Top 18 Đề thi Vật Lí 12 Giữa kì 2 năm 2026 (cấu trúc mới, có đáp án)
Trọn bộ 18 đề thi Vật Lí 12 Giữa kì 2 theo cấu trúc mới sách mới Kết nối tri thức, Chân trời sáng tạo, Cánh diều có đáp án và ma trận sẽ giúp bạn ôn tập và đạt điểm cao trong bài thi Vật Lí 12.
Top 18 Đề thi Vật Lí 12 Giữa kì 2 năm 2026 (cấu trúc mới, có đáp án)
Xem thử Đề thi GK2 Lí 12 KNTT Xem thử Đề thi GK2 Lí 12 CTST Xem thử Đề thi GK2 Lí 12 CD
Chỉ từ 150k mua trọn bộ đề thi Vật Lí 12 Giữa kì 2 theo cấu trúc mới bản word có lời giải chi tiết, dễ dàng chỉnh sửa:
- B1: gửi phí vào tk:
1133836868- CT TNHH DAU TU VA DV GD VIETJACK - Ngân hàng MB (QR) - B2: Nhắn tin tới Zalo VietJack Official - nhấn vào đây để thông báo và nhận giáo án
Xem thử Đề thi GK2 Lí 12 KNTT Xem thử Đề thi GK2 Lí 12 CTST Xem thử Đề thi GK2 Lí 12 CD
Sở Giáo dục và Đào tạo ...
Đề thi Giữa kì 2 - Kết nối tri thức
Năm học ...
Môn: Vật Lí 12
Thời gian làm bài: phút
PHẦN I. Câu trắc nghiệm nhiều phương án lựa chọn
Câu 1: Một đoạn dây dẫn dài 0,4 m mang dòng điện 2 A đặt vuông góc với từ trường đều B = 0,5 T. Lực từ tác dụng lên đoạn dây là
A. 0,2 N
B. 0,4 N
C. 0,1 N
D. 0,8 N
Câu 2: Đường sức từ của từ trường gây ra bởi một nam châm thẳng có đặc điểm là
A. xuất phát từ cực Nam và kết thúc ở cực Bắc.
B. là những đường cong đi ra từ cực Bắc và đi vào cực Nam ở bên ngoài nam châm.
C. là những đường thẳng song song và cách đều nhau ở mọi nơi.
D. không bao giờ tạo thành vòng khép kín.
Câu 3: Hiện tượng cảm ứng điện từ là hiện tượng xuất hiện suất điện động cảm ứng trong mạch kín khi có sự biến thiên của
A. điện trở trong mạch.
B. cường độ dòng điện chạy trong mạch.
C. từ thông qua mạch.
D. hiệu điện thế giữa hai đầu mạch.
Câu 4: Một diện tích S = 0,02 m2 đặt trong từ trường đều có cảm ứng từ B = 0,1 T. Vectơ pháp tuyến hợp với một góc 0°. Từ thông qua diện tích này là
A. 2,0.10-4 Wb
B. 2,0.10-3 Wb
C. 0,5.10-4 Wb
D. 0 Wb
Câu 5: Đặc điểm nào sau đây mô tả đúng về sóng điện từ?
A. Sóng điện từ là sóng dọc.
B. Sóng điện từ có thể lan truyền được trong chân không.
C. Sóng điện từ không mang theo năng lượng.
D. Tốc độ sóng điện từ trong mọi môi trường đều bằng 3.108 m/s.
Câu 6: Một suất điện động cảm ứng có độ lớn 4V xuất hiện trong một khung dây khi từ thông qua khung biến thiên đều một lượng 0,8 Wb. Thời gian biến thiên của từ thông là
A. 0,2 s.
B. 3,2 s.
C. 5,0 s.
D. 0,5 s.
Câu 7: Để xác định chiều của lực từ tác dụng lên đoạn dây dẫn mang dòng điện đặt trong từ trường, ta dùng quy tắc
A. Nắm tay phải.
B. Bàn tay phải.
C. Bàn tay trái.
D. Vặn đinh ốc.
Câu 8: Một khung dây phẳng diện tích 0,05 m2 đặt trong từ trường đều B = 0,4 T. Vectơ pháp tuyến của khung dây hợp với một góc 60°. Từ thông qua khung dây là
A. 0,01 Wb
B. 0,02 Wb
C. 0,017 Wb
D. 0,005 Wb
Câu 9: Theo định luật Lenz, dòng điện cảm ứng xuất hiện trong mạch kín có chiều sao cho từ trường cảm ứng có tác dụng
A. luôn cùng chiều với từ trường ngoài.
B. chống lại sự biến thiên từ thông đã sinh ra nó.
C. làm tăng tốc độ biến thiên của từ thông qua mạch.
D. vuông góc với vectơ cảm ứng từ của từ trường ngoài.
Câu 10: Một đoạn dây dẫn dài 1 m mang dòng điện 5 A đặt trong từ trường đều B = 0,2 T. Khi dây hợp với cảm ứng từ góc 30°, lực từ tác dụng lên dây là
A. 0,5 N.
B. 1,0 N.
C. 0,25 N.
D. 0,8 N.
Câu 11: Trong mô hình sóng điện từ, vectơ cường độ điện trường và vectơ cảm ứng từ tại một điểm luôn có đặc điểm là
A. dao động ngược pha.
B. dao động cùng pha và có phương vuông góc với nhau.
C. dao động cùng phương và cùng pha.
D. lệch pha nhau một góc π/2
Câu 12: Sóng điện từ có tần số 60 MHz truyền trong chân không có bước sóng là
A. 50 m
B. 0,5 m
C. 18 m
D. 5 m
Câu 13: Suất điện động của một máy phát điện xoay chiều có biểu thức Giá trị cực đại của suất điện động là
A. 100 V.
B. 200 V.
C.
