữa kì 2 Toán 9 trường THCS Cầu Diễn (Hà Nội) năm 2025-2026
Đề thi Giữa kì 2 Toán 9 trường THCS Trưng Vương (Hà Nội) năm 2025-2026
Đề thi Giữa kì 2 Toán 9 trường THCS Ba Đình (Hà Nội) năm 2025-2026
Đề thi Giữa kì 2 Toán 9 trường THCS Lê Ngọc Hân (Hà Nội) năm 2025-2026
Đề thi Giữa kì 2 Toán 9 trường THCS Nhật Tân (Hà Nội) năm 2025-2026
Đề thi Giữa kì 2 Toán 9 trường THCS Tây Mỗ 3 (Hà Nội) năm 2025-2026
Đề thi Giữa kì 2 Toán 9 trường THCS Nguyễn Chí Thanh (Đà Nẵng) năm 2025-2026
Đề thi Giữa kì 2 Toán 9 trường THCS Nguyễn Bỉnh Khiêm (Đà Nẵng) năm 2025-2026
Đề thi Giữa kì 2 Toán 9 trường THCS Nguyễn Trường Tộ (Hà Nội) năm 2025-2026
Đề thi Giữa kì 2 Toán 9 trường THCS Chu Văn An (Đà Nẵng) năm 2025-2026
Đề thi Giữa kì 2 Toán 9 trường THCS Vân Hà (Bắc Ninh) năm 2025-2026
Đề thi Giữa kì 2 Toán 9 trường THCS Ngọc Lâm (Hà Nội) năm 2024-2025
Đề thi Giữa kì 2 Toán 9 trường THCS Chương Dương (Hà Nội) năm 2024-2025
Đề thi Giữa kì 2 Toán 9 trường THCS Mai Dịch (Hà Nội) năm 2024-2025
Đề thi Giữa kì 2 Toán 9 trường THCS Ba Đình (Hà Nội) năm 2024-2025
Đề thi Giữa kì 2 Toán 9 trường THCS Phúc Đồng (Hà Nội) năm 2024-2025
Đề thi Giữa kì 2 Toán 9 trường THCS Trưng Vương (Hà Nội) năm 2024-2025
Đề thi Giữa kì 2 Toán 9 trường THCS Nhật Tân (Hà Nội) năm 2024-2025
Đề thi Giữa kì 2 Toán 9 trường THCS Thanh Mỹ (Hà Nội) năm 2024-2025
Đề thi Giữa kì 2 Toán 9 trường THCS Phan Đình Giót (Hà Nội) năm 2024-2025
Đề thi Giữa kì 2 Toán 9 trường THCS Cổ Đông (Hà Nội) năm 2024-2025
Đề thi Giữa kì 2 Toán 9 phòng GD&ĐT Châu Đức (Bà Rịa - Vũng Tàu) năm 2024-2025
Đề thi Giữa kì 2 Toán 9 trường THCS Phước Bửu (Bà Rịa - Vũng Tàu) năm 2024-2025
Đề thi Giữa kì 2 Toán 9 trường THCS Trường Thạnh (Tp.HCM) năm 2024-2025
Đề thi Giữa kì 2 Toán 9 trường Lê Thánh Tông (Tp.HCM) năm 2024-2025
Đề thi Giữa kì 2 Toán 9 trường THCS An Nhơn (Tp.HCM) năm 2024-2025
Đề thi Giữa kì 2 Toán 9 trường THCS Lê Quý Đôn (Tp.HCM) năm 2024-2025
Đề thi Giữa kì 2 Toán 9 trường THCS Nguyễn Du (Tp.HCM) năm 2024-2025
Đề thi Giữa kì 2 Toán 9 phòng GD&ĐT Bình Thạnh (Tp.HCM) năm 2024-2025
Đề thi Giữa kì 2 Toán 9 phòng GD&ĐT Quận 3 (Tp.HCM) năm 2024-2025
Đề thi Giữa kì 2 Toán 9 trường Quốc tế Á Châu (Tp.HCM) năm 2024-2025
Đề thi Giữa kì 2 Toán 9 trường THCS Nội Duệ (Bắc Ninh) năm 2024-2025
Đề thi Giữa kì 2 Toán 9 phòng GD&ĐT Lương Tài (Bắc Ninh) năm 2024-2025
Đề thi Giữa kì 2 Toán 9 phòng GD&ĐT thành phố Bắc Ninh năm 2024-2025
Đề thi Giữa kì 2 Toán 9 phòng GD&ĐT Thuận Thành (Bắc Ninh) năm 2024-2025
Đề thi Giữa kì 2 Toán 9 trường THCS Tư Mại (Bắc Giang) năm 2024-2025