D.
Câu 14: Máy phát điện xoay chiều là thiết bị biến đổi
A. điện năng thành cơ năng.
B. cơ năng thành điện năng.
C. nhiệt năng thành điện năng.
D. quang năng thành điện năng.
Câu 15: Một khung dây quay đều quanh một trục trong từ trường đều với tốc độ góc ω = 100πrad/s. Từ thông cực đại qua khung là 0,02 Wb. Suất điện động cực đại xuất hiện trong khung là
A. 2π V.
B. 200π V.
C. 0,02 V.
D. 6,28 V.
Câu 16: Phát biểu nào sau đây về đường sức từ là sai?
A. Các đường sức từ là những đường cong khép kín hoặc vô hạn ở hai đầu.
B. Nơi nào từ trường mạnh thì đường sức từ vẽ dày, nơi yếu vẽ thưa.
C. Qua mỗi điểm trong từ trường có thể vẽ được vô số đường sức từ.
D. Đường sức từ của từ trường đều là các đường thẳng song song và cách đều nhau.
Câu 17: Một sóng vô tuyến truyền trong chân không có bước sóng 20m. Tần số của sóng này là
A. 15 MHz
B. 6 MHz
C. 1,5 MHz
D. 60 MHz
Câu 18: Lực từ tác dụng lên một đoạn dây dẫn mang dòng điện đặt trong từ trường đều có độ lớn đạt giá trị cực đại khi
A. dây dẫn song song với các đường sức từ.
B. dây dẫn vuông góc với các đường sức từ.
C. dây dẫn hợp với các đường sức từ góc 45°.
D. dòng điện chạy qua dây dẫn có cường độ bằng 0.
PHẦN II. Câu trắc nghiệm đúng sai
Thí sinh chọn đúng hoặc sai cho mỗi ý a, b, c, d.
Câu 1: Một đoạn dây dẫn thẳng dài L = 0,5 m mang dòng điện I = 4 A đặt trong từ trường đều B = 0,2 T.
a) Lực từ cực đại tác dụng lên dây là 0,4 N.
b) Khi dây dẫn hợp với đường sức từ góc 30°, lực từ có độ lớn là 0,2 N.
c) Nếu giữ nguyên các thông số khác và tăng cường độ dòng điện lên gấp đôi thì lực từ cũng tăng lên gấp đôi.
d) Khi dây đặt song song với phương của , lực từ có giá trị lớn nhất.
Câu 2: Một khung dây gồm 200 vòng dây, diện tích mỗi vòng là 50 cm2 đặt trong từ trường đều. Trong thời gian 0,1 s, cảm ứng từ giảm đều từ 0,8 T xuống 0,2 T. Pháp tuyến của khung dây cùng chiều với .
a) Từ thông qua khung dây tại thời điểm B = 0,8 T là 0,8 Wb.
b) Độ biến thiên từ thông qua khung dây trong khoảng thời gian trên là 0,6 Wb.
c) Suất điện động cảm ứng xuất hiện trong khung dây có độ lớn là 0,6 V.
d) Nếu diện tích mỗi vòng dây giảm đi một nửa thì suất điện động cảm ứng cũng giảm đi một nửa.
Câu 3: Suất điện động của một máy phát điện xoay chiều có biểu thức
a) Tần số của suất điện động này là 50 Hz.
b) Suất điện động hiệu dụng của máy phát có giá trị là 220 V.
c) Tại thời điểm , giá trị tức thời của suất điện động bằng 0 V.
d) Từ thông cực đại qua cuộn dây phần ứng là
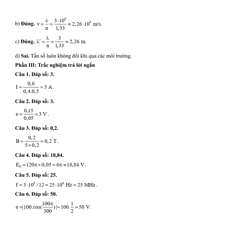
Câu 4: Sóng điện từ có tần số f = 100 MHz truyền từ chân không vào môi trường nước có chiết suất n = 1,33.
a) Bước sóng của sóng điện từ trong chân không là 3 m.
b) Tốc độ truyền sóng trong nước xấp xỉ 2,26.108 m/s.
c) Bước sóng của sóng điện từ trong nước xấp xỉ 2,26m.
d) Tần số của sóng điện từ khi truyền vào nước sẽ giảm đi 1,33 lần.
PHẦN III. Câu trắc nghiệm trả lời ngắn
Mỗi câu trả lời ngắn là một kết quả tính toán.
Câu 1: Một đoạn dây dẫn dài 0,5 m đặt vuông góc trong từ trường đều 0,4 T. Lực từ tác dụng lên dây là 0,6 N. Tính cường độ dòng điện (A) qua dây.
Câu 2: Từ thông qua một khung dây biến thiên đều một lượng 0,15 Wb trong khoảng thời gian 0,05 s. Độ lớn suất điện động cảm ứng (V) xuất hiện trong khung là bao nhiêu?
Câu 3: Một đoạn dây dẫn dài 0,2 m mang dòng điện 5 A. Khi đặt dây trong từ trường đều B, lực từ cực đại tác dụng lên dây là 0,2 N. Tính độ lớn cảm ứng từ B (Tesla).
Câu 4: Một khung dây quay đều trong từ trường với tốc độ góc 120π rad/s. Từ thông cực đại qua khung là 0,05 Wb. Tính suất điện động cực đại (V) xuất hiện trong khung. (Lấy π = 3,14).
Câu 5: Sóng điện từ có bước sóng 12 m truyền trong chân không. Tính tần số của nó theo đơn vị MHz.
Câu 6: Một khung dây có suất điện động cảm ứng biến thiên theo thời gian e = 100cos(100πt) (V). Tính độ lớn suất điện động cảm ứng (V) tại thời điểm
Sở Giáo dục và Đào tạo ...
Đề thi Giữa kì 2 - Kết nối tri thức
Năm học ...
Môn: Vật Lí 12
Thời gian làm bài: phút
A. TRẮC NGHIỆM KHÁCH QUAN
PHẦN I. Câu trắc nghiệm nhiều phương án lựa chọn. Thí sinh trả lời từ câu 1 đến câu 12. Mỗi câu hỏi thí sinh chỉ lựa chọn một phương án.
Câu 1: Chọn câu đúng. Lực từ tác dụng lên một đoạn dây dẫn thẳng mang dòng điện tỉ lệ với
A. điện trở của đoạn dây.
B. bình phương hiệu điện thế giữa hai đầu đoạn dây.
C. căn bậc hai của hiệu điện thế giữa hai đầu đoạn dây.
D. cường độ dòng điện qua đoạn dây.
Câu 2: Tính chất cơ bản của từ trường là
A. gây ra lực từ tác dụng lên nam châm hoặc lên dòng điện đặt trong nó.
B. gây ra lực hấp dẫn lên các vật đặt trong nó.
C. gây ra lực đàn hồi tác dụng lên các dòng điện và nam châm đặt trong nó.
D. gây ra sự biến đổi về tính chất điện của môi trường xung quanh.
Câu 3: Một cuộn dây dẹt hình chữ nhật diện tích 54 cm2 có 500 vòng dây quay đều với vận tốc 50 vòng/s quanh một trục nằm trong mặt phẳng của cuộn dây, trong một từ trường đều vuông góc với trục quay có B = 0,1 T. Biên độ suất điện động xuất hiện trong cuộn dây có giá trị bằng
A. 84,8 V.
B. 60 V.
C. 42,4 V.
D. 120 V.
Câu 4: Weber là đơn vị đo từ thông, kí hiệu là Wb; 1 Wb bằng
A. 1 T.m2.
B. 1 T/m.
C. 1 T.m.
D. 1 T/m2.
Câu 5: Trong quá trình lan truyền của sóng điện từ thì dao động của điện trường và của từ trường tại một điểm luôn
A. ngược pha.
B. cùng pha.
C. lệch pha π/2.
D. lệch pha π/3.
Câu 6: Công dụng của máy biến áp là
A. biến đổi tần số của điện áp xoay chiều.
B. biến đổi giá trị hiệu dụng của điện áp xoay chiều.
C. biến đổi công suất của nguồn điện xoay chiều.
D. biến điện áp xoay chiều thành điện áp một chiều.
Câu 7: Khi một điện trường biến thiên theo thời gian sẽ sinh ra
A. điện trường xoáy.
B. từ trường xoáy.
C. một dòng điện.
D. từ trường và điện trường biến thiên.
Câu 8: Cuộn thứ cấp của một máy biến thể có 1000 vòng dây và hiệu điện thế ở hai đầu cuộn sơ cấp là 240 V. Để hiệu điện thế ở hai đầu cuộn thứ cấp là 12 V thì số vòng dây của cuộn sơ cấp là
A. 20000 vòng.
B. 10000 vòng.
C. 50 vòng.
D. 100 vòng.
Câu 9: Một khung dây phẳng có diện tích 600 cm2 gồm 200 vòng dây quay đều quanh trục ∆ trong một từ trường đều có vectơ cảm ứng từ song song với trục quay. Biết tốc độ quay của khung là 1800 vòng/phút. Cảm ứng từ có độ lớn là 0,025 T. Suất điện động hiệu dụng trong khung có giá trị là
A. 56,55 V.
B. 39,99 V.
C. 28,27 V.
D. 0 V.
Câu 10: Một đoạn dây có dòng điện được đặt trong một từ trường đều có cảm ứng từ . Để lực từ tác dụng lên dây đạt giá trị cực đại thì góc α giữa dây dẫn và phải bằng
A. 0°.
B. 30°.
C. 60°.
D. 90°.
Câu 11: Câu nào dưới đây nói về từ thông là không đúng?
A. Từ thông qua mặt S là đại lượng xác định theo công thức , với α là góc tạo bởi cảm ứng từ và pháp tuyến dương của mặt S.
B. Từ thông là một đại lượng vô hướng, có thể dương, âm hoặc bằng không.
C. Từ thông qua mặt S chỉ phụ thuộc diện tích của mặt S, không phụ thuộc góc nghiêng của mặt đó so với hướng của các đường sức từ.
D. Từ thông qua mặt S được đo bằng đơn vị vêbe (1 Wb = 1 T.m2), và có giá trị lớn nhất khi mặt này vuông góc với các đường sức từ.
Câu 12: Khi cuộn dây có 100 vòng quay đều trong từ trường đều với vận tốc là w = 100p rad/s thì suất điện động cực đại là 314 V. Biết diện tích mỗi vòng dây là 400 cm2. Độ lớn cảm ứng từ là
A. 25.10-2 T.
B. 25 T.
C. 25.10-3 T.
D. 2,5 T.
PHẦN II. Câu trắc nghiệm đúng sai. Thí sinh trả lời từ câu 1 đến câu 2. Trong mỗi ý a), b), c), d) ở mỗi câu, thí sinh chọn đúng hoặc sai
Câu 1: Phát biểu nào đúng, phát biểu nào sai khi nói về sóng điện từ?
a) Sóng điện từ là điện từ trường lan truyền trong không gian.
b) Sóng điện từ có vectơ cường độ điện trường và vectơ cảm ứng từ luôn cùng phương với nhau.
c) Sóng điện từ là sóng ngang nên nó chỉ truyền được trong chất rắn.
d) Trong sóng điện từ thì dao động của điện trường và của từ trường tại một điểm luôn đồng pha nhau.