Đề thi Giữa kì 2 Toán 9 phòng GD&ĐT Yên Thế (Bắc Giang) năm 2024-2025
Đề thi Giữa kì 2 Toán 9 phòng GD&ĐT Xuân Trường (Nam Định) năm 2024-2025
Đề thi Giữa kì 2 Toán 9 phòng GD&ĐT Giao Thủy (Nam Định) năm 2024-2025
Đề thi Giữa kì 2 Toán 9 trường THCS Chu Văn An (Bình Dương) năm 2024-2025
Đề thi Giữa kì 2 Toán 9 trường THCS Nguyễn Trãi (Quảng Nam) năm 2024-2025
Đề thi Giữa kì 2 Toán 9 trường THCS Trần Phú (Quảng Nam) năm 2024-2025
Đề thi Giữa kì 2 Toán 9 phòng GD&ĐT Mỹ Hào (Hưng Yên) năm 2024-2025
Đề thi Giữa kì 2 Toán 9 trường THCS Hoàng Diệu (Hải Phòng) năm 2024-2025
Đề thi Giữa kì 2 Toán 9 trường THCS Quảng Long (Quảng Bình) năm 2024-2025
Đề thi Giữa kì 2 Toán 9 trường THCS Trưng Vương (Đà Nẵng) năm 2024-2025
Xem thử Đề thi GK2 Toán 9 KNTT Xem thử Đề thi GK2 Toán 9 CTST Xem thử Đề thi GK2 Toán 9 CD
Phòng Giáo dục và Đào tạo .....
Đề thi Giữa kì 2 - Kết nối tri thức
Năm học ...
Môn: Toán 9
Thời gian làm bài: phút
A. TRẮC NGHIỆM (7,0 điểm)
Phần 1. Câu trắc nghiệm nhiều phương án lựa chọn (3,0 điểm)
Trong mỗi câu hỏi từ câu 1 đến câu 12, hãy viết chữ cái in hoa đứng trước phương án đúng duy nhất vào bài làm.
Câu 1. Hàm số y = ax2 (a ≠ 0) xác định với
A. mọi giá trị x ∈ ℝ.
B. mọi giá trị x ∈ ℤ.
C. mọi giá trị x ∈ ℕ.
D. mọi giá trị x ∈ ℕ*.
Câu 2. Cho hàm số y = -3x2. Giá trị của y ứng với giá trị của x = -2 là
A. -6.
B. 6.
C. -12.
D. 12.
Câu 3. Điểm đối xứng với điểm có tọa độ (-a; b) qua trục Oy là
A. (b; -a).
B. (-b; a).
C. (a; b).
D. (a; -b).
Câu 4. Phương trình nào sau đây không phải là phương trình bậc hai một ẩn?
A. 5x2 - 4 = 0.
B. x2 - x = 0.
C. 2x2 + (1 - )x - = 0.
D. 0x2 + x + = 0.
Câu 5. Phương trình 2x2 + 2 = 0 là phương trình bậc hai một ẩn có các hệ số a, b, c lần lượt là
A. 2, 2, 0.
B. 2, 0, 2.
C. 0, 2, 2.
D. 2, 0, 0.
Câu 6. Phương trình ax2 + bx + c = 0 (a ≠ 0) có biệt thức ∆ = b2 - 4ac. Phương trình này có hai nghiệm phân biệt khi
A. ∆ < 0.
B. ∆ = 0.
C. ∆ > 0.
D. ∆ ≥ 0.
Câu 7. Phương trình x2 + 3x - 1 = 0 có các nghiệm là
A.
B.
C.
D.
Câu 8. Nhận định nào sau đây là sai?
A. Trong một đường tròn, góc nội tiếp chắn nửa đường tròn là góc vuông.
B. Trong một đường tròn, hai góc nội tiếp chắn hai cung bằng nhau thì bằng nhau.
C. Trong một đường tròn, hai góc nội tiếp cùng chắn một cung thì bằng nhau.
D. Trong một đường tròn, hai góc nội tiếp bằng nhau thì cùng chắn một cung.
Câu 9. Tâm đường tròn nội tiếp của một tam giác là giao điểm của
A. ba đường trung trực.
B. ba đường phân giác.
C. ba đường trung tuyến.
D. ba đường cao.
Câu 10. Tứ giác nào dưới đây là tứ giác nội tiếp?