Câu 2: Một dòng điện xoay chiều có biểu thức cường độ tức thời là i = 5cos(100pt - p/3) (A). Trong các nhận định dưới đây, nhận định nào là đúng, nhận định nào là sai?
a) Giá trị cực đại của cường độ dòng điện là A.
b) Chu kì của dòng điện bằng 0,01 s.
c) Pha ban đầu của cường độ dòng điện là p/3 rad.
d) Cường độ dòng điện ở thời điểm 1,2s là 2,5 A.
PHẦN III. Câu trắc nghiệm trả lời ngắn. Thí sinh trả lời từ câu 1 đến câu 4
Câu 1: Tại điểm M đang có sóng điện từ truyền qua. Biên độ điện trường và từ trường lần lượt là E0 = 20 mV/m; B0 = 3mT. Tại thời điểm t thì thành phần từ trường có giá trị B = −1,2 mT thì thành phần điện trường có giá trị bằng bao nhiêu?
Câu 2: Đặt vào hai đầu cuộn sơ cấp của một máy biến áp lí tưởng (bỏ qua hao phí) một điện áp xoay chiều có giá trị hiệu dụng không đổi thì điện áp hiệu dụng giữa hai đầu cuộn thứ cấp để hở là 50 V. Ở cuộn thứ cấp, nếu giảm bớt n vòng dây thì điện áp hiệu dụng giữa hai đầu để hở của nó là U, nếu tăng thêm n vòng dây thì điện áp đó là 2U. Nếu tăng thêm 3n vòng dây ở cuộn thứ cấp thì điện áp hiệu dụng giữa hai đầu để hở của cuộn này bằng bao nhiêu?
Câu 3: Một đoạn dây dài, đặt trong từ trường đều có cảm ứng từ B = 0,5 T hợp với đường cảm ứng từ một góc 30°. Dòng điện qua dây có cường độ 0,5 A thì lực từ tác dụng lên đoạn dây là 4.10-2 N. Chiều dài đoạn dây dẫn là bao nhiêu?
Câu 4: Một khung dây hình chữ nhật có điện trở R = 0,02 W, chiều dài 2 dm, chiều rộng 1,14 dm. Khung dây đặt trong từ trường đều có vectơ vuông góc với mặt phẳng khung B = 0,1 T. Người ta uốn nhanh khung dây nói trên thành một vòng dây hình tròn ngay trong từ trường đều nói trên. Điện lượng di chuyển trong khung là bao nhiêu?
B. TỰ LUẬN
Câu 1. Một đoạn dây dẫn dài L = 0,5 m đặt trong từ trường đều sao cho dây dẫn hợp với vectơ cảm ứng từ một góc 45°. Biết cảm ứng từ B = 0,2 T và dây dẫn chịu lực từ F = 4.10-2 N. Tính cường độ dòng điện chạy qua dây dẫn.
……………………………………………………………………………………………….
……………………………………………………………………………………………….
……………………………………………………………………………………………….
……………………………………………………………………………………………….
……………………………………………………………………………………………….
Câu 2. Một khung dây dẫn hình vuông, cạnh a = 10 cm, đặt cố định trong từ trường đều có vectơ cảm ứng từ vuông góc với mặt phẳng khung. Trong khoảng thời gian Dt = 0,05 s, cho độ lớn của tăng đều từ 0 đến 0,5 T. Xác định độ lớn của suất điện động cảm ứng xuất hiện trong khung.
……………………………………………………………………………………………….
……………………………………………………………………………………………….
……………………………………………………………………………………………….
……………………………………………………………………………………………….
……………………………………………………………………………………………….
Câu 3. Một khung dây hình chữ nhật có các cạnh lần lượt là: a = 10 cm; b = 20 cm gồm 50 vòng dây quay đều trong một từ trường đều có cảm ứng từ B = 0,5 T. Trục quay của khung nằm vuông góc với đường sức từ. Lúc đầu, mặt phẳng khung vuông góc với vectơ cảm ứng từ. Khung quay với tốc độ góc w = 100p (rad/s). Tính suất điện động trung bình trong khung dây trong thời gian nó quay được 15° kể từ vị trí ban đầu.
……………………………………………………………………………………………….
……………………………………………………………………………………………….
……………………………………………………………………………………………….
……………………………………………………………………………………………….
……………………………………………………………………………………………….
Sở Giáo dục và Đào tạo ...
Đề thi Giữa kì 2 - Chân trời sáng tạo
Năm học ...
Môn: Vật Lí 12
Thời gian làm bài: phút
A. TRẮC NGHIỆM KHÁCH QUAN
PHẦN I. Câu trắc nghiệm nhiều phương án lựa chọn. Thí sinh trả lời từ câu 1 đến câu 12. Mỗi câu hỏi thí sinh chỉ lựa chọn một phương án.
Câu 1: Xung quanh vật nào sau đây không có từ trường?
A. Dòng điện không đổi.
B. Hạt mang điện chuyển động.
C. Hạt mang điện đứng yên.
D. Nam châm chữ U.
Câu 2: Cảm ứng từ tại một điểm trong từ trường
A. cùng hướng với hướng của từ trường tại điểm đó.
B. cùng hướng với lực từ tác dụng lên phần tử dòng điện đặt tại điểm đó.
C. có độ lớn tỉ lệ nghịch với độ lớn của lực từ tác dụng lên phần tử dòng điện đặt tại điểm đó.
D. có độ lớn tỉ lệ với cường độ của phần tử dòng điện đặt tại điểm đó.
Câu 3: Một khung dây dẫn phẳng có diện tích S đặt trong từ trường đều có cảm ứng từ B, góc giữa vectơ cảm ứng từ và vectơ pháp tuyến là α. Từ thông qua diện tích S được tính theo công thức
A. .
B. .
C. .
D. .
Câu 4: Một khung dây dẫn quay đều quanh trục A trong một từ trường đều có cảm ứng từ vuông góc với trục quay của khung với tốc độ góc w = 150 vòng/phút. Từ thông cực đại qua khung dây là 10 Wb. Suất điện động cực đại trong khung dây bằng
A. .
B. .
C. .
D. .
Câu 5: Đặt vào hai đầu cuộn sơ cấp của máy biến áp lí tưởng một điện áp xoay chiều có giá trị hiệu dụng không đổi. Nếu tăng số vòng dây của cuộn thứ cấp thêm 20% thì điện áp hiệu dụng giữa hai đầu cuộn thứ cấp để hở tăng thêm 6 V so với ban đầu. Điện áp hiệu dụng ban đầu ở cuộn thứ cấp khi để hở là
A. 30 V.
B. 40 V.
C. 48 V.
D. 60 V.
Câu 6: Chọn phát biểu đúng khi nói về từ trường xoáy?
A. Có các đường sức là đường cong không kín.
B. Có các đường sức là đường thẳng vuông góc với điện trường.
C. Nơi nào có điện trường biến thiên nơi đó xuất hiện từ trường xoáy.
D. Nơi nào có điện trường không thay đổi, nơi đó xuất hiện từ trường xoáy.
Câu 7: Hình nào biểu diễn đúng hướng lực từ tác dụng lên một đoạn dây dẫn thẳng mang dòng điện I đặt trong từ trường đều?
A. Hình 1.
B. Hình 2.
C. Hình 3.
D. Hình 4.
Câu 8: Một đoạn dây dẫn dài 5 cm đặt trong từ trường đều, vuông góc với vectơ cảm ứng từ. Dòng điện có cường độ 0,75 A qua dây dẫn thì lực từ tác dụng lên đoạn dây có độ lớn là 3.10-3 N. Cảm ứng từ của từ trường có giá trị
A. 0,8 T.
B. 0,08 T.
C. 0,16 T.
D. 0,016 T.
Câu 9: Từ thông Φ qua một khung dây biến đổi, trong khoảng thời gian 0,2 s từ thông giảm đều từ 1,2 Wb xuống còn 0,4 Wb. Suất điện động cảm ứng xuất hiện trong khung có độ lớn bằng
A. 6 V.
B. 4 V.
C. 2 V.
D. 1 V.
Câu 10: Điện áp ở hai đầu một đoạn mạch có biểu thức là (t tính bằng s). Giá trị của u ở thời điểm t = 5ms là
A. -220 V.
B. .
C. 220 V.
D. .
Câu 11: Một máy biến áp lí tưởng có cuộn sơ cấp gồm 2400 vòng dây, cuộn thứ cấp gồm 800 vòng dây. Nối hai đầu cuộn sơ cấp với điện áp xoay chiều có giá trị hiệu dụng 210 V. Điện áp hiệu dụng giữa hai đầu cuộn thứ cấp khi biến áp hoạt động không tải là
A. 0 V.
B. 105 V.
C. 630 V.
D. 70 V.
Câu 12: Sóng điện từ và sóng cơ học không có cùng tính chất nào sau đây?
A. Mang theo năng lượng.
B. Chỉ truyền được trong các môi trường vật chất có tính đàn hồi.
C. Có tính phản xạ, khúc xạ, giao thoa.
D. Tốc độ truyền sóng phụ thuộc môi trường.
PHẦN II. Câu trắc nghiệm đúng sai. Thí sinh trả lời từ câu 1 đến câu 2. Trong mỗi ý a), b), c), d) ở mỗi câu, thí sinh chọn đúng hoặc sai
Câu 1: Trong các phát biểu dưới đây, phát biểu nào là đúng, phát biểu nào là sai?
a) Đường sức từ là đường được vẽ trong từ trường sao cho tiếp tuyến tại một điểm bất kì trên đường trùng với phương của vecto cảm ứng từ tại điểm đó.
b) Bên ngoài một thanh nam châm, các đường sức từ đi từ cực nam đến cực bắc.
c) Nơi nào từ trường mạnh hơn thì các đường sức từ ở đó dày hơn, nơi nào từ trường yếu hơn thì các đường sức từ ở đó thưa hơn.
Câu 2: Một đoạn dây dẫn nằm ngang được giữ cố định ở vùng từ trường đều trong khoảng không gian giữa hai cực của nam châm. Nam châm này được đặt trên một cái cân (Hình 3.1). Phần nằm trong từ trường của đoạn dây dẫn có chiều dài là 1,0 cm. Khi không có dòng điện chạy trong đoạn dây, số chỉ của cân là 500,68 g. Khi có dòng điện cuờng độ 0,34 A chạy trong đoạn dây, số chỉ của cân là 500,12 g. Lấy Trong các phát biểu sau đây, phát biểu nào là đúng, phát biểu nào là sai?
a) Số chỉ của cân giảm đi chứng tỏ có một lực tác dụng vào cân theo chiều thẳng đứng lên trên.
b) Lực tác dụng làm cho số chỉ của cân giảm là lực từ tác dụng lên đoạn dây và có chiều hướng lên.
c) Dòng điện trong dây có chiều từ trái sang phải.
d) Độ lớn cảm ứng từ giữa các cực của nam châm là 0,16 T.