A. ABCD.
B. MNPQ.
C. EFGH.
D. RSTV.
Câu 11. Mỗi góc của ngũ giác đều có số đo là
A. 36°.
B. 72°.
C. 108°.
D. 144°.
Câu 12. Cho hình vuông ABC có tâm O. Có bao nhiêu phép quay thuận chiều tâm O biến hình vuông thành chính nó?
A. 1.
B. 2.
C. 3.
D. 4.
Phần 2. Câu trắc nghiệm đúng sai (2,0 điểm)
Trong câu 13 và câu 14, hãy chọn đúng hoặc sai cho mỗi ý a), b), c), d).
Câu 13. Cho hàm số y = -0,5x2.
a) Đồ thị hàm số có trục đối xứng là Ox.
b) Đồ thị hàm số nằm phía trên trục hoành.
c) Đồ thị hàm số đi qua điểm (-3; -4; 5).
d) Giá trị lớn nhất của hàm số là 0.
Câu 14. Cho tứ giác ABCD có nội tiếp đường tròn tâm (O).
a)
b) Tâm O là giao điểm ba đường phân giác của tam giác ABC.
c)
d) Bán kính đường tròn ngoại tiếp tam giác BCD bằng
Phần 3. Câu hỏi trắc nghiệm trả lời ngắn (2,0 điểm)
Trong mỗi câu hỏi từ câu 15 đến câu 18, hãy viết câu trả lời/ đáp án vào bài làm mà không cần trình bày lời giải chi tiết.
Câu 15. Tìm giá trị nguyên lớn nhất của m để phương trình x2 - 2x + m = 0 có nghiệm.
Câu 16. Phương trình bậc hai mx2 + (2m + 1)x + 3 = 0 có một nghiệm là x1 = -1. Tìm giá trị nghiệm còn lại (viết dưới dạng số thập phân) của phương trình.
Câu 17. Cho tứ giác ABCD nội tiếp đường tròn (O), biết Số đo cung ADC là bao nhiêu độ?
Câu 18. Cho tam giác đều ABC. Góc quay của phép quay thuận chiều kim đồng hồ với tâm A biến điểm B thành điểm C là bao nhiêu độ?
B. TỰ LUẬN (3,0 điểm)
Bài 1. (1,5 điểm)
1. Giải bài toán sau bằng cách lập phương trình:
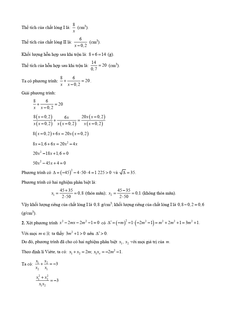
Người ta trộn 8 g chất lỏng I với 6 g chất lỏng II có khối lượng riêng nhỏ hơn 0,2 g/cm3 để được một hỗn hợp có khối lượng riêng là 0,7 g/cm3 (quá trình trộn lẫn không xảy ra phản ứng hóa học). Tìm khối lượng riêng của mỗi chất lỏng.
2. Cho phương trình x2 - 2mx - 2m2 - 1 = 0 (m là tham số). Tìm m để phương trình đã cho có hai nghiệm x1, x2 thỏa mãn
Bài 2. (1,5 điểm) Cho tam giác ABC nhọn. Ba đường cao AI, BK, CL cắt nhau tại H. Chứng minh:
1. Tứ giác BIHL là các tứ giác nội tiếp.
2.
3. H là tâm đường tròn nội tiếp tam giác IKL.
-----HẾT-----
Phòng Giáo dục và Đào tạo .....
Đề thi Giữa kì 2 - Kết nối tri thức
Năm học ...
Môn: Toán 9
Thời gian làm bài: phút
A. TRẮC NGHIỆM (7,0 điểm)
Phần 1. Câu trắc nghiệm nhiều phương án lựa chọn (3,0 điểm)
Trong mỗi câu hỏi từ câu 1 đến câu 12, hãy viết chữ cái in hoa đứng trước phương án đúng duy nhất vào bài làm.
Câu 1. Hàm số y = ax2 (a ≠ 0) xác định với
A. mọi giá trị x ∈ ℝ.
B. mọi giá trị x ∈ ℤ.
C. mọi giá trị x ∈ ℕ.
D. mọi giá trị x ∈ ℕ*.
Câu 2. Cho hàm số y = -3x2. Giá trị của y ứng với giá trị của x = -2 là
A. -6.
B. 6.
C. -12.
D. 12.
Câu 3. Điểm đối xứng với điểm có tọa độ (-a; b) qua trục Oy là
A. (b; -a).
B. (-b; a).
C. (a; b).
D. (a; -b).
Câu 4. Phương trình nào sau đây không phải là phương trình bậc hai một ẩn?