PHẦN III. Câu trắc nghiệm trả lời ngắn. Thí sinh trả lời từ câu 1 đến câu 4
Câu 1: Một đoạn dây được uốn gập thành khung dây có dạng tam giác AMN vuông góc tại A. Đặt khung dây vào một từ trường đều có các vectơ cảm ứng từ nằm trong mặt phẳng ngang, có chiều từ trái qua phải như hình vẽ. Coi khung dây nằm cố định trong mặt phẳng hình vẽ và AM = 8 cm, AN = 6 cm, B = 3.10-3T, I = 5 A. Lực từ tác dụng lên cạnh MN có đặc điểm như thế nào?
Câu 2: Một dây dẫn thẳng, cứng, dài ℓ = 0,10 m, có khối lượng m = 0,025 kg được giữ nằm yên theo phương ngang trong một từ trường có độ lớn cảm ứng từ là B = 0,5 T và có hướng nằm ngang, vuông góc với dây dẫn. Lấy g = 9,80 m/s2. Cường độ dòng điện chạy trong dây là bao nhiêu ampe để khi dây được thả ra thì nó vẫn nằm yên (kết quả được lấy đến một chữ số thập phân)?
Câu 3: Cường độ dòng điện xoay chiều qua một đoạn mạch có biểu thức i = 3coswt (A), trong đó t được đo bằng s. Biết rằng trong thời gian 0,1 s thì dòng điện tăng từ giá trị 0 A đến 3 A. Hãy tính tần số góc của dòng điện xoay chiều qua đoạn mạch.
Câu 4: Một máy biến áp có điện trở các cuộn dây không đáng kể. Điện áp hiệu dụng giữa hai đầu cuộn thứ cấp và điện áp hiệu dụng giữa hai đầu cuộn sơ cấp lần lượt là 55 V và 220 V. Bỏ qua các hao phí trong máy, tỉ số giữa số vòng dây cuộn sơ cấp và số vòng dây cuộn thứ cấp bằng bao nhiêu?
B. TỰ LUẬN
Câu 1. Treo một đoạn dây dẫn có chiều dài L = 5 cm, khối lượng m = 5 g bằng hai dây mảnh, nhẹ sao cho dây dẫn nằm ngang. Biết cảm ứng từ của từ trường hướng thẳng đứng xuống dưới, có độ lớn B = 0,5 T và dòng điện chạy qua dây dẫn là I = 2 A. Lấy g = 10 m/s2. Tính góc lệch của dây treo so với phương thẳng đứng.
……………………………………………………………………………………………….
……………………………………………………………………………………………….
……………………………………………………………………………………………….
……………………………………………………………………………………………….
……………………………………………………………………………………………….
Câu 2. Một cuộn dây dẫn kín, dẹt hình tròn, gồm N = 100 vòng, mỗi vòng có bán kính r = 10 cm, mỗi mét dài của dây dẫn có điện trở R0 = 0,5 W. Cuộn dây đặt trong một từ trường đều có vectơ cảm ứng từ vuông góc với mặt phẳng các vòng dây và có độ lớn B = 10-2 T giảm đều đến 0 trong thời gian Dt = 10-2 s. Tính cường độ dòng điện cảm ứng xuất hiện trong cuộn dây.
……………………………………………………………………………………………….
……………………………………………………………………………………………….
……………………………………………………………………………………………….
……………………………………………………………………………………………….
……………………………………………………………………………………………….
Câu 3. Trên hai ray kim loại cố định, cách nhau d = 5,0 cm có một thanh kim loại có độ dài l = 7,0 cm, khối lượng m = 100 g có thể trượt không ma sát trên mặt phẳng ngang như hình vẽ. Tính gia tốc của thanh kim loại nếu cho dòng điện I = 10 A chạy qua và đặt chúng trong từ trường đều có độ lớn B = 1,5 T.
……………………………………………………………………………………………….
……………………………………………………………………………………………….
……………………………………………………………………………………………….
……………………………………………………………………………………………….
……………………………………………………………………………………………….
Sở Giáo dục và Đào tạo ...
Đề thi Giữa kì 2 - Cánh diều
Năm học ...
Môn: Vật Lí 12
Thời gian làm bài: phút
A. TRẮC NGHIỆM KHÁCH QUAN
PHẦN I. Câu trắc nghiệm nhiều phương án lựa chọn. Thí sinh trả lời từ câu 1 đến câu 12. Mỗi câu hỏi thí sinh chỉ lựa chọn một phương án.
Câu 1: Sóng điện từ và sóng cơ học không có chung tính chất nào dưới đây?
A. Phản xạ.
B. Truyền được trong chân không.
C. Khúc xạ.
D. Mang năng lượng.
Câu 2: Gọi N1 và N2 là số vòng của cuộn sơ cấp và thứ cấp của một máy biến áp lí tưởng. Nếu mắc hai đầu của cuộn sơ cấp điện áp hiệu dụng là U thì điện áp hiệu dụng giữa hai đầu cuộn thứ cấp sẽ là
A. .
B. .
C. .
D. .
Câu 3: Một khung dây dẫn có diện tích 50 cm2 gồm 250 vòng dây quay đều với vận tốc 3000 vòng/phút trong một từ trường đều có vectơ cảm ứng từ vuông góc với trục quay của khung dây và có độ lớn 0,02 T. Từ thông cực đại gửi qua khung là
A. 0,025 Wb.
B. 0,15 Wb.
C. 1,5 Wb.
D. 15 Wb.
Câu 4: Để có thể xác định chiều của lực từ tác dụng lên một đoạn dây dẫn thẳng mang dòng điện, người ta có thể dùng
A. quy tắc bàn tay trái.
B. quy tắc cái đinh ốc.
C. quy tắc nắm tay phải.
D. quy tắc mặt Nam, mặt Bắc.
Câu 5: Nhận xét nào sau đây là sai khi nói về từ trường?
A. Tại mỗi điểm trong từ trường chỉ vẽ được một và chỉ một đường sức từ đi qua.
B. Các đường sức từ là những đường cong không khép kín.
C. Các đường sức từ không cắt nhau.
D. Tính chất cơ bản của từ trường là tác dụng lực từ lên nam châm hay dòng điện đặt trong nó.
Câu 6: Đoạn dây dẫn dài 20 cm mang dòng điện 2 A đặt trong từ trường đều có cảm ứng từ 0,05 T. Đoạn dây đặt hợp với các đường sức từ góc 30°. Lực từ tác dụng lên đoạn dây là
A. 0,01 N.
B. 0,02 N.
C. 0,04 N.
D. 0,05 N.
Câu 7: Một khung dây phẳng giới hạn diện tích S = 5cm2 gồm 20 vòng dây đặt trong từ trường đều có cảm ứng từ B = 0,1 T sao cho mặt phẳng khung dây hợp với vectơ cảm ứng từ một góc 60°. Tính từ thông qua diện tích giới hạn bởi khung dây.
A. .
B. .
C. .
D. .
Câu 8: Một khung dây dẫn phẳng dẹt hình chữ nhật có 500 vòng dây, diện tích mỗi vòng là 220 cm2. Khung quay đều quanh một trục đối xứng nằm trong mặt phẳng của khung dây với tốc độ 50 vòng/giây, trong một từ trường đều có vectơ cảm ứng từ vuông góc với trục quay và có độ lớn . Suất điện động cực đại trong khung dây là
A. 100 V.
B. .
C. 200 V.
D. .
Câu 9: Tốc độ lan truyền của sóng điện từ
A. không phụ thuộc vào môi trường truyền sóng nhưng phụ thuộc vào tần số của sóng.
B. không phụ thuộc vào môi trường truyền sóng và tần số của sóng.
C. phụ thuộc vào cả môi trường truyền sóng và tần số của sóng.
D. phụ thuộc vào môi trường truyền sóng và không phụ thuộc tần số của sóng.
Câu 10: Đặt vào hai đầu cuộn sơ cấp của một máy biến áp lí tưởng một điện áp xoay chiều có giá trị hiệu dụng không đổi. Nếu quấn thêm vào hai đầu cuộn thứ cấp 90 vòng thì điện áp hiệu dụng giữa hai đầu cuộn thứ cấp thay đổi 30% so với lúc đầu. Số vòng dây lúc đầu của cuộn thứ cấp bằng
A. 1200 vòng.
B. 600 vòng.
C. 300 vòng.
D. 900 vòng.
Câu 11: Một khung dây có diện tích 5 cm2, gồm 50 vòng dây. Đặt khung dây trong từ trường đều có cảm ứng từ và quay khung theo mọi hướng. Từ thông qua khung có giá trị cực đại là 5.10-3 Wb. Cảm ứng từ B có giá trị nào?
A. 0,2 T.
B. 0,02 T.
C. 2 T.
D. 2.10-3 T.
Câu 12: Dòng điện xoay chiều là dòng điện có
A. cường độ là hàm bậc nhất của hiệu điện thế.
B. cường độ biến đổi điều hòa theo thời gian.
C. chiều biến đổi tuần hoàn theo thời gian.
D. cường độ biến đổi tuần hoàn theo thời gian.
PHẦN II. Câu trắc nghiệm đúng sai. Thí sinh trả lời từ câu 1 đến câu 2. Trong mỗi ý a), b), c), d) ở mỗi câu, thí sinh chọn đúng hoặc sai
Câu 1: Khi nói về lực từ tác dụng lên một đoạn dây dẫn thẳng đặt trong từ trường đều, trong các nhận định dưới đây, nhận định nào là đúng nhận định nào là sai?
a) Lực từ có độ lớn tỉ lệ với điện trở đoạn dây.
b) Lực từ có độ lớn tỉ lệ nghịch với cảm ứng từ tại nơi đặt dây dẫn.
c) Khi đoạn dây đặt song song với các đường sức từ thì lực từ tác dụng lên đoạn dây là lớn nhất.
d) Lực từ có độ lớn tỉ lệ thuận với cường độ dòng điện chạy qua đoạn dây.
Câu 2: Ở một bóng đèn sợi đốt có ghi 220V - 75W. Đèn được nối vào mạng điện xoay chiều. Khi đèn sáng bình thường, trong các phát biểu sau đây, phát biểu nào là đúng, phát biểu nào là sai?
a) Cường độ dòng điện hiệu dụng qua đèn là 0,34A.
b) Số đo cường độ dòng điện của ampe kế mắc nối tiếp với đèn là 0,48A.
c) Trong một giờ, đèn tiêu thụ năng lượng điện là 75 W.h.
d) Điện trở của đèn là 458Ω.
PHẦN III. Câu trắc nghiệm trả lời ngắn. Thí sinh trả lời từ câu 1 đến câu 4
Câu 1: Trong một máy cấp nước nóng dùng điện, bộ phận làm nóng hoạt động như một điện trở có công suất định mức là 2,2kW ở điện áp 220V. Tính cường độ dòng điện hiệu dụng.
Câu 2: Một sóng điện từ có tần số 100 MHz truyền với tốc độ 3.108 m/s có bước sóng là bao nhiêu?