A. 5x2 - 4 = 0.
B. .
C. .
D. .
Câu 5. Phương trình 2x2 + 2 = 0 là phương trình bậc hai một ẩn có các hệ số a,b,c lần lượt là
A. 2, 2, 0.
B. 2, 0, 2.
C. 0, 2, 2.
D. 2, 0, 0.
Câu 6. Phương trình ax2 + bc + c = 0 (a ≠ 0) có biệt thức ∆ = b2 - 4ac. Phương trình này có hai nghiệm phân biệt khi
A. ∆ < 0.
B. ∆ = 0.
C. ∆ > 0.
D. ∆ ≥ 0.
Câu 7. Phương trình x2 - 3x - 1 = 0 có các nghiệm là
A. .
B. .
C. .
D. .
Câu 8. Nhận định nào sau đây là sai?
A. Trong một đường tròn, góc nội tiếp chắn nửa đường tròn là góc vuông.
B. Trong một đường tròn, hai góc nội tiếp chắn hai cung bằng nhau thì bằng nhau.
C. Trong một đường tròn, hai góc nội tiếp cùng chắn một cung thì bằng nhau.
D. Trong một đường tròn, hai góc nội tiếp bằng nhau thì cùng chắn một cung.
Câu 9. Tâm đường tròn nội tiếp của một tam giác là giao điểm của
A. ba đường trung trực.
B. ba đường phân giác.
C. ba đường trung tuyến.
D. ba đường cao.
Câu 10. Tứ giác nào dưới đây là tứ giác nội tiếp?
A. ABCD.
B. MNPQ.
C. EFGH.
D. RSTV.
Câu 11. Mỗi góc của ngũ giác đều có số đo là
A. 36°.
B. 72°.
C. 108°.
D. 144°.
Câu 12. Cho hình vuông ABCD có tâm O. Có bao nhiêu phép quay thuận chiều tâm O biến hình vuông thành chính nó?
A. 1.
B. 2.
C. 3.
D. 4.
Phần 2. Câu trắc nghiệm đúng sai (2,0 điểm)
Trong câu 13 và câu 14, hãy chọn đúng hoặc sai cho mỗi ý a), b), c), d).
Câu 13. Cho hàm số y = -0,5x2.
a) Đồ thị hàm số có trục đối xứng là Ox.
b) Đồ thị hàm số nằm phía trên trục hoành.
c) Đồ thị hàm số đi qua điểm (-3; -4; 5).
d) Giá trị lớn nhất của hàm số là 0.
Câu 14. Cho tứ giác ABCD có nội tiếp đường tròn tâm O.
a) .
b) Tâm O là giao điểm ba đường phân giác của tam giác ABC.
c) .
d) Bán kính đường tròn ngoại tiếp tam giác BCD bằng AC.
Phần 3. Câu hỏi trắc nghiệm trả lời ngắn (2,0 điểm)
Trong mỗi câu hỏi từ câu 15 đến câu 18, hãy viết câu trả lời/ đáp án vào bài làm mà không cần trình bày lời giải chi tiết.
Câu 15. Tìm giá trị nguyên lớn nhất của m để phương trình x2 - 2x + m = 0 có nghiệm.
Câu 16. Phương trình bậc hai mx2 + (2m + 1)x + 3 = 0 có một nghiệm là x1 = -1. Tìm giá trị nghiệm còn lại (viết dưới dạng số thập phân) của phương trình.
Câu 17. Cho tứ giác ABCD nội tiếp đường tròn (O), biết . Số đo cung ADC là bao nhiêu độ?
Câu 18. Cho tam giác đều ABC. Góc quay của phép quay thuận chiều kim đồng hồ với tâm A biến điểm B thành điểm C là bao nhiêu độ?
B. TỰ LUẬN (3,0 điểm)
Bài 1. (1,5 điểm)
1. Giải bài toán sau bằng cách lập phương trình:
Người ta trộn 8 g chất lỏng I với 6 g chất lỏng II có khối lượng riêng nhỏ hơn 0,2 g/cm3 để được một hỗn hợp có khối lượng riêng là 0,7 g/cm3 (quá trình trộn lẫn không xảy ra phản ứng hóa học). Tìm khối lượng riêng của mỗi chất lỏng.
2. Cho phương trình x2 - 2mx - 2m2 - 1 = 0 (m là tham số). Tìm m để phương trình đã cho có hai nghiệm x1, x2 thỏa mãn .
Bài 2. (1,5 điểm) Cho tam giác ABC nhọn. Ba đường cao AI, BK, CL cắt nhau tại H. Chứng minh:
1. Tứ giác BIHL là các tứ giác nội tiếp.
2. .
3. H là tâm đường tròn nội tiếp tam giác IKL.
-----HẾT-----
Phòng Giáo dục và Đào tạo .....
Đề thi Giữa kì 2 - Chân trời sáng tạo
Năm học ...
Môn: Toán 9
Thời gian làm bài: phút
A. TRẮC NGHIỆM (7,0 điểm)
Phần 1. Câu trắc nghiệm nhiều phương án lựa chọn (3,0 điểm)
Trong mỗi câu hỏi từ câu 1 đến câu 12, hãy viết chữ cái in hoa đứng trước phương án đúng duy nhất vào bài làm.
Câu 1. Hàm số nào sau đây có đồ thị là một đường cong parabol?
A. y = 2.
B. y = x - 2.
C. y = -x.
D. y = 2x2.
Câu 2. Điểm đối xứng với điểm (-1;-2) qua trục tung có tọa độ là
A. (-1;2).
B. (-2;-1).
C. (1;-2).
D. (1;2).
Câu 3. Đồ thị hàm số y = x2 không đi qua điểm nào sau đây?
A. (0;0).
B. (-1;-1).
C. (2;-4).
D. (3;-6).
Câu 4. Phương trình nào sau đây không phải là phương trình bậc hai một ẩn?
A. 5x2 - 4 = 0.
B. .
C. .
D. .
Câu 5. Phương trình 2x2 - 2 = 0 là phương trình bậc hai một ẩn có các hệ số a,b,c lần lượt là
A. 2, 2, 0.
B. 2, 0, -2.
C. 2, -2, 0.
D. 2, 0, 2.
Câu 6. Cho phương trình bậc hai ẩn x có ∆' ≥ 0. Khẳng định nào sau đây là đúng khi nói về số nghiệm của phương trình?
A. Phương trình vô nghiệm.
B. Phương trình có nghiệm kép.
C. Phương trình có nghiệm.
D. Phương trình có hai nghiệm phân biệt.
Câu 7. Cho phương trình x2 + 7x = 15. Gọi x1, x2 là hai nghiệm của phương trình. Khi đó giá trị của biểu thức là
A. -79.
B. 79.
C. -94.
D. 94.
Câu 8. Tâm đường tròn nội tiếp của một tam giác là giao điểm của
A. ba đường trung trực.
B. ba đường phân giác.
C. ba đường trung tuyến.
D. ba đường cao.
Câu 9. Cho tam giác đều ABC cạnh a thì có bán kính đường tròn ngoại tiếp là
A. .
B. .
C. .
D. .
Câu 10. Hình nào sau đây không nội tiếp được đường tròn?
A. Hình vuông.
B. Hình chữ nhật.
C. Hình thoi có một góc nhọn.
D. Hình thang cân.
Câu 11. Khẳng định nào sau đây là không đúng về ngũ giác đều?
A. Có 6 cạnh bằng nhau.
B. Các góc ở đỉnh bằng nhau.
C. Các cạnh bằng nhau.
D. Mỗi góc ở đỉnh bằng
Câu 12. Cho hình vuông ABCD tâm O. Phép quay ngược chiều tâm O với góc quay nào sau đây biến điểm A thành điểm D?
A. 90°.
B. 180°.
C. 270°.
D. 360°.
Phần 2. Câu trắc nghiệm đúng sai (2,0 điểm)
Trong câu 13 và câu 14, hãy chọn đúng hoặc sai cho mỗi ý a), b), c), d).
Câu 13. Cho hàm số y = 3x2.
a) Đồ thị hàm số là một đường cong Parabol.
b) Đồ thị hàm số nằm bên dưới trục hoành.
c) Đồ thị hàm số đi qua điểm (-1;-3).
d) Đồ thị cắt đường thẳng y = -3.
Câu 14. Cho đường tròn tâm O đường kính AB và điểm C nằm trên đường tròn này sao cho .
a) Đường tròn (O) là đường tròn nội tiếp tam giác ABC.
b) Điểm D nằm trên cung nhỏ CB thì tứ giác ABCD là tứ giác nội tiếp.
c) .
d) Nếu AC = 5 cm thì bán kính đường tròn ngoại tiếp ∆BCD là 5 cm.