Câu 3: Cuộn sơ cấp của một máy biến áp lí tưởng có N1 vòng dây. Khi đặt một điện áp xoay chiều có giá trị hiệu dụng 120 V vào hai đầu cuộn sơ cấp thì điện áp hiệu dụng ở hai đầu cuộn thứ cấp để hở đo được là 100 V. Nếu tăng thêm 150 vòng dây cho cuộn sơ cấp và giảm 150 vòng dây ở cuộn thứ cấp thì khi đặt vào hai đầu cuộn sơ cấp một điện áp hiệu dụng 160 V thì điện áp hiệu dụng ở hai đầu cuộn thứ cấp để hở vẫn là 100 V. Số vòng dây cuộn sơ cấp là bao nhiêu?
Câu 4: Một khung dây dẫn kín có diện tích 20 cm2, quay đều trong từ trường đều có cảm ứng từ bằng 0,02 T. Tính độ lớn suất điện động cảm ứng sinh ra trong vòng dây khi góc hợp bởi vectơ cảm ứng từ và vectơ đơn vị pháp tuyến của mặt phẳng khung dây thay đổi từ 30° đến 60° trong khoảng thời gian 0,1 giây.
B. TỰ LUẬN
Sử dụng dữ kiện sau để trả lời Câu 1 và Câu 2: Một đoạn dây dẫn bằng đồng dài 20,0 m có diện tích mặt cắt ngang là 2,50.10-6 m2. Đoạn dây dẫn được đặt nằm ngang sao cho dòng điện trong đoạn dây dẫn chạy từ đông sang tây với cường độ 20,0A. Ở vị trí đang xét, từ trường Trái Đất có cảm ứng từ nằm ngang, hướng từ nam lên bắc và có độ lớn 0,500.10-4T. Biết khối lượng riêng của đồng là .
Câu 1. Tìm độ lớn và hướng của lực từ tác dụng lên đoạn dây.
……………………………………………………………………………………………….
……………………………………………………………………………………………….
……………………………………………………………………………………………….
……………………………………………………………………………………………….
Câu 2. Tính lực hấp dẫn tác dụng lên đoạn dây.
……………………………………………………………………………………………….
……………………………………………………………………………………………….
……………………………………………………………………………………………….
……………………………………………………………………………………………….
Câu 3: Một sóng điện từ lan truyền trong chân không có bước sóng 3000 m. Lấy c = 3.108 m/s. Biết trong sóng điện từ, thành phần điện trường tại một điểm biến thiên với tần số f. Giá trị của f là bao nhiêu?
……………………………………………………………………………………………….
……………………………………………………………………………………………….
……………………………………………………………………………………………….
……………………………………………………………………………………………….
Xem thử Đề thi GK2 Lí 12 KNTT Xem thử Đề thi GK2 Lí 12 CTST Xem thử Đề thi GK2 Lí 12 CD
Lưu trữ: Đề thi Giữa kì 2 Vật Lí 12 (sách cũ)
Xem thêm Đề thi Vật Lí 12 có đáp án hay khác:
Top 10 Đề thi Vật Lí 12 Giữa kì 1 năm 2026 (cấu trúc mới, có đáp án)
Top 10 Đề thi Vật Lí 12 Học kì 1 năm 2026 (cấu trúc mới, có đáp án)
Top 10 Đề thi Vật Lí 12 Học kì 2 năm 2026 (cấu trúc mới, có đáp án)
Xem thêm đề thi lớp 12 các môn học có đáp án hay khác:
Đề ôn thi Tốt nghiệp (các môn học), ĐGNL, ĐGTD các trường có đáp án hay khác:
Tài liệu giáo án lớp 12 các môn học chuẩn khác:
Để học tốt lớp 12 các môn học sách mới:
- Giải bài tập Lớp 12 Kết nối tri thức
- Giải bài tập Lớp 12 Chân trời sáng tạo
- Giải bài tập Lớp 12 Cánh diều
Đã có app VietJack trên điện thoại, giải bài tập SGK, SBT Soạn văn, Văn mẫu, Thi online, Bài giảng....miễn phí. Tải ngay ứng dụng trên Android và iOS.
Theo dõi chúng tôi miễn phí trên mạng xã hội facebook và youtube:Nếu thấy hay, hãy động viên và chia sẻ nhé! Các bình luận không phù hợp với nội quy bình luận trang web sẽ bị cấm bình luận vĩnh viễn.
- Giáo án lớp 12 (các môn học)
- Giáo án điện tử lớp 12 (các môn học)
- Giáo án Toán 12
- Giáo án Ngữ văn 12
- Giáo án Vật Lí 12
- Giáo án Hóa học 12
- Giáo án Sinh học 12
- Giáo án Địa Lí 12
- Giáo án Lịch Sử 12
- Giáo án Lịch Sử 12 mới
- Giáo án GDCD 12
- Giáo án Kinh tế Pháp luật 12
- Giáo án Tin học 12
- Giáo án Công nghệ 12
- Giáo án GDQP 12
- Đề thi lớp 12 (các môn học)
- Đề thi Ngữ văn 12
- Đề thi Toán 12
- Đề thi Tiếng Anh 12 mới
- Đề thi Tiếng Anh 12
- Đề thi Vật Lí 12
- Đề thi Hóa học 12
- Đề thi Sinh học 12
- Đề thi Địa Lí 12
- Đề thi Lịch Sử 12
- Đề thi Giáo dục Kinh tế Pháp luật 12
- Đề thi Giáo dục quốc phòng 12
- Đề thi Tin học 12
- Đề thi Công nghệ 12


Giải bài tập SGK & SBT
Tài liệu giáo viên
Sách
Khóa học
Thi online
Hỏi đáp