Phần 3. Câu hỏi trắc nghiệm trả lời ngắn (2,0 điểm)
Trong mỗi câu hỏi từ câu 15 đến câu 18, hãy viết câu trả lời/ đáp án vào bài làm mà không cần trình bày lời giải chi tiết.
Câu 15. Có bao nhiêu giá trị nguyên dương của m để phương trình x2 - 4x + 3m - 11 = 0 có hai nghiệm trái dấu?
Câu 16. Phương trình bậc hai mx2 + (2m + 1)x + 3 = 0 có một nghiệm là x1 = -1. Tìm giá trị nghiệm còn lại (viết dưới dạng số thập phân) của phương trình.
Câu 17. Cho tứ giác ABCD (AD // BC) nội tiếp đường tròn. Biết và . Góc BDC có số đo là bao nhiêu độ?
Câu 18. Trên mặt phẳng toạ độ Oxy cho A(-2;-2). Phép quay thuận chiều 90° tâm O biến điểm A thành điểm I. Khi đó, hãy tính tổng bình phương hoành độ và tung độ của điểm I.
B. TỰ LUẬN (3,0 điểm)
Bài 1. (1,5 điểm)
1. Giải bài toán sau bằng cách lập phương trình:
Người ta trộn 8 g chất lỏng I với 6 g chất lỏng II có khối lượng riêng nhỏ hơn 0,2 g/cm3 để được một hỗn hợp có khối lượng riêng là 0,7 g/cm3 (quá trình trộn lẫn không xảy ra phản ứng hóa học). Tìm khối lượng riêng của mỗi chất lỏng.
2. Cho phương trình 2x2 - (m + 1)x + 2m - 6 = 0 với m là tham số. Tìm m để phương trình có hai nghiệm x1, x2 (với x1 < x2 thỏa mãn 2|x1| - |x2| = 6.
Bài 2. (1,5 điểm) Cho hai đường tròn (O) và (O') cắt nhau tại hai điểm phân biệt A, B. Đường thẳng AO cắt hai đường tròn (O) và (O') lần lượt tại hai điểm D, F (khác điểm A). Đường thẳng AO' cắt hai đường tròn (O) và (O') lần lượt tại hai điểm D, F (khác điểm A). Chứng minh:
1. C, B, F thẳng hàng và tứ giác CDEF nội tiếp đường tròn.
2. A là tâm đường tròn nội tiếp tam giác BDE.
-----HẾT-----
Phòng Giáo dục và Đào tạo .....
Đề thi Giữa kì 2 - Cánh diều
Năm học ...
Môn: Toán 9
Thời gian làm bài: phút
A. TRẮC NGHIỆM (7,0 điểm)
Phần 1. Câu trắc nghiệm nhiều phương án lựa chọn (3,0 điểm)
Trong mỗi câu hỏi từ câu 1 đến câu 12, hãy viết chữ cái in hoa đứng trước phương án đúng duy nhất vào bài làm.
Câu 1. Nguyên tắc chuyển đổi số liệu của mỗi đối tượng thống kê (tính theo tỉ số phần trăm) về số đo cung tương ứng với đối tượng thống kê đó (tính theo độ) là
A. x% tương ứng với x%.180°.
B. x% tương ứng với x%.360°.
C. x% tương ứng với .
D. x% tương ứng với x%.90°.
Câu 2. Cỡ mẫu là
A. số phần tử của mẫu dữ liệu.
B. dãy dữ liệu.
C. số lần xuất hiện một giá trị trong mẫu dữ liệu.
D. số lần xuất hiện một số giá trị trong mẫu dữ liệu.
Câu 3. Nhóm số liệu [a;b) là nhóm gồm các số liệu
A. lớn hơn a và nhỏ hơn b.
B. lớn hơn hoặc bằng a và nhỏ hơn b.
C. lớn hơn a và nhỏ hơn hoặc bằng b.
D. lớn hơn hoặc bằng a và nhỏ hơn hoặc bằng b.
Câu 4. Cho phép thử T và biến cố E. Thế nào là kết quả thuận lợi cho biến cố E?
A. Là kết quả của phép thử T.
B. Là kết quả của phép thử T làm cho biến cố E xảy ra hoặc không xảy ra.
C. Là kết quả của phép thử T làm cho biến cố E không xảy ra.
D. Là kết quả của phép thử T làm cho biến cố E xảy ra.
Câu 5. Một hộp có một số quả bóng với kích thước và khối lượng như nhau được đánh số từ 11 đến 19. Số phần tử của không gian mẫu là
A. 2.
B. 9.
C. 10.
D. 19.
Câu 6. Xác suất của biến cố bẳng
A. tỉ số giữa kết quả thuận lợi của biến cố và số phần tử của không gian mẫu.
B. tỉ số giữa số phần tử của không gian mẫu và kết quả thuận lợi của biến cố.
C. tỉ số giữa các kết quả có thể xảy ra và kết quả thuận lợi của biến cố.
D. tỉ số giữa các kết quả có thể xảy ra và số phần tử của không gian mẫu.
Câu 7. Một hộp có 52 chiếc thẻ cùng loại, mỗi thẻ được ghi một trong các số 1, 2, 3, ..., 52; hai thẻ khác nhau thì ghi số khác nhau. Rút ngẫu nhiên một thẻ trong hộp. Xác suất các biến cố “Số xuất hiện trên thẻ được rút ra là số lớn hơn 19 và nhỏ hơn 51” là
A. .
B. .
C. .
D. .
Câu 8. Tâm đường tròn ngoại tiếp của một tam giác là giao điểm của
A. ba đường trung trực.
B. ba đường phân giác.
C. ba đường trung tuyến.
D. ba đường cao.
Câu 9. Bán kính của đường tròn nội tiếp tam giác đều là a. Độ dài cạnh của tam giác đều đó là
A. a.
B. .
C. .
D. .
Câu 10. Tứ giác nào dưới đây là tứ giác nội tiếp?
A. ABCD.
B. MNPQ.
C. EFGH.
D. RSTV.
Câu 11. Khẳng định nào sau đây là không đúng về ngũ giác đều?
A. Có 6 cạnh bằng nhau.
B. Các góc ở đỉnh bằng nhau.
C. Các cạnh bằng nhau.
D. Mỗi góc ở đỉnh bằng 180°.
Câu 12. Cho hình vuông ABCD có tâm O. Phép quay thuận chiều 90° tâm biến điểm A thành điểm
A. A.
B. B.
C. C.
D. D.
Phần 2. Câu trắc nghiệm đúng sai (2,0 điểm)
Trong câu 13 và câu 14, hãy chọn đúng hoặc sai cho mỗi ý a), b), c), d).
Câu 13. Một công ty mua các tấm gốm nhỏ để sản xuất thiết bị điện tử. Các tấm gốm được kiểm tra bằng mắt trước khi đưa vào sản xuất. Tấm gốm bị lỗi sẽ làm ảnh hưởng đến hiệu suất của thiết bị. Số liệu sau đây thể hiện số lỗi tìm thấy trên 30 tấm gốm được lựa chọn ngẫu nhiên.
a) Số lỗi trên 30 tấm gốm trên nhận 4 giá trị khác nhau.
b) Giá trị 8 có tần số là 2.
c) Tần số của tấm gốm có trên 3 lỗi là 2.
d) Có trên 50% các tấm gốm không bị lỗi.
Câu 14. Cho tứ giác ABCD có .
a) Tứ giác ABCD nội tiếp đường tròn đường kính AC.
b) Tâm O là giao điểm ba đường phân giác của tam giác ABC.
c) .
d) Bán kính đường tròn ngoại tiếp tam giác BCD bằng AC.
Phần 3. Câu hỏi trắc nghiệm trả lời ngắn (2,0 điểm)
Trong mỗi câu hỏi từ câu 15 đến câu 18, hãy viết câu trả lời/ đáp án vào bài làm mà không cần trình bày lời giải chi tiết.
Câu 15. Một doanh nghiệp sản xuất xe ô tô khảo sát lượng xăng tiêu thụ trên 100 km của một số loại xe ô tô trên thị trường. Cho biểu đồ tần số tương đối ghép nhóm biểu diễn tỉ lệ số lượng xe tiêu thụ xăng (lít) như sau:
Trong 300 chiếc xe được khảo sát, có bao nhiêu chiếc xe tiêu thụ hết từ 5 đến dưới 5,5 lít xăng khi đi hết quãng đường 100 km?
Câu 16. Gieo ngẫu nhiên ba đồng xu phân biệt một lần. Tính xác suất của biến cố “Có ít nhất hai đồng xu xuất hiện mặt ngửa” (kết quả viết dưới dạng số thập phân).
|
Câu 17. Người ta muốn dựng khung cổng hình chữ nhật rộng 4 m và cao 3 m bên ngoài được bao bởi một khung thép dạng nửa đường tròn. Tính chiều dài (đơn vị mét) của đoạn thép làm khung nửa đường tròn đó (làm tròn kết quả đến chữ số thập phân thứ nhất). |
|
Câu 18. Trong mặt phẳng tọa độ Oxy, cho điểm A(2;3). Thực hiện phép quay 90° ngược chiều kim đồng hồ quanh gốc tọa độ. Xác định tổng giá trị hoành độ và tung độ của điểm A sau khi quay.
B. TỰ LUẬN (3,0 điểm)
Bài 1. (1,5 điểm)
1. Số bàn thắng một đội bóng ghi được trong 26 trận đấu của Giải vô địch quốc gia được ghi lại như sau:
Hãy lập bảng tần số tương đối và vẽ biểu đồ hình quạt tròn mô tả tần số tương đối của mẫu số liệu trên.
2. Đội văn nghệ của lớp 9A có 3 bạn nam và 3 bạn nữ. Cô giáo phụ trách đội chọn ngẫu nhiên hai bạn để hát song ca. Tính xác suất của biến cố: “Trong hai bạn được chọn ra, có một bạn nam và một bạn nữ”.
Bài 2. (1,5 điểm) Cho hai đường tròn (O) và (O') cắt nhau tại hai điểm phân biệt A,B. Đường thẳng AO cắt hai đường tròn (O) và (O') lần lượt tại hai điểm C, E (khác điểm A). Đường thẳng AO' cắt hai đường tròn (O) và (O') lần lượt tại hai điểm D, F (khác điểm A). Chứng minh:
1. C, B, F thẳng hàng và tứ giác CDEF nội tiếp đường tròn.
2. A là tâm đường tròn nội tiếp tam giác BDE.
-----HẾT-----
Xem thử Đề thi GK2 Toán 9 KNTT Xem thử Đề thi GK2 Toán 9 CTST Xem thử Đề thi GK2 Toán 9 CD
Lưu trữ: Đề thi Giữa kì 2 Toán 9 (sách cũ)
Xem thêm đề thi Toán 9 có đáp án, chọn lọc hay khác:
Xem thêm đề thi lớp 9 các môn học có đáp án hay khác:
Tài liệu giáo án lớp 9 các môn học chuẩn khác:
Đã có app VietJack trên điện thoại, giải bài tập SGK, SBT Soạn văn, Văn mẫu, Thi online, Bài giảng....miễn phí. Tải ngay ứng dụng trên Android và iOS.
Theo dõi chúng tôi miễn phí trên mạng xã hội facebook và youtube:Loạt bài Đề thi các môn học lớp 9 năm 2025 học kì 1 và học kì 2 được biên soạn bám sát cấu trúc ra đề thi mới Tự luận và Trắc nghiệm giúp bạn giành được điểm cao trong các bài thi lớp 9.
Nếu thấy hay, hãy động viên và chia sẻ nhé! Các bình luận không phù hợp với nội quy bình luận trang web sẽ bị cấm bình luận vĩnh viễn.
- Giáo án lớp 9 (các môn học)
- Giáo án điện tử lớp 9 (các môn học)
- Giáo án Toán 9
- Giáo án Ngữ văn 9
- Giáo án Tiếng Anh 9
- Giáo án Khoa học tự nhiên 9
- Giáo án Vật Lí 9
- Giáo án Hóa học 9
- Giáo án Sinh học 9
- Giáo án Địa Lí 9
- Giáo án Lịch Sử 9
- Giáo án GDCD 9
- Giáo án Tin học 9
- Giáo án Công nghệ 9
- Đề thi lớp 9 (các môn học)
- Đề thi Ngữ Văn 9 (có đáp án)
- Đề thi Toán 9 (có đáp án)
- Đề thi Tiếng Anh 9 mới (có đáp án)
- Đề thi Tiếng Anh 9 (có đáp án)
- Đề thi Khoa học tự nhiên 9 (có đáp án)
- Đề thi Lịch Sử và Địa Lí 9 (có đáp án)
- Đề thi GDCD 9 (có đáp án)
- Đề thi Tin học 9 (có đáp án)
- Đề thi Công nghệ 9 (có đáp án)


Giải bài tập SGK & SBT
Tài liệu giáo viên
Sách
Khóa học
Thi online
Hỏi đáp

